1 概述
1.1 数据预处理与特征工程
想象一下未来美好的一天,成为一个精通各种算法和调参调库的数据挖掘工程师了。某一天你从你的同事,一位药物研究人员那里,得到了一份病人临床表现的数据。药物研究人员用前四列数据预测一下最后一数据,还说他要出差几天,可能没办法和你一起研究数据了,希望出差回来以后,可以有个初步分析结果。于是你就看了看数据,看着很普通,预测连续型变量,好说,导随机森林回归器调出来,调参调呀调,MSE很小,跑了个还不错的结果。
几天后,你同事出差回来了,准备要一起开会了,会上你碰见了和你同事在同一个项目里工作的统计学家。他问起你的分析结果,你说你已经小有成效了,统计学家很吃惊,他说:“不错呀,这组数据问题太多,我都分析不出什么来。”
你心里可能咯噔一下,忐忑地回答说:“我没听说数据有什么问题呀。”
于是统计学家说:“诶?没人告诉你说,最后一列数据如果取个对数,结果会更好吗?”
你内心毫无波动:“没。”
统计学家:“诶那你肯定听说了第四列数据有点问题吧,这个特征的取值范围是1~10,0是表示缺失值的。而且他们输入数据的时候出错,很多10都被录入成0了,现在分不出来了。”
你:”…“
统计学家:”还有第二列和第三列数据基本是一样的,相关性太强了。“
你:”这个我发现了,不过这两个特征在预测中的重要性都不高,无论其他特征怎样出错,我这边结果里显示第一列的特征是最重要的,所以也无所谓啦。“
统计学家:“啥?第一列不就是编号吗?”
你:“不是吧。”
统计学家:“哦我想起来了!第一列就是编号,不过那个编号是我们根据第五列排序之后编上去的!这个第一列和第五列是由很强的联系,但是毫无意义啊!”
老血喷了一屏幕,数据挖掘工程师卒。
这个悲惨又可爱的故事来自《数据挖掘导论》,虽然这是故事里的状况十分极端,但我还是想把这段对话作为今天这章的开头,博大家一笑(虽然可能听完就泪流满面了)。在过去两周,我们已经讲了两个算法:决策树和随机森林,我们通过决策树带大家认识了sklearn,通过随机森林讲解了机器学习中调参的基本思想,现在可以说,只要上过前面两堂课的,人人都会调随机森林和决策树的分类器了,而我呢,也只需要跟着各大机器学习书籍的步伐,给大家一周一个算法带着讲解就是了。如果这样的话,结果可能就是,大家去工作了,遇到了一个不那么靠谱的同事,给了你一组有坑的数据,最后你就一屏幕老血吐过去,牺牲在数据行业的前线了。
数据不给力,再高级的算法都没有用。
我们的课堂/教材中的数据,都是经过层层筛选,适用于课堂教学的——运行时间短,预测效果好,没有严重缺失等等问题。尤其是sklearn中的数据,堪称完美。各大机器学习教材也是如此,都给大家提供处理好的数据,这就导致,很多人在学了很多算法之后,到了现实应用之中,发现模型经常就调不动了,因为现实中的数据,离平时上课使用的完美数据集,相差十万八千里。所以我决定,少讲一两个简单的算法,为大家专门拿一堂课来讲解建模之前的流程,数据预处理和特征工程。这样大家即可以学到数据挖掘过程中很重要但是却经常被忽视的一些步骤,也可以不受课堂的限制,如果自己有时间,可以尝试在真实数据上建模。
数据挖掘的五大流程:
- 获取数据
- 数据预处理
数据预处理是从数据中检测,纠正或删除损坏,不准确或不适用于模型的记录的过程
可能面对的问题有:数据类型不同,比如有的是文字,有的是数字,有的含时间序列,有的连续,有的间断。
也可能,数据的质量不行,有噪声,有异常,有缺失,数据出错,量纲不一,有重复,数据是偏态,数据量太
大或太小
数据预处理的目的:让数据适应模型,匹配模型的需求 - 特征工程:
特征工程是将原始数据转换为更能代表预测模型的潜在问题的特征的过程,可以通过挑选最相关的特征,提取
特征以及创造特征来实现。其中创造特征又经常以降维算法的方式实现。
可能面对的问题有:特征之间有相关性,特征和标签无关,特征太多或太小,或者干脆就无法表现出应有的数
据现象或无法展示数据的真实面貌
特征工程的目的:1) 降低计算成本,2) 提升模型上限 - 建模,测试模型并预测出结果
- 上线,验证模型效果
1.2 sklearn中的数据预处理和特征工程
sklearn中包含众多数据预处理和特征工程相关的模块,虽然刚接触sklearn时,大家都会为其中包含的各种算法的广度深度所震惊,但其实sklearn六大板块中有两块都是关于数据预处理和特征工程的,两个板块互相交互,为建模之前的全部工程打下基础。

- 模块preprocessing:几乎包含数据预处理的所有内容
- 模块Impute:填补缺失值专用
- 模块feature_selection:包含特征选择的各种方法的实践
- 模块decomposition:包含降维算法
2 数据预处理 Preprocessing & Impute
2.1 数据无量纲化
在机器学习算法实践中,我们往往有着将不同规格的数据转换到同一规格,或不同分布的数据转换到某个特定分布的需求,这种需求统称为将数据“无量纲化”。譬如梯度和矩阵为核心的算法中,譬如逻辑回归,支持向量机,神经网络,无量纲化可以加快求解速度;而在距离类模型,譬如K近邻,K-Means聚类中,无量纲化可以帮我们提升模型精度,避免某一个取值范围特别大的特征对距离计算造成影响。(一个特例是决策树和树的集成算法们,对决策树我们不需要无量纲化,决策树可以把任意数据都处理得很好。)
数据的无量纲化可以是线性的,也可以是非线性的。线性的无量纲化包括中心化处理(Zero-centered或者Meansubtraction)和缩放处理(Scale)。中心化的本质是让所有记录减去一个固定值,即让数据样本数据平移到某个位置。缩放的本质是通过除以一个固定值,将数据固定在某个范围之中,取对数也算是一种缩放处理。
- preprocessing.MinMaxScaler
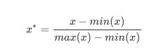
当数据(x)按照最小值中心化后,再按极差(最大值 - 最小值)缩放,数据移动了最小值个单位,并且会被收敛到[0,1]之间,而这个过程,就叫做数据归一化(Normalization,又称Min-Max Scaling)。注意,Normalization是归一化,不是正则化,真正的正则化是regularization,不是数据预处理的一种手段。归一化之后的数据服从正态分布,公式如下:
在sklearn当中,我们使用preprocessing.MinMaxScaler来实现这个功能。MinMaxScaler有一个重要参数,feature_range,控制我们希望把数据压缩到的范围,默认是[0,1]。
from sklearn.preprocessing import MinMaxScaler
data = [[-1, 2], [-0.5, 6], [0, 10], [1, 18]]
#不太熟悉numpy的小伙伴,能够判断data的结构吗?
