faster rcnn 原理
faster rcnn 总体流程


- Conv layers。作为一种CNN网络目标检测方法,Faster
RCNN首先使用一组基础的conv+relu+pooling层提取image的feature maps。该feature
maps被共享用于后续RPN层和全连接层。 - Region Proposal Networks。RPN网络用于生成region
proposals。该层通过softmax判断anchors属于positive或者negative,再利用bounding box
regression修正anchors获得精确的proposals。 - Roi Pooling。该层收集输入的feature maps和proposals,综合这些信息后提取proposal feature
maps,送入后续全连接层判定目标类别。 - Classification。利用proposal feature maps计算proposal的类别,同时再次bounding box
regression获得检测框最终的精确位置。
Conv Layer
1.Conv layer
在input-data层时,作者把原图都reshape成M×N大小的图片 可以假定 :这个M 设定为800 N 一般设定600
conv layer中包含了conv relu pooling三种层,就VGG16而言,就有13个conv层,13个relu层,4个pooling层。在conv layer中:
1.所有的conv层都是kernel_size=3,pad=1
2.所有的pooling层都是kernel_size=2,stride=2

Conv layer中的pooling层kernel_size=2,stride=2,这样使得经过pooling层中M×N矩阵,都会变为(M/2)*(N/2)大小。综上所述,在整个Conv layers中,conv和relu层不改变输入输出大小,只有pooling层使输出长宽都变为输入的1/2。
那么,一个MxN大小的矩阵经过Conv layers固定变为(M/16)x(N/16)!这样Conv layers生成的featuure map中都可以和原图对应起来
Region Propocal Networks(RPN)
经典的检测方法生成检测框都非常耗时,如OpenCV adaboost使用滑动窗口+图像金字塔生成检测框;或如RCNN使用SS(Selective Search)方法生成检测框。而Faster RCNN则抛弃了传统的滑动窗口和SS方法,直接使用RPN生成检测框,这也是Faster RCNN的巨大优势,能极大提升检测框的生成速度。

上图中展示了RPN网络的具体结构,可以看到,feature map 经过一个3×3卷积核卷积后分成了两条线,
上面一条通过softmax对anchors分类获得foreground和background(检测目标是foregrounnd),因为是2分类,所以它的维度是2k scores。
① rpn_cls:5038512-d ⊕ 1151218 ==> 503892
逐像素对其9个Anchor box进行二分类
下面那条线是用于计算anchors的bounding box regression的偏移量,以获得精确的proposal。它的维度是4k coordinates。而最后的proposcal层则负责综合foreground anchors和bounding box regression偏移量获取proposal,同时剔除太小和超出边界的propocals,其实网络到这个Proposal Layer这里,就完成了目标定位的功能
② rpn_bbox:5038512-d ⊕ 1151236==>503894
逐像素得到其9个Anchor box四个坐标信息(其实是偏移量,后面介绍
bounding box regression
anchors
提到PRN网络,就不能不说anchors。所谓的anchors,实际上就是一组由rpn/generate_anchors.py生成的矩形。直接运行作者demo中的generate_anchors.py可以得到以下输出:
fig=plt.figure()
ax = fig.add_subplot(111)
myArr = [[ -84, -40, 99, 55],
[-176, -88, 191, 103],
[-360, -184, 375, 199],
[ -56, -56, 71, 71],
[-120, -120, 135, 135],
[-248, -248, 263, 263],
[ -36, -80, 51, 95],
[ -80, -168, 95,183],
[-168, -344, 183, 359,]]
plt.xlim(-400, 400)
plt.ylim(-300, 300)
for x in myArr:
print((x[2]-x[0]),(x[3]-x[1]))
ax.add_patch( plt.Rectangle((float(x[0]),float(x[1])),x[2]-x[0],x[3]-x[1],edgecolor='r', linewidth=1,facecolor='none'))
plt.show()

