简单画一维函数曲线

clear all;
close all;
t= 0:0.01:10*pi;
A=1;
a=-0.4;
ft=cos(a*t);
st=sin(a*t);
axis([-40,5,-2,2]);
plot(t,ft);
title('f(t)=cos(a*t)');
subplot(2,1,1);
plot(t,ft);
xlabel('w');
ylabel('F1(jw)');
title(' ft=cos(a*t)');
subplot(2,1,2);
plot(t,st);
xlabel('w');
ylabel('F1(jw)');
title(' st=sin(a*t)');
画幅频曲线


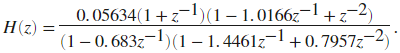
b0 = 0.05634;
b1 = [1 1];
b2 = [1 -1.0166 1];
a1 = [1 -0.683];
a2 = [1 -1.4461 0.7957];
b = b0*conv(b1,b2);
a = conv(a1,a2);
[h,w] = freqz(b,a,'whole',2001);
plot(w/pi,20*log10(abs(h)))
ax = gca;
ax.YLim = [-100 20];
ax.XTick = 0:.5:2;
xlabel('Normalized Frequency (\times\pi rad/sample)')
ylabel('Magnitude (dB)')
画信号和频谱
离散信号
Fs = 1000; % Sampling frequency
T = 1/Fs; % Sampling period
L = 10; % Length of signal
t = (0:L-1)*T; % Time vector
S = sin(2*pi*120*t);
plot(t,S)
title('Signal')
xlabel('t (milliseconds)')
ylabel('X(t)')
DFS

%{使用单个输入参数 x 的 fft 计算输入向量或矩阵的 DFT。如果 x 是向量,fft 计算向量的 DFT;如果 x 是矩形数组,fft 计算每个数组列的 DFT。
%例如,创建时间向量和信号:
%}
t = 0:1/100:1-1/100; % Time vector
x = sin(2*pi*5*t) + sin(2*pi*40*t); % Signal
%计算信号的 DFT 以及变换后的序列的幅值和相位。通过将小幅值变换值设置为零来减少计算相位时的舍入误差。
y = fft(x); % Compute DFT of x
m = abs(y); % Magnitude
y(m<1e-6) = 0;
p = unwrap(angle(y)); % Phase
%要以度为单位绘制幅值和相位,请键入以下命令:
f = (0:length(y)-1)*100/length(y); % Frequency vector%归为0~100的量
subplot(3,1,1)
plot(t,x)
xlabel('n');
ylabel('x(n)');
title('Signal')
subplot(3,1,2)
plot(f,m)
xlabel('w');
ylabel('|F1(jw)|');
title('Magnitude')
ax = gca;
%ax.XTick = [15 40 60 85];
subplot(3,1,3)
plot(f,p*180/pi)
xlabel('w');
ylabel('arg(F1(jw))');
title('Phase')
%ax = gca;
%ax.XTick = [15 40 60 85];
FFT
F=input('输入信号频率f/Hz:'); %输入信号频率f%
N=input('输入采样点数N:'); %输入采样点数N%
T=input('输入采样周期T/s:'); %输入采样间隔T%
%采样
for j=0:1:N-1
x(j+1)=sin(2*pi*f*j*T);
end
%补0
insert=input('是否补0?[0-否;1-是]:');
if insert==1
ZERO=input('补零数:');
for j=N:1:N+ZERO-1
x(j+1)=0;
end
N=N+ZERO;
end
%码位倒置%
M=log2(N);
for t=1:1:N
s=dec2bin(t-1,M);
s=fliplr(s);
s=bin2dec(s);
A(s+1)=x(t);
end
%按时间抽取的FFT蝶形运算%
for L=1:1:M
for J=0:1:(2^(L-1)-1)
for k=(J+1):2^L:N
T=A(k)+A(k+2^(L-1))*exp((-i*2*pi*J*2^(M-L))/N);
A(k+2^(L-1))=A(k)-A(k+2^(L-1))*exp((-i*2*pi*J*2^(M-L))/N);
A(k)=T;
end
end
end
%模值归一化%
x=abs(A);
y=max(x);
X=x/y;
%绘图
for j=1:1:N
stem(j-1,X(j));
hold on
end
axis([0 N 0 1]);
版权声明:本文为FourierFisher原创文章,遵循CC 4.0 BY-SA版权协议,转载请附上原文出处链接和本声明。