#如果换成表是什么样子?
import pandas as pd
pd.DataFrame(data)
'''
输出
0 1
0 -1.0 2
1 -0.5 6
2 0.0 10
3 1.0 18
'''
#实现归一化
scaler = MinMaxScaler() #实例化
scaler = scaler.fit(data) #fit,在这里本质是生成min(x)和max(x)
result = scaler.transform(data) #通过接口导出结果
result
'''
array([[0. , 0. ],
[0.25, 0.25],
[0.5 , 0.5 ],
[1. , 1. ]])
'''
result_ = scaler.fit_transform(data) #训练和导出结果一步达成
result
'''
array([[0. , 0. ],
[0.25, 0.25],
[0.5 , 0.5 ],
[1. , 1. ]])
'''
scaler.inverse_transform(result) #将归一化后的结果逆转
'''
array([[-1. , 2. ],
[-0.5, 6. ],
[ 0. , 10. ],
[ 1. , 18. ]])
'''
#使用MinMaxScaler的参数feature_range实现将数据归一化到[0,1]以外的范围中
data = [[-1, 2], [-0.5, 6], [0, 10], [1, 18]]
scaler = MinMaxScaler(feature_range=[5,10]) #依然实例化
result = scaler.fit_transform(data) #fit_transform一步导出结果
result
'''
array([[ 5. , 5. ],
[ 6.25, 6.25],
[ 7.5 , 7.5 ],
[10. , 10. ]])
'''
#当X中的特征数量非常多的时候,fit会报错并表示,数据量太大了我计算不了
#此时使用partial_fit作为训练接口
#scaler = scaler.partial_fit(data)
BONUS: 使用numpy来实现归一化
import numpy as np
X = np.array([[-1, 2], [-0.5, 6], [0, 10], [1, 18]])
#归一化
X_nor = (X - X.min(axis=0)) / (X.max(axis=0) - X.min(axis=0))
X_nor
'''
array([[0. , 0. ],
[0.25, 0.25],
[0.5 , 0.5 ],
[1. , 1. ]])
'''
#逆转归一化
X_returned = X_nor * (X.max(axis=0) - X.min(axis=0)) + X.min(axis=0)
X_returned
'''
array([[-1. , 2. ],
[-0.5, 6. ],
[ 0. , 10. ],
[ 1. , 18. ]])
'''
代码解析:
X.min() # 返回所有数值中的最小值
'''
-1.0
'''
X.min(axis=0) # 返回列的最小值(跨列计算)
'''
array([-1., 2.])
'''
X.min(axis=1) # 返回行的最小值(跨行计算)
'''
array([-1. , -0.5, 0. , 1. ])
'''
- preprocessing.StandardScaler
当数据(x)按均值(μ)中心化后,再按标准差(σ)缩放,数据就会服从为均值为0,方差为1的正态分布(即标准正态分布),而这个过程,就叫做数据标准化(Standardization,又称Z-score normalization),公式如下:
from sklearn.preprocessing import StandardScaler
data = [[-1, 2], [-0.5, 6], [0, 10], [1, 18]]
scaler = StandardScaler() #实例化
scaler.fit(data) #fit,本质是生成均值和方差
'''
StandardScaler(copy=True, with_mean=True, with_std=True)
'''
scaler.mean_ #查看均值的属性mean_
'''
array([-0.125, 9. ])
'''
scaler.var_ #查看方差的属性var_
'''
array([ 0.546875, 35. ])
'''
x_std = scaler.transform(data) #通过接口导出结果
x_std
'''
array([[-1.18321596, -1.18321596],
[-0.50709255, -0.50709255],
[ 0.16903085, 0.16903085],
[ 1.52127766, 1.52127766]])
'''
x_std.mean() #导出的结果是一个数组,用mean()查看均值
'''
0.0
'''
x_std.std() #用std()查看方差
'''
1.0
'''
scaler.fit_transform(data) #使用fit_transform(data)一步达成结果
'''
array([[-1.18321596, -1.18321596],
[-0.50709255, -0.50709255],
[ 0.16903085, 0.16903085],
[ 1.52127766, 1.52127766]])
'''
scaler.inverse_transform(x_std) #使用inverse_transform逆转标准化
'''
array([[-1. , 2. ],
[-0.5, 6. ],
[ 0. , 10. ],
[ 1. , 18. ]])
'''
对于StandardScaler和MinMaxScaler来说,空值NaN会被当做是缺失值,在fit的时候忽略,在transform的时候保持缺失NaN的状态显示。并且,尽管去量纲化过程不是具体的算法,但在fit接口中,依然只允许导入至少二维数组,一维数组导入会报错。通常来说,我们输入的X会是我们的特征矩阵,现实案例中特征矩阵不太可能是一维所以不会存在这个问题。
- StandardScaler和MinMaxScaler选哪个?