183 95 > 2:1
367 191> 2:1
735 383==> 2:1
127 127==>1:1
255 255==>1:1
511 511==>1:1
87 175==>1:2
175 351 ==>1:2
351 703 ==>1:2
其中每行的4个值 (x1,y1 , x2,y2) 表矩形左上和右下角点坐标。9个矩形共有3种形状,长宽比为大约为 { 1:1 , 1:2 2:1} 三种,如图。实际上通过anchors就引入了检测中常用到的多尺度方法。
注:关于上面的anchors size,其实是根据检测图像设置的。在python demo中,会把任意大小的输入图像reshape成800x600(即图2中的M=800,N=600)。再回头来看anchors的大小,anchors中长宽1:2中最大为352x704,长宽2:1中最大736x384,基本是cover了800x600的各个尺度和形状。

因为 经过 4个池化后的特征图片 是原图的 1/16 所以 特征图 1 个像素对应原图中的 16个像素 。
那么在每一个 特征图中的像素点 都在原图上中 生成 9个anchor 所以 总共 50389 =17100 个
后面拿到这些个anchor 和 标注框 进行比对 做二分类 是否在标注框内。
softmax判定positive与negative

一副MxN大小的矩阵送入Faster RCNN网络后,到RPN网络变为(M/16)x(N/16),不妨设 W=M/16,H=N/16。在进入reshape与softmax之前,先做了1x1卷积
可以看到其num_output=18,也就是经过该卷积的输出图像为WxHx18大小(注意第二章开头提到的卷积计算方式)。这也就刚好对应了feature maps每一个点都有9个anchors,同时每个anchors又有可能是positive和negative,所有这些信息都保存WxHx(9*2)大小的矩阵。为何这样做?后面接softmax分类获得positive anchors,也就相当于初步提取了检测目标候选区域box(一般认为目标在positive anchors中)
那么为何要在softmax前后都接一个reshape layer?其实只是为了便于softmax分类,至于具体原因这就要从caffe的实现形式说起了。在caffe基本数据结构blob中以如下形式保存数据:
blob=[batch_size, channel,height,width]
对应至上面的保存positive/negative anchors的矩阵,其在caffe blob中的存储形式为[1, 2x9, H, W]。而在softmax分类时需要进行positive/negative二分类,所以reshape layer会将其变为[1, 2, 9xH, W]大小,即单独“腾空”出来一个维度以便softmax分类,之后再reshape回复原状
bounding box regression原理
所示绿色框为飞机的Ground Truth(GT),红色为提取的positive anchors,即便红色的框被分类器识别为飞机,但是由于红色的框定位不准,这张图相当于没有正确的检测出飞机。所以我们希望采用一种方法对红色的框进行微调,使得positive anchors和GT更加接近。
图10
对于窗口一般使用四维向量 (x,y,w,h)表示,分别表示窗口的中心点坐标和宽高。对于图 11,红色的框A代表原始的positive Anchors,绿色的框G代表目标的GT,我们的目标是寻找一种关系,使得输入原始的anchor A经过映射得到一个跟真实窗口G更接近的回归窗口G’,即:


图11
那么经过何种变换F才能从图10中的anchor A变为G’呢? 比较简单的思路就是:

观察上面4个公式发现,需要学习的是 dx(A), dy(A) ,dw(A),dh(A)这四个变换。当输入的anchor A与GT相差较小时,可以认为这种变换是一种线性变换, 那么就可以用线性回归来建模对窗口进行微调(注意,只有当anchors A和GT比较接近时,才能使用线性回归模型,否则就是复杂的非线性问题了)。
接下来的问题就是如何通过线性回归获得 dx(A), dy(A) ,dw(A),dh(A) 了。线性回归就是给定输入的特征向量X, 学习一组参数W, 使得经过线性回归后的值跟真实值Y非常接近,即 Y= W *X。对于该问题,输入X是cnn feature map,定义为Φ;同时还有训练传入A与GT之间的变换量,即(tx , ty ,tw ,th )。输出是dx(A), dy(A) ,dw(A),dh(A) 四个变换。那么目标函数可以表示为:

