leetcode160.相交链表

1.题目描述

编写一个程序,找到两个单链表相交的起始节点。

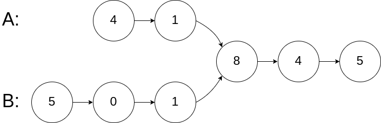
如下面的两个链表:

在节点 c1 开始相交。

示例 1:

输入:intersectVal = 8, listA = [4,1,8,4,5], listB = [5,0,1,8,4,5], skipA = 2, skipB = 3
输出:Reference of the node with value = 8
输入解释:相交节点的值为 8 (注意,如果两个列表相交则不能为 0)。从各自的表头开始算起,链表 A 为 [4,1,8,4,5],链表 B 为 [5,0,1,8,4,5]。在 A 中,相交节点前有 2 个节点;在 B 中,相交节点前有 3 个节点。
 

示例 2:

输入:intersectVal = 2, listA = [0,9,1,2,4], listB = [3,2,4], skipA = 3, skipB = 1
输出:Reference of the node with value = 2
输入解释:相交节点的值为 2 (注意,如果两个列表相交则不能为 0)。从各自的表头开始算起,链表 A 为 [0,9,1,2,4],链表 B 为 [3,2,4]。在 A 中,相交节点前有 3 个节点;在 B 中,相交节点前有 1 个节点。
示例 3:

输入:intersectVal = 0, listA = [2,6,4], listB = [1,5], skipA = 3, skipB = 2
输出:null
输入解释:从各自的表头开始算起,链表 A 为 [2,6,4],链表 B 为 [1,5]。由于这两个链表不相交,所以 intersectVal 必须为 0,而 skipA 和 skipB 可以是任意值。
解释:这两个链表不相交,因此返回 null。
注意:

如果两个链表没有交点,返回 null.
在返回结果后,两个链表仍须保持原有的结构。
可假定整个链表结构中没有循环。
程序尽量满足 O(n) 时间复杂度,且仅用 O(1) 内存。

2.解题思路

我们通常做这种题的思路是设定两个指针分别指向两个链表头部,一起向前走直到其中一个到达末端,另一个与末端距离则是两链表的 长度差。再通过长链表指针先走的方式消除长度差,最终两链表即可同时走到相交点。


创建两个指针 pA 和 pB,分别初始化为链表 A 和 B 的头结点。然后让它们向后逐结点遍历。
当 pA 到达链表的尾部时,将它重定位到链表 B 的头结点 (你没看错,就是链表 B); 类似的,当 pB 到达链表的尾部时,将它重定位到链表 A 的头结点。
若在某一时刻 pA 和 pB 相遇,则 pApB 为相交结点。
如果两个链表存在相交,它们末尾的结点必然相同且都为空。

A和B两个链表长度可能不同,但是A+B和B+A的长度是相同的,所以遍历A+B和遍历B+A一定是同时结束。 如果A,B相交的话A和B有一段尾巴是相同的,所以两个遍历的指针一定会同时到达交点 如果A,B不相交的话两个指针就会同时到达A+B(B+A)的尾节点的下一个节点(none)

作者:LeetCode
链接:https://leetcode-cn.com/problems/intersection-of-two-linked-lists/solution/xiang-jiao-lian-biao-by-leetcode/
来源:力扣(LeetCode)
著作权归作者所有。商业转载请联系作者获得授权,非商业转载请注明出处。

3.代码实现

小白超麻烦写法:

# Definition for singly-linked list.
# class ListNode(object):
#     def __init__(self, x):
#         self.val = x
#         self.next = None

class Solution(object):
    def getIntersectionNode(self, headA, headB):
        """
        :type head1, head1: ListNode
        :rtype: ListNode
        """
        if not headA or not headB:
            return None
        p=headA
        c1=1
        while p.next:
            p=p.next
            c1+=1
        p_last=p
        
        q=headB
        c2=1
        while q.next:
            q=q.next
            c2+=1
        q_last=q
        
        if p_last!=q_last:
            return None
        p=headA
        q=headB
        if c1>c2:
            x=c1-c2
            for i in range(x):
                p=p.next
        else:
            x=c2-c1
            for i in range(x):
                q=q.next
        while p!=q:
            p=p.next
            q=q.next
        return p

解法二:

# Definition for singly-linked list.
# class ListNode(object):
#     def __init__(self, x):
#         self.val = x
#         self.next = None

class Solution(object):
    def getIntersectionNode(self, headA, headB):
        """
        :type head1, head1: ListNode
        :rtype: ListNode
        """
        curA, curB = headA, headB
        while curA != curB:
            curA = curA.next if curA else headB
            curB = curB.next if curB else headA
        return curA

 


版权声明:本文为qq_28468707原创文章,遵循CC 4.0 BY-SA版权协议,转载请附上原文出处链接和本声明。