看情况。大多数机器学习算法中,会选择StandardScaler来进行特征缩放,因为MinMaxScaler对异常值非常敏感。在PCA,聚类,逻辑回归,支持向量机,神经网络这些算法中,StandardScaler往往是最好的选择。
MinMaxScaler在不涉及距离度量、梯度、协方差计算以及数据需要被压缩到特定区间时使用广泛,比如数字图像处理中量化像素强度时,都会使用MinMaxScaler将数据压缩于[0,1]区间之中。
建议先试试看StandardScaler,效果不好换MinMaxScaler。
除了StandardScaler和MinMaxScaler之外,sklearn中也提供了各种其他缩放处理(中心化只需要一个pandas广播一下减去某个数就好了,因此sklearn不提供任何中心化功能)。比如,在希望压缩数据,却不影响数据的稀疏性时(不影响矩阵中取值为0的个数时),我们会使用MaxAbsScaler;在异常值多,噪声非常大时,我们可能会选用分位数来无量纲化,此时使用RobustScaler。更多详情请参考以下列表。
| 无量纲化 | 功能 | 中心化 | 缩放 | 详解 |
|---|---|---|---|---|
| .StandardScaler | 标准化 | 均值 | 方差 | 通过减掉均值并将数据缩放到单位方差来标准化特征标准化完毕后的特征服从标准正态分布,即方差为1,均值为0 |
| .MinMaxScaler | 归一化 | 最小值 | 极差 | 通过最大值最小值将每个特征缩放到给定范围,默认[0,1] |
| .MaxAbsScaler | 缩放 | N/A | 最大值 | 通过让每一个特征里的数据,除以该特征中绝对值最大的数值的绝对值,将数据压缩到[-1,1]之间,这种做法并没有中心化数据,因此不会破坏数据的稀疏性。数据的稀疏性是指,数据中包含0的比例,0越多,数据越稀疏。 |
| .Robustscaler | 无量纲化 | 中位数 | 四分位数范围 | 使用可以处理异常值,对异常值不敏感的统计量来缩放数据。 这个缩放器删除中位数并根据百分位数范围( RQ:Interquartile Range)缩放数据。IQR是第一分位数(25%)和第三数范围分维数(75%)之间的范围。数据集的标准化是通过去除均值,缩放到单位方差来完成,但是异常值通常会对样本的均值和方差造成负面影响,当异常值很多噪音很大时,用中位数和四分位数范围通常会产生更好的效果。 |
| .Normalizer | 无量纲化 | N/A | sklearn中末明确,依范数原理应当是: I1:样本向量的长度/样本中每个元素绝对值的和 I2:样本向量的长度/样本中每个元素的欧氏距离 | 将样本独立缩放到到单位范数。每个至少带个非0值的样本都回被独立缩放,使得整个样本(整个向量)的的长度都为I1范数或I2范数。这个类可以处理密集数组( numpy arrays或 scipy中的稀疏矩阵( scipysparse),如果你希望避免复制/转换过程中的负担,请使用CSR格式的矩阵。 将输入的数据缩放到单位范数是文本分类或聚类中的常见操作。例如,两个正则化后的TF-IDF向量的点积是向量的余弦相似度,并且是信息检索社区常用的向量空间模型的基本桕似性度量。 使用参数norm来确定要正则化的范数方向,可以选择"I1"I2以及"max"三种选项,默认I2范数这个评估器的fit接口什么也不做,但在管道中使用依然是很有用的。 |
| .Power Transformer | 非线性 无量纲化 | N/A | N/A | 应用特征功率变换使数据更接近正态分布。 功率变换是一系列参数单调变换,用于使数据更像高斯。这对于建模与异方差性(非常数方差)或其他需要正态性的情况相关的问题非常有用。要求输入的数据严格为正, power_transform0通过最大似然估计来稳定方差和并确定最小化偏度的最佳参数。 默认情况下,标准化应用于转换后的数据 |
| .Quantile Transformer | 非线性 无量纲化 | N/A | N/A | 使用百分位数转换特征,通过缩小边缘异常值和非异常值之间的距离来提供特征的非线性变换。可以使用参数output_distribution=" normal"来将数据映射到标准正态分布。 |
| .KernelCenterer | 中心化 | 均值 | N/A | 将核矩阵中心化。设K(x,2)是由ph(x)^Tphi(定义的核,其中phi是将x映射到希尔伯特空间的函数。 KernelCentere在不明确计算phi(x)的情况下让数据中心化为0均值。它相当于使用sklearn.preprocessing. StandardScaler(with std= False)来将phi(x)中心化 |
2.2 缺失值
机器学习和数据挖掘中所使用的数据,永远不可能是完美的。很多特征,对于分析和建模来说意义非凡,但对于实际收集数据的人却不是如此,因此数据挖掘之中,常常会有重要的字段缺失值很多,但又不能舍弃字段的情况。因此,数据预处理中非常重要的一项就是处理缺失值。
import pandas as pd
data = pd.read_csv(r"C:\Users\ASUS\sklearn\Narrativedata.csv"
,index_col=0
)
data.head()

在这里,我们使用从泰坦尼克号提取出来的数据,这个数据有三个特征,一个数值型,两个字符型,标签也是字符型。从这里开始,我们就使用这个数据给大家作为例子,让大家慢慢熟悉sklearn中数据预处理的各种方式。
- impute.SimpleImputer
class sklearn.impute.SimpleImputer (missing_values=nan, strategy=’mean’, fill_value=None, verbose=0,copy=True)
在讲解随机森林的案例时,我们用这个类和随机森林回归填补了缺失值,对比了不同的缺失值填补方式对数据的影响。这个类是专门用来填补缺失值的。它包括四个重要参数:
| 参数 | 含义&输入 |
|---|---|
| missing_values | 告诉 Simplelmputer,数据中的缺失值长什么样,默认空值 np.nan |
| strategy | 我们填补缺失值的策略,默认均值。 输入"mean"使用均值填补(仅对数值型特征可用) 输入" median"用中值填补(仅对数值型特征可用) 输入" most_frequent"用众数填补(对数值型和字符型特征都可用) 输入“ constant"表示请参考参数“ fill_value"中的值(对数值型和字符型特征都可用) |
| fill_value | 当参数 startegy为" constant"的时候可用,可输入字符串或数字表示要填充的值,常用0 |
| copy | 默认为True,将创建特征矩阵的副本,反之则会将缺失值填补到原本的特征矩阵中去。 |
data.info()
'''
<class 'pandas.core.frame.DataFrame'>
Int64Index: 891 entries, 0 to 890
Data columns (total 4 columns):
# Column Non-Null Count Dtype
--- ------ -------------- -----
0 Age 714 non-null float64
1 Sex 891 non-null object
2 Embarked 889 non-null object
3 Survived 891 non-null object
dtypes: float64(1), object(3)
memory usage: 34.8+ KB
'''
#填补年龄
Age = data.loc[:,"Age"].values.reshape(-1,1) #sklearn当中特征矩阵必须是二维
Age[:20]
'''
array([[22.],
[38.],
[26.],
[35.],
[35.],
[nan],
[54.],
[ 2.],
[27.],
[14.],
[ 4.],
[58.],
[20.],
[39.],
[14.],
[55.],
[ 2.],
[nan],
[31.],
[nan]])
'''
from sklearn.impute import SimpleImputer
imp_mean = SimpleImputer() #实例化,默认均值填补
imp_median = SimpleImputer(strategy="median") #用中位数填补
imp_0 = SimpleImputer(strategy="constant",fill_value=0) #用0填补
imp_mean = imp_mean.fit_transform(Age) #fit_transform一步完成调取结果
imp_median = imp_median.fit_transform(Age)
imp_0 = imp_0.fit_transform(Age)
imp_mean[:20]
'''
array([[22. ],
[38. ],
[26. ],
[35. ],
[35. ],
[29.69911765],
[54. ],
[ 2. ],
[27. ],
[14. ],
[ 4. ],
[58. ],
[20. ],
[39. ],
[14. ],
[55. ],
[ 2. ],
[29.69911765],
[31. ],
[29.69911765]])
'''
imp_median[:20]
'''
array([[22.],
[38.],
[26.],
[35.],
[35.],
[28.],
[54.],
[ 2.],
[27.],
[14.],
[ 4.],
[58.],
[20.],
[39.],
[14.],
[55.],
[ 2.],
[28.],
[31.],
[28.]])
'''
imp_0[:20]
'''
array([[22.],
[38.],
[26.],
[35.],
[35.],
[ 0.],
[54.],
[ 2.],
[27.],
[14.],
[ 4.],
[58.],
[20.],
[39.],
[14.],
[55.],
[ 2.],
[ 0.],
[31.],
[ 0.]])