其中 Q(A) 是对应anchor的feature map组成的特征向量, W* 是需要学习的参数, d*(A)是得到的预测值(表示 x,y,w,h,也就是每一个变换对应一个上述目标函数)。为了让预测值 [公式] 与真实值 d(A)差距最小,设计L1损失函数:

为了方便描述,这里以L1损失为例介绍,而真实情况中一般使用soomth-L1损失。
需要说明,只有在GT与需要回归框位置比较接近时,才可近似认为上述线性变换成立。
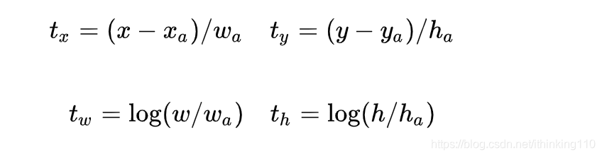
说完原理,对应于Faster RCNN原文,positive anchor与ground truth之间的平移量 (tx, ty) 与尺度因子 (tw, th) 如下:

对于训练bouding box regression网络回归分支,输入是cnn feature Φ,监督信号是Anchor与GT的差距 ( tx,ty,tw,th),即训练目标是:输入 Φ的情况下使网络输出与监督信号尽可能接近。那么当bouding box regression工作时,再输入Φ时,回归网络分支的输出就是每个Anchor的平移量和变换尺度 ( tx,ty,tw,th),显然即可用来修正Anchor位置了。
说了 这么多 也就是说 得到一种 anchor 和 标注框 之间 映射 参数 。
proposal
Proposal Layer负责综合所有 [dx(A), dy(A) ,dw(A),dh(A) ] 变换量和positive anchors,计算出精准的proposal,送入后续RoI Pooling Layer
Proposal Layer有3个输入:positive vs negative anchors分类器结果rpn_cls_prob_reshape,对应的bbox reg的 dx(A), dy(A) ,dw(A),dh(A) 变换量rpn_bbox_pred,以及im_info;另外还有参数feat_stride=16,这和图4是对应的。
首先解释im_info。对于一副任意大小PxQ图像,传入Faster RCNN前首先reshape到固定MxN,im_info=[M, N, scale_factor]则保存了此次缩放的所有信息。然后经过Conv Layers,经过4次pooling变为WxH=(M/16)x(N/16)大小,其中feature_stride=16则保存了该信息,用于计算anchor偏移量。
- 生成anchors,利用[公式]对所有的anchors做bbox regression回归(这里的anchors生成和训练时完全一致)
- 按照输入的positive softmax scores由大到小排序anchors,提取前pre_nms_topN(e.g.
6000)个anchors,即提取修正位置后的positive anchors - 限定超出图像边界的positive anchors为图像边界,防止后续roi
pooling时proposal超出图像边界(见文章底部QA部分图21) - 剔除尺寸非常小的positive anchors
- 对剩余的positive anchors进行NMS(nonmaximum suppression)
- Proposal Layer有3个输入:positive和negative
anchors分类器结果rpn_cls_prob_reshape,对应的bbox reg的(e.g.
300)结果作为proposal输出
之后输出proposal=[x1, y1, x2, y2],注意,由于在第三步中将anchors映射回原图判断是否超出边界,所以这里输出的proposal是对应MxN输入图像尺度的,这点在后续网络中有用。另外我认为,严格意义上的检测应该到此就结束了,后续部分应该属于识别了。
RPN网络结构就介绍到这里,总结起来就是:
生成anchors -> softmax分类器提取positvie anchors -> bbox reg回归positive anchors -> Proposal Layer生成proposals
IoU去重 anchor
因为生成了 很多个anchor 每个anchor 之间是有很多重复的包含关系 所以得去掉重复的 。
① 去除掉超过800*600这原图的边界的anchor box
② 如果anchor box与ground truth的IoU值最大,标记为正样本,label=1
③ 如果anchor box与ground truth的IoU>0.7,标记为正样本,label=1
④ 如果anchor box与ground truth的IoU<0.3,标记为负样本,label=0
剩下的既不是正样本也不是负样本,不用于最终训练,label=-1
NMS

