5 常微分方程
题型二:线性微分方程解的性质与结构
2013年全国硕士研究生招生考试数学(二)试题
二、填空题(本题共6小题,每小题4分,共24分,把答题填在题中横线上.)

题型三:二阶非常系数微分方程(可降阶)
2016年全国硕士研究生招生考试数学(二)试题
三、解答题(本题共9小题,共94分,解答应写出文字说明、证明过程或演算步骤.)

2010年全国硕士研究生招生考试数学(二)试题
三、解答题(本题共9小题,共94分,解答应写出文字说明、证明过程或演算步骤.)

典型题目
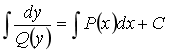
一阶线性非齐次方程

用常数变易法可求出通解公式;
令
代入方程求出C(x);
则得
变量可分离的方程

通解:
齐次方程



线性微分方程解的性质与结构
1.若
为齐次线性方程的两特解,
仍为同方程的解,
当
,通解:
2.若
为非齐次线性方程的两特解,
仍为方程的一特解,
为对应齐次线性方程的一特解
通解:齐次方程通解+非齐次方程特解。
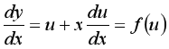
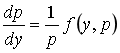
可降阶的高阶微分方程
1、

2、
令
解 
3、
令
解 
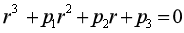
3 阶常系数齐次线性方程

特征方程
(1)3 个不同的实根
通解
(2)
为
重实根
通解中有
(3)
为共轭复根
通解中有
二阶常系数齐次线性方程
特征方程
1、当
,两不同实根
方程通解为
2、当
,二个重根
方程通解为
3、当
,共轭复根
方程的通解为
二阶常系数非齐次线性方程
通解:
齐次方程通解:
非齐次方程特解:


郭宗林号旅行专线

微信公众号:lcldgzl
版权声明:本文为weixin_39637921原创文章,遵循CC 4.0 BY-SA版权协议,转载请附上原文出处链接和本声明。