'''
#在这里我们使用中位数填补Age
data.loc[:,"Age"] = imp_median
data.info()
'''
<class 'pandas.core.frame.DataFrame'>
Int64Index: 891 entries, 0 to 890
Data columns (total 4 columns):
# Column Non-Null Count Dtype
--- ------ -------------- -----
0 Age 891 non-null float64
1 Sex 891 non-null object
2 Embarked 889 non-null object
3 Survived 891 non-null object
dtypes: float64(1), object(3)
memory usage: 34.8+ KB
'''
#使用众数填补Embarked
Embarked = data.loc[:,"Embarked"].values.reshape(-1,1)
imp_mode = SimpleImputer(strategy = "most_frequent") # 使用众数填写
data.loc[:,"Embarked"] = imp_mode.fit_transform(Embarked)
data.info()
'''
<class 'pandas.core.frame.DataFrame'>
Int64Index: 891 entries, 0 to 890
Data columns (total 4 columns):
# Column Non-Null Count Dtype
--- ------ -------------- -----
0 Age 891 non-null float64
1 Sex 891 non-null object
2 Embarked 891 non-null object
3 Survived 891 non-null object
dtypes: float64(1), object(3)
memory usage: 34.8+ KB
'''
data.loc[:,"Age"]
'''
0 22.0
1 38.0
2 26.0
3 35.0
4 35.0
...
886 27.0
887 19.0
888 NaN
889 26.0
890 32.0
Name: Age, Length: 891, dtype: float64
'''
data.loc[:,"Age"].values # 一维数组
'''
array([22. , 38. , 26. , 35. , 35. , nan, 54. , 2. , 27. ,
14. , 4. , 58. , 20. , 39. , 14. , 55. , 2. , nan,
15. , nan, 35. , 34. , 15. , 28. , 8. , 38. , nan,
16. , nan, nan, 40. , nan, nan, 66. , 28. , 42. ,
17. ......])
'''
data.loc[:,"Age"].values.reshape(-1,1) # 升维 二维数组
'''
array([[22. ],
[38. ],
[26. ],
[35. ],
[35. ],
[ nan],
[54. ],
[ 2. ],
[27. ],
[14. ],
....])
'''
BONUS:用Pandas和Numpy进行填补其实更加简单
import pandas as pd
data = pd.read_csv(r"C:\Users\ASUS\sklearn\Narrativedata.csv",index_col=0)
data.head()
'''
Age Sex Embarked Survived
0 22.0 male S No
1 38.0 female C Yes
2 26.0 female S Yes
3 35.0 female S Yes
4 35.0 male S No
'''
data.loc[:,"Age"] = data.loc[:,"Age"].fillna(data.loc[:,"Age"].median()) # 中位数填补
#.fillna 在DataFrame里面直接进行填补
data.dropna(axis=0,inplace=True)
data.info()
'''
<class 'pandas.core.frame.DataFrame'>
Int64Index: 889 entries, 0 to 890
Data columns (total 4 columns):
# Column Non-Null Count Dtype
--- ------ -------------- -----
0 Age 889 non-null float64
1 Sex 889 non-null object
2 Embarked 889 non-null object
3 Survived 889 non-null object
dtypes: float64(1), object(3)
memory usage: 34.7+ KB
'''
#.dropna(axis=0)删除所有有缺失值的行,.dropna(axis=1)删除所有有缺失值的列
#参数inplace,为True表示在原数据集上进行修改,为False表示生成一个复制对象,不修改原数据,默认False
2.3 处理分类型特征:编码与哑变量
在机器学习中,大多数算法,譬如逻辑回归,支持向量机SVM,k近邻算法等都只能够处理数值型数据,不能处理文字,在sklearn当中,除了专用来处理文字的算法,其他算法在fit的时候全部要求输入数组或矩阵,也不能够导入文字型数据(其实手写决策树和普斯贝叶斯可以处理文字,但是sklearn中规定必须导入数值型)。然而在现实中,许多标签和特征在数据收集完毕的时候,都不是以数字来表现的。比如说,学历的取值可以是[“小学”,“初中”,“高中”,“大学”],付费方式可能包含[“支付宝”,“现金”,“微信”]等等。在这种情况下,为了让数据适应算法和库,我们必须将数据进行编码,即是说,将文字型数据转换为数值型。
- preprocessing.LabelEncoder:标签专用,能够将分类转换为分类数值
from sklearn.preprocessing import LabelEncoder
y = data.iloc[:,-1] #要输入的是标签,不是特征矩阵,所以允许一维
le = LabelEncoder() #实例化
le = le.fit(y) #导入数据
label = le.transform(y) #transform接口调取结果
label #查看获取的结果label
'''
array([0, 2, 2, 2, 0, 0, 0, 0, 2, 2, 1, 2, 0, 0, 0, 1, 0, 2, 0, 2, 1, 2,
2, 2, 0, 1, 0, 0, 2, 0, 0, 2, 2, 0, 0, 0, 2, 0, 0, 2, 0, 0, 0, 1,
2, 0, 0, 2, 0, 0, 0, 0, 2, 2, 0, 2, 2, 0, 2, 0, 0, 0, 0, 0, 2, 2,
0, 2, 0, 0, 0, 0, 0, 2, 1, 0, 1, 2, 2, 0, 2, 2, 0, 2, 2, 0, 0, 2,
0, 0, 0, 0, 0, 0, 0, 1, 2, 2, 0, 0, 0, 0, 0, 0, 0, 2, 2, 0, 2, 0,
0, 0, 0, 0, 0, 0, 0, 0, 0, 0, 0, 0, 2, 0, 2, 0, 2, 2, 0, 1, 0, 0,
2, 0, 0, 2, 0, 0, 0, 1, 1, 2, 0, 0, 0, 2, 0, 0, 1, 0, 1, 1, 0, 0,
0, 2, 0, 0, 0, 0, 2, 0, 0, 0, 2, 2, 0, 0, 0, 1, 0, 2, 0, 0, 0, 1,
....])
'''
le.classes_ #属性.classes_查看标签中究竟有多少类别
'''
array(['No', 'Unknown', 'Yes'], dtype=object)
'''
le.fit_transform(y) #也可以直接fit_transform一步到位
'''
array([0, 2, 2, 2, 0, 0, 0, 0, 2, 2, 1, 2, 0, 0, 0, 1, 0, 2, 0, 2, 1, 2,
2, 2, 0, 1, 0, 0, 2, 0, 0, 2, 2, 0, 0, 0, 2, 0, 0, 2, 0, 0, 0, 1,
2, 0, 0, 2, 0, 0, 0, 0, 2, 2, 0, 2, 2, 0, 2, 0, 0, 0, 0, 0, 2, 2,
0, 2, 0, 0, 0, 0, 0, 2, 1, 0, 1, 2, 2, 0, 2, 2, 0, 2, 2, 0, 0, 2,
0, 0, 0, 0, 0, 0, 0, 1, 2, 2, 0, 0, 0, 0, 0, 0, 0, 2, 2, 0, 2, 0,
0, 0, 0, 0, 0, 0, 0, 0, 0, 0, 0, 0, 2, 0, 2, 0, 2, 2, 0, 1, 0, 0,
2, 0, 0, 2, 0, 0, 0, 1, 1, 2, 0, 0, 0, 2, 0, 0, 1, 0, 1, 1, 0, 0,
0, 2, 0, 0, 0, 0, 2, 0, 0, 0, 2, 2, 0, 0,....])