如上图所示,一共有6个识别为人的框,每一个框有一个置信率。
现在需要消除多余的:
· 按置信率排序: 0.95, 0.9, 0.9, 0.8, 0.7, 0.7
· 取最大0.95的框为一个物体框
· 剩余5个框中,去掉与0.95框重叠率IoU大于0.6(可以另行设置),则保留0.9, 0.8, 0.7三个框
· 重复上面的步骤,直到没有框了,0.9为一个框
· 选出来的为: 0.95, 0.9
RoI pooling
而RoI Pooling层则负责收集proposal,并计算出proposal feature maps,送入后续网络。从图2中可以看到Rol pooling层有2个输入:
- 原始的feature maps
- RPN输出的proposal boxes(大小各不相同)
直接通过一个例子来形象理解。假设现在我们有一个8x8大小的feature map,我们要在这个feature map上得到ROI,并且进行ROI pooling到2x2大小的输出。

假设ROI的bounding box为 [x1,y1,x2,y2]=[0,3,7,8]。如图:

将它划分为2x2的网格,因为ROI的长宽除以2是不能整除的,所以会出现每个格子大小不一样的情况。

进行max pooling的最终2x2的输出为:

ROI Align
在Faster RCNN中,有两次整数化的过程:
- region proposal的xywh通常是小数,但是为了方便操作会把它整数化。
- 将整数化后的边界区域平均分割成 k x k 个单元,对每一个单元的边界进行整数化。
两次整数化的过程如下图所示:
事实上,经过上述两次整数化,此时的候选框已经和最开始回归出来的位置有一定的偏差,这个偏差会影响检测或者分割的准确度。在论文里,作者把它总结为“不匹配问题”(misalignment)。
为了解决这个问题,ROI Align方法取消整数化操作,保留了小数,使用以上介绍的双线性插值的方法获得坐标为浮点数的像素点上的图像数值。但在实际操作中,ROI Align并不是简单地补充出候选区域边界上的坐标点,然后进行池化,而是重新进行设计。
下面通过一个例子来讲解ROI Align操作。如下图所示,虚线部分表示feature map,实线表示ROI,这里将ROI切分成2x2的单元格。如果采样点数是4,那我们首先将每个单元格子均分成四个小方格(如红色线所示),每个小方格中心就是采样点。这些采样点的坐标通常是浮点数,所以需要对采样点像素进行双线性插值(如四个箭头所示),就可以得到该像素点的值了。然后对每个单元格内的四个采样点进行maxpooling,就可以得到最终的ROIAlign的结果

需要说明的是,在相关实验中,作者发现将采样点设为4会获得最佳性能,甚至直接设为1在性能上也相差无几。事实上,ROI Align 在遍历取样点的数量上没有ROIPooling那么多,但却可以获得更好的性能,这主要归功于解决了misalignment的问题。
全连接层:
经过roi pooling层之后,batch_size=300, proposal feature map的大小是7*7,512-d,对特征图进行全连接,参照下图,最后同样利用Softmax Loss和L1 Loss完成分类和定位

通过full connect层与softmax计算每个region proposal具体属于哪个类别(如人,马,车等),输出cls_prob概率向量;同时再次利用bounding box regression获得每个region proposal的位置偏移量bbox_pred,用于回归获得更加精确的目标检测框
即从PoI Pooling获取到7x7大小的proposal feature maps后,通过全连接主要做了:
1. 通过全连接和softmax对region proposals进行具体类别的分类
2. 再次对region proposals进行bounding box regression,获取更高精度的rectangle box
参考文献
https://www.cnblogs.com/wangyong/p/8513563.html
https://zhuanlan.zhihu.com/p/37998710
https://zhuanlan.zhihu.com/p/31426458
本文大部分都是对以上博客 进行归纳 和总结 外加自己的理解 。