Jordan标准型的变换与应用
1.J o r d a n JordanJordan标准型变换矩阵的求法
part1因为作业本没在,而word上的太过复杂,先放一放
2.Jordan标准形的幂及多项式




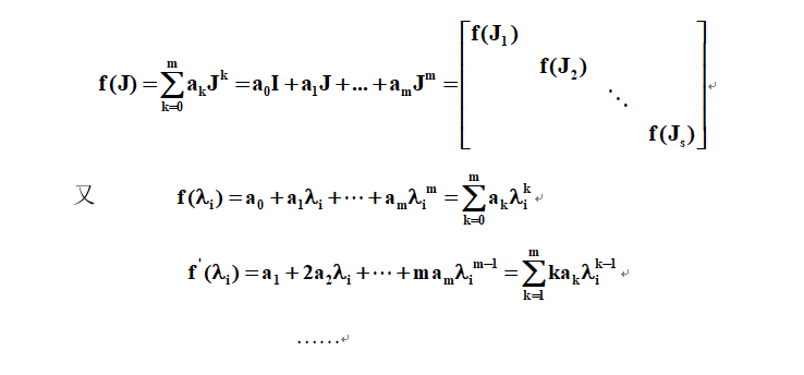
若A = P − 1 J P , A=P^{-1}JP,A=P−1JP,则f ( A ) = P − 1 f ( J ) P f(A)=P^{-1}f(J)Pf(A)=P−1f(J)P计算十分方便,无需采用矩阵乘积。
版权声明:本文为xd15010130025原创文章,遵循CC 4.0 BY-SA版权协议,转载请附上原文出处链接和本声明。