'''
le.inverse_transform(label) #使用inverse_transform可以逆转
'''
array(['No', 'Yes', 'Yes', 'Yes', 'No', 'No', 'No', 'No', 'Yes', 'Yes',
'Unknown', 'Yes', 'No', 'No', 'No', 'Unknown', 'No', 'Yes', 'No',
'Yes', 'Unknown', 'Yes', 'Yes', 'Yes', 'No', 'Unknown', 'No', 'No',
'Yes', 'No', 'No', 'Yes', 'Yes', 'No', 'No', 'No', 'Yes', 'No',
'No', 'Yes', 'No', 'No', 'No', 'Unknown', 'Yes', 'No', 'No', 'Yes',
'No', 'No', 'No', 'No', 'Yes', 'Yes', 'No', 'Yes', 'Yes', 'No',
'Yes', 'No', 'No', 'No', 'No', 'No', 'Yes', 'Yes', 'No', 'Yes',
'No', 'No', 'No', 'No', 'No', 'Yes', 'Unknown', 'No',...])
'''
data.iloc[:,-1] = label #让标签等于我们运行出来的结果
data.head()
'''
Age Sex Embarked Survived
0 22.0 male S 0
1 38.0 female C 2
2 26.0 female S 2
3 35.0 female S 2
4 35.0 male S 0
'''
#如果不需要教学展示的话我会这么写:
from sklearn.preprocessing import LabelEncoder
data.iloc[:,-1] = LabelEncoder().fit_transform(data.iloc[:,-1])
data.head()
'''
Age Sex Embarked Survived
0 22.0 male S 0
1 38.0 female C 2
2 26.0 female S 2
3 35.0 female S 2
4 35.0 male S 0
'''
- preprocessing.OrdinalEncoder:特征专用,能够将分类特征转换为分类数值
from sklearn.preprocessing import OrdinalEncoder
#接口categories_对应LabelEncoder的接口classes_,一模一样的功能
data_ = data.copy()
data_.head()
'''
Age Sex Embarked Survived
0 22.0 male S 0
1 38.0 female C 2
2 26.0 female S 2
3 35.0 female S 2
4 35.0 male S 0
'''
OrdinalEncoder().fit(data_.iloc[:,1:-1]).categories_ # [:,1:-1] -1 表示最后一列的前一列
'''
[array(['female', 'male'], dtype=object), array(['C', 'Q', 'S'], dtype=object)]
'''
data_.iloc[:,1:-1] = OrdinalEncoder().fit_transform(data_.iloc[:,1:-1])
data_.head()
'''
Age Sex Embarked Survived
0 22.0 1.0 2.0 0
1 38.0 0.0 0.0 2
2 26.0 0.0 2.0 2
3 35.0 0.0 2.0 2
4 35.0 1.0 2.0 0
''''
- preprocessing.OneHotEncoder:独热编码,创建哑变量
我们刚才已经用OrdinalEncoder把分类变量Sex和Embarked都转换成数字对应的类别了。在舱门Embarked这一列中,我们使用[0,1,2]代表了三个不同的舱门,然而这种转换是正确的吗?
我们来思考三种不同性质的分类数据:
1) 舱门(S,C,Q)
三种取值S,C,Q是相互独立的,彼此之间完全没有联系,表达的是S≠C≠Q的概念。这是名义变量。
2) 学历(小学,初中,高中)
三种取值不是完全独立的,我们可以明显看出,在性质上可以有高中>初中>小学这样的联系,学历有高低,但是学历取值之间却不是可以计算的,我们不能说小学 + 某个取值 = 初中。这是有序变量。
3) 体重(>45kg,>90kg,>135kg)
各个取值之间有联系,且是可以互相计算的,比如120kg - 45kg = 90kg,分类之间可以通过数学计算互相转换。这是有距变量。
然而在对特征进行编码的时候,这三种分类数据都会被我们转换为[0,1,2],这三个数字在算法看来,是连续且可以计算的,这三个数字相互不等,有大小,并且有着可以相加相乘的联系。所以算法会把舱门,学历这样的分类特征,都误会成是体重这样的分类特征。这是说,我们把分类转换成数字的时候,忽略了数字中自带的数学性质,所以给算法传达了一些不准确的信息,而这会影响我们的建模。
类别OrdinalEncoder可以用来处理有序变量,但对于名义变量,我们只有使用哑变量的方式来处理,才能够尽量向算法传达最准确的信息:
这样的变化,让算法能够彻底领悟,原来三个取值是没有可计算性质的,是“有你就没有我”的不等概念。在我们的数据中,性别和舱门,都是这样的名义变量。因此我们需要使用独热编码,将两个特征都转换为哑变量。
from sklearn.preprocessing import OneHotEncoder
X = data.iloc[:,1:-1]
enc = OneHotEncoder(categories='auto').fit(X)
result = enc.transform(X).toarray()
result
'''
array([[0., 1., 0., 0., 1.],
[1., 0., 1., 0., 0.],
[1., 0., 0., 0., 1.],
...,
[1., 0., 0., 0., 1.],
[0., 1., 1., 0., 0.],
[0., 1., 0., 1., 0.]])
'''
#依然可以直接一步到位,但为了给大家展示模型属性,所以还是写成了三步
OneHotEncoder(categories='auto').fit_transform(X).toarray()
'''
array([[0., 1., 0., 0., 1.],
[1., 0., 1., 0., 0.],
[1., 0., 0., 0., 1.],
...,
[1., 0., 0., 0., 1.],
[0., 1., 1., 0., 0.],
[0., 1., 0., 1., 0.]])
'''
#依然可以还原
pd.DataFrame(enc.inverse_transform(result))
'''
0 1
0 male S
1 female C
2 female S
3 female S
4 male S
... ... ...
884 male S
885 female S
886 female S
887 male C
888 male Q
889 rows × 2 columns
'''
enc.get_feature_names()
result
'''
array([[0., 1., 0., 0., 1.],
[1., 0., 1., 0., 0.],
[1., 0., 0., 0., 1.],
...,
[1., 0., 0., 0., 1.],
[0., 1., 1., 0., 0.],
[0., 1., 0., 1., 0.]])
'''
result.shape # (889, 5)
#axis=1,表示跨行进行合并,也就是将量表左右相连,如果是axis=0,就是将量表上下相连
newdata = pd.concat([data,pd.DataFrame(result)],axis=1)
newdata.head()
'''
Age Sex Embarked Survived 0 1 2 3 4
0 22.0 male S 0.0 0.0 1.0 0.0 0.0 1.0
1 38.0 female C 2.0 1.0 0.0 1.0 0.0 0.0
2 26.0 female S 2.0 1.0 0.0 0.0 0.0 1.0
3 35.0 female S 2.0 1.0 0.0 0.0 0.0 1.0
4 35.0 male S 0.0 0.0 1.0 0.0 0.0 1.0
'''
newdata.drop(["Sex","Embarked"],axis=1,inplace=True)
newdata.columns =
["Age","Survived","Female","Male","Embarked_C","Embarked_Q","Embarked_S"]
newdata.head()
'''
Age Survived Female Male Embarked_C Embarked_Q Embarked_S
0 22.0 0.0 0.0 1.0 0.0 0.0 1.0
1 38.0 2.0 1.0 0.0 1.0 0.0 0.0
2 26.0 2.0 1.0 0.0 0.0 0.0 1.0
3 35.0 2.0 1.0 0.0 0.0 0.0 1.0
4 35.0 0.0 0.0 1.0 0.0 0.0 1.0
'''
特征可以做哑变量,标签也可以吗?可以,使用类sklearn.preprocessing.LabelBinarizer可以对做哑变量,许多算法都可以处理多标签问题(比如说决策树),但是这样的做法在现实中不常见,因此我们在这里就不赘述了。
| 编码与哑变量 | 功能 | 重要参数 | 重要属性 | 重要接口 |
|---|---|---|---|---|
| .LabelEncoder | 分类标签编码 | N/A | .classes_:查看标签中究竟有多少类别 | fit, transform, fit_transform, inverse_transform |
| .OrdinalEncoder | 分类标签编码 | N/A | .categories_:查看特征中究竟有多少类别 | fit, transform, fit_transform, inverse_transform |
| .OnehotEncoder | 独热编码,为名义变量创建哑变量 | categories:每个特征都有哪些类别,默认auto"表示让算法自己判断,或者可以输入列表,每个元素都是个列表,表示每个特征中的不同类别 handle unknown:当输入了 categories,且算法遇见了 categories中没有有写明的特征或类别时,是否报错。默认"error"表示请报错,也可以选择" ignore’表示请无视。如果选择" gnore",则末再 categories中注明的特征或类别的哑变量会全部显示为0.在逆转 inverse transform)中,未知特征或类别会被返回为None。 | .categories_:查看特征中究竟 多少类别,如果是自己输入的类别,那就不需要查看了 | fit, transform, fit_transform, inverse_transform, get_feature_ names:查看生成的哑变量的每一列都是什么特征的什么取值 |
2.4 处理连续型特征:二值化与分段
- sklearn.preprocessing.Binarizer
根据阈值将数据二值化(将特征值设置为0或1),用于处理连续型变量。大于阈值的值映射为1,而小于或等于阈值的值映射为0。默认阈值为0时,特征中所有的正值都映射到1。二值化是对文本计数数据的常见操作,分析人员可以决定仅考虑某种现象的存在与否。它还可以用作考虑布尔随机变量的估计器的预处理步骤(例如,使用贝叶斯设置中的伯努利分布建模)。
#将年龄二值化
data_2 = data.copy()
from sklearn.preprocessing import Binarizer
X = data_2.iloc[:,0].values.reshape(-1,1) #类为特征专用,所以不能使用一维数组
transformer = Binarizer(threshold=30).fit_transform(X)
transformer
'''
array([[0.],
[1.],
[0.],
[1.],
[1.],
[0.],
[1.],
[0.],
[0.],
[0.],
[0.],
[1.],
[0.],
[1.],
[0.],
[1.],
[0.],
[0.],
[1.],
....])
'''
- preprocessing.KBinsDiscretizer
将连续型变量划分为分类变量的类,能够将连续型变量排序后按顺序分箱后编码。总共包含三个重要参数:
| 参数 | 含义&输入 |
|---|---|
| n_bins | 每个特征中分箱的个数,默认5,一次会被运用到所有导入的特征 |
| encode | 编码的方式,默认"onehot " “onehot”:做哑变量,之后返回一个稀疏矩阵,每一列是一个特征中的一个类别,含有该类别的样本表示为1,不含的表示为0 "ordinal ”:每个特征的每个箱都被编码为—个整数,返回每一列是一个特征,每个特征下含有不同整数编码的箱的矩阵 “onehot-dense”:做哑变量,之后返回一个密集数组。 |
| strategy | 用来定义箱宽的方式,默认" quantile" " unifor":表示等宽分箱,即每个特征中的每个箱的最大值之间的差为(特征.max(0-特征min0)/( n_bins) “pantile”:表示等位分箱,即每个特征中的每个箱内的样本数量都相同 " kmeans":表示按聚类分箱,每个箱中的值到最近的维k均值聚类的簇心得距离都相同 |
from sklearn.preprocessing import KBinsDiscretizer
X = data.iloc[:,0].values.reshape(-1,1)
est = KBinsDiscretizer(n_bins=3, encode='ordinal', strategy='uniform')
est.fit_transform(X)
'''
array([[0.],
[1.],
[0.],
[1.],
[1.],
[1.],
[2.],
[0.],
[1.],
[0.],
[0.],
[2.],
[0.],
[1.],
[0.],
[2.],
...])
'''
#查看转换后分的箱:变成了一列中的三箱
set(est.fit_transform(X).ravel())
'''
{0.0, 1.0, 2.0}
'''
est = KBinsDiscretizer(n_bins=3, encode='onehot', strategy='uniform')
#查看转换后分的箱:变成了哑变量
est.fit_transform(X).toarray()
'''
array([[1., 0., 0.],
[0., 1., 0.],
[1., 0., 0.],
...,
[0., 1., 0.],
[1., 0., 0.],
[0., 1., 0.]])
'''
3. 特征选择feature selection
当数据预处理完成后,我们就要开始进行特征工程了,
| 特征提取 (feature extraction) | 特征创造 (feature creation) | 特征选择 (feature select) |
|---|---|---|
| 从文字,图像,声音等其他非结构化数据中提取新信息作为特征。比如说,从淘宝宝贝的名称中提取出产品类别,产品颜色,是否是网红产品等等。 | 把现有特征进行组合,或互相计算,得到新的特征。比如说,我们有一列特征是速度,一列特征是距离,我们就可以通过让两列相处,创造新的特征:通过距离所花的时间。 | 从所有的特征中选择出有意义,对模型有帮助的特征,以避免必须将所有特征都导入模型去训练的情况。 |
在做特征选择之前,有非常重要的事:跟数据提供者开会!
一定要抓住给你提供数据的人,尤其是理解业务和数据含义的人,跟他们聊一段时间。技术能够让模型起飞,前提是你和业务人员一样理解数据。所以特征选择的第一步,其实是根据我们的目标,用业务常识来选择特征。来看完整版泰坦尼克号数据中的这些特征:
其中是否存活是我们的标签。很明显,以判断是否存活为目的,票号,登船的舱门,乘客编号明显是无关特征,可以直接删除。姓名,舱位等级,船舱编号,也基本可以判断是相关性比较低的特征。性别,年龄,船上的亲人数量,这些应该是相关性比较高的特征。
所以,特征工程的第一步是:理解业务。
当然了,在真正的数据应用领域,比如金融,医疗,电商,我们的数据不可能像泰坦尼克号数据的特征这样少,这样明显,那如果遇见极端情况,我们无法依赖对业务的理解来选择特征,该怎么办呢?我们有四种方法可以用来选择特征:过滤法,嵌入法,包装法,和降维算法。
#导入数据,让我们使用 digit recognize0r数据来一展身手
import pandas as pd
data = pd.read_csv(r"C:\Users\ASUS\sklearn\digit_recognizor.csv")
X = data.iloc[:,1:]
y = data.iloc[:,0]
X.shape # 42000, 784)
'''
这个数据量相对夸张,如果使用支持向量机和神经网络,很可能会直接跑不出来。
使用KNN跑一次大概需要半个小时,用这个数据举例,能更够体现特征工程的重要性。
'''
3.1 Filter过滤法
过滤方法通常用作预处理步骤,特征选择完全独立于任何机器学习算法,它是根据各种统计检验中的分数及相关性的各项指标来选择特征
全部特征→最佳特征子集→算法→模型评估
3.1.1方差过滤
3.1.1.1 VarianceThreshold
这是通过特征本身的方差来筛选特征的类。比如一个特征本身的方差很小,就表示样本在这个特征上基本没有差异,可能特征中的大多数值都一样,甚至整个特征的取值都相同,那这个特征对于样本区分没有什么作用。所以无论接下来的特征工程要做什么,都要优先消除方差为0的特征。 Variance threshold?有重要参数 threshold,表示方差的阈值,表示舍弃所有方差小于 threshold的特征,不填默认为0,即删除所有的记录都相同的特征。
from sklearn.feature_selection import VarianceThreshold
selector = VarianceThreshold() #实例化,不填参数默认方差为0
X_var0 = selector.fit_transform(X) #获取删除不合格特征之后的新特征矩阵
#也可以直接写成X= vairanceThresho().fit_transform(x)
X_var0.shape # (42000, 708)
可以看见,我们已经删除了方差为0的特征,但是依然剩下了708多个特征,明显还需要进一步的特征选择。然而,如果我们知道我们需要多少个特征,方差也可以帮助我们将特征选择一步到位。比如说,我们希望留下一半的特征,那可以设定一个让特征总数减半的方差阈值,只要找到特征方差的中位数,再将这个中位数作为参数threshold的值输入就好了.
import numpy as np
X_fsvar= VarianceThreshold(np.median(X.var().values)).fit_transform(X)
X.var().values # 提取每一列的方差
np.median(X.var(). values) #1352.286783180131 选取这些数中的中位数
X_fsvar = VarianceThreshold(np.median(X.var().values)).fit_transform(X) # 根据中位数进行特征选择(可选取一半的数据,前提是知道需要一半的特征)
X_fsvar.shape # (42000, 392)
当特征是二分类时,特征的取值就是伯努利随机变量,这些变量的方差可以计算为
Var[X] = p(1-p)
其中X是特征矩阵,p是二分类特征中的类在这个特征中所占的概率。
#若特征是伯努利随机变量,假设p=0.8,即二分类特征中某种分类占到80‰以上的时候删除特征
X_bvar = VarianceThreshold(.8*(1-.8)).fit_transform(X)
X_bvar.shape # (42000, 685)
3.1.1.2 方差过滤对模型的影响
**我们这样做了以后,对模型效果会有怎样的影响呢?**在这里,我为大家准备了KNN和随机森林分别在方差过滤前和方差过滤后运行的效果和运行时间的对比。KNN是K近邻算法中的分类算法,其原理非常简单,是利用毎个样本到其他样本点的距离来判断每个样本点的相似度,然后对样本进行分类。KNN必须遍历每个特征和毎个样本,因而特征越多,KNN的计算也就会越缓慢。由于这一段代码对比运行时间过长,所以我为大家贴出了代码和结果。
1.导入模块并准备数据
# KNN vs 随机森林 在不同方差过滤效果下的对比
from sklearn.ensemble import RandomForestClassifier as RFC
from sklearn.neighbors import KNeighborsClassifier as KNN
from sklearn.model_selection import cross_val_score
import numpy as np
x = data.iloc[:,1:]
y= data.iloc[:,0]
x_fsvar = varianceThreshold(np.median(x.var().values)).fit_transform(x)
我们从模块 neighbors导入 KNeighborsClassfier缩写为KNN,导入随机森林缩写为RFC,然后导入交叉验证模块和numpy.其中未过滤的数据是x和y,使用中位数过滤后的数据是x_fsvar,都是我们之前已经运行过的代码。
2.KNN方差过滤前
#=====[TIME WARNING:35mins +]=====#
cross_val_score(KNN(),x,y,cv=5).mean () # 0.9658569700264943
# python中的魔法命令,可以直接使用%% timeit来计算运行这个ce11中的代码所需的时间
#为了计算所需的时间,需要将这个ce11中的代码运行很多次(通常是7次)后求平均值,因此运行%%timeit的时间会远远超过ce11中的代码单独运行的时间
#=====[TIME WARNING:4 hours]=====#
‰% timeit
cross_val_score(KNN(),x,y,cv=5).mean () # 33min 58s ± 43.9 s per loop(mean ± std.dev.of 7 runs,I loop each)
3.KNN方差过滤后
#=====[TIME WARNING:20mins +]=====#
cross_val_score(KNN(),x_fsvar,y,cv=5).mean () # 0.9659997478150573
#=====[TIME WARNING:2 hours]=====#
‰% timeit
cross_val_score(KNN(),x_fsvar,y,cv=5).mean () # 20min ± 4 min 55s per loop(mean ± std.dev.of 7 runs,I loop each)
可以看出,对于KNN,过滤后的效果十分明显:准确率稍有提升,但平均运行时间减少了10分钟,特征选择过后算法的效率上升了1/3.那随机森林又如何呢?
4.随机森林方差过滤前
# 随机森林-方差过滤前
cross_val_score(RFC(n_estimators=10,random_state=0),x,y,cv=5).mean () # 0.9380003861799541
‰% timeit
# 查看一下模型运行的时间
cross_val_score(RFC(n_estimators=10,random_state=0),x,y,cv=5).mean () # 11.5s ± 305ms per loop(mean ± std.dev.of 7 runs,I loop each)
5.随机森林方差过滤后
# 随机森林-方差过滤后
cross_val_score(RFC(n_estimators=10,random_state=0),x_fsvar,y,cv=5).mean () # 0.9388098166696807
‰% timeit
# 查看一下模型运行的时间
cross_val_score(RFC(n_estimators=10,random_state=0),x_fsvar,y,cv=5).mean () # 11.1s ± 72ms per loop(mean ± std.dev.of 7 runs,I loop each)
首先可以观察到的是,随机森林的准确率略逊于KNN,但运行时间却连KNN的1%都不到,只需要十几秒钟。其次,方差过滤后,随机森林的准确率也微弱上升,但运行时间却几乎是没什么变化,依然是11秒钟。
为什么随机森林运行如此之快? 为什么方差过滤对随机森林没很大的有影响?这是由于两种算法的原理中涉及到的计算量不同。最近邻算法KNN,单棵决策树,支持向量机SVM,神经网络,回归算法,都需要遍历特征或升维来进行运算,所以他们本身的运算量就很大,需要的时间就很长,因此方差过滤这样的特征选择对他们来说就尤为重要。但对于不需要历特征的算法,比如随机森林,它随初选取特征进行分枝,本身运箅就非常快速,因此特征选择对它来说效果平平。这其实很容易理解,无论过滤法如何降低特征的数量,随机森林也只会选取固定数量的特征来建模;而最近邻算法就不同了,特征越少,距离计算的维度就越少,模型明显会随着特征的减少变得轻量。因此,过滤法的主要对象是:需要遍历特征或升维的算法们,而过滤法的主要目的是:在维持算法表现的前提下,帮助算法们降低计算成本。
| 思考:过滤法对随机森林无效,却对树模型有效? |
|---|
| 从算法原理上来说,传统决策树需要遍历所有特征,计算不纯度后进行分枝,而随机森林却是随机选择特征进行计算和分枝,因此随机森林的运算更快,过滤法对随机森林无用,对决策树却有用。 在 sklearn中,决策树和随机森林都是随机选择特征进行分枝(可以参考sklearn(2)—— 决策树,参数 random_state),但决策树在建模过程中随机抽取的特征数目却迒远超过随机森林当中毎棵树随机抽取的特征数目(比如说对于这个780维的数据,随机森林每棵树只会抽取10-20个特征,而决策树可能会抽取300-400个特征)),因此,过滤法对随机森林无用,却对决策树有用。 也因此,在 sklearn中,随机森林中的毎棵树都比单独的一棵决策树简单得多,高维数据下的随机森林的计算比决策树快很多。 |
对受影响的算法来说,我们可以将方差过滤的影响总结如下:
| 阈值很小 被过滤掉得特征比较少 | 阈值比较大 被过滤掉的特征有很多 | |
|---|---|---|
| 模型表现 | 不会有太大影响 | 可能变更好,代表被滤掉的特征大部分是噪音 也可能变糟糕,代表被滤掉的特征中很多都是有效特征 |
| 运行时间 | 可能降低模型的运行时间 基于方差很小的特征有多少 当方差很小的特征不多时 对模型没有太大影响 | 一定能够降低模型的运行时间 算法在遍历特征时的计算越复杂,运行时间下降得越多 |
我们的对比当中,我们使用的方差阈值是特征方差的中位数,因此属于阈值比较大,过滤掉的特征比较多的情况。我们可以观察到,无论是KNN还是随机森林,在过滤掉一半特征之后,模型的精确度都上升了。这说明被我们过滤掉的特征在当前随机模式( random_state=0)下大部分是噪音。那我们就可以保留这个去掉了一半特征的数据,来为之后的特征选择做准备。当然,如果过滤之后模型的效果反而变差了,我们就可以认为,被我们过滤掉的特征中有很多都有有效特征,那我们就放弃过滤,使用其他手段来进行特征选择。
| 思考:虽然随机森林算得快,但KNN的效果比随机森林更好? |
|---|
| 调整一下 n_estimators试试看吧O(∩_∩)O,随机森林是个非常强大的模型哦 |
3.1.1.3选取超参数 threshold
我们怎样知道,方差过滤掉的到底时噪音还是有效特征呢?过滤后模型到底会变好还是会变坏呢? 答案是:每个数据集不一样,只能自己去尝试。这里的方差阈值,其实相当于是一个超参数,要选定最优的超参数,我们可以画学习曲线,找模型效果最好的点。但现实中,我们往往不会这样去做,因为这样会耗费大量的时间。我们只会使用阈值为0或者阈值很小的方差过滤,来为我们优先消除一些明显用不到的特征,然后我们会选择更优的特征选择方法继续削减特征数量.
3.1.2 相关性过滤
方差挑选完毕之后,我们就要考虑下一个问题:相关性了。我们希望选出与标签相关且有意义的特征,因为这样的特征能够为我们提供大量信息。如果特征与模型天关,那只会白白浪费我们的计算内存,可能还会给模型带来噪音。在 sklearn当中,我们有三种常用的方法来评判特征与标签之间的相关性:卡方,F检验,互信息。
3.1.2.1 卡方过滤
卡方过滤是专门针对离散型标签(即分类问题)的相关性过滤。卡方检验类 feature_selection.chi2计算毎个非负特征和标签之间的卡方统计量,并依照卡方统讨量由高到低为特征排名。再结合 feature_selection.SelectKBest这个可以输入"评分标准“来选出前K个分数最高的特征的类,我们可以借此除去最可能独立于标签,与我们分类目的无关的特征。
另外,如果卡方检验检测到某个特征中所有的值都相同,会提示我们使用方差先进行方差过滤。并且,刚才我们已经验证过,当我们使用方差过滤筛选掉一半的特征后,模型的表现时提升的。因此在这里,我们使用 threshold=中位数时完成的方差过滤的数据来做卡方检验(如果方差过滤后模型的表现反而降低了,那我们就不会使用方差过滤后的数据,而是使用原数据):
from sklearn.ensemble import RandomForestClassifier as RFC
from sklearn.model_selection import cross_val_score
from sklearn.feature_selection import SelectKBest
from sklearn.feature_selection import chi2
#假设在这里我知道我需要300个特征
x_fschi = SelectKBest(chi2,k=300).fit_transform(X_fsvar,y)
x_fschi.shape # (42000, 300)
验证一下模型的效果如何:
cross_val_score(RFC(n_estimators=10,random_state=0),x_fschi,y,cv=5).mean() # 0.9333098667649198
可以看岀,模型的效果降低了,这说明我们在设定k=300的时候删除了与模型相关且有效的特征,我们的K值设置得太小,要么我们需要调整K值,要么我们必须放弃相关性过滤。当然,如果模型的表现提升,则说明我们的相关性过滤是有效的,是过滤掉了模型的噪音的,这时候我们就保留相关性过滤的结果。
3.1.2.2 选取超参数K
那如何设置一个最佳的K值呢?在现实数据中,数据量很大,模型很复杂的时候,我们也许不能先去跑一遍模型看看效果,而是希望最开始就能够选择一个最优的超参数k。那第一个方法,就是我们之前提过的学习曲线:
#=====[TIME WARNING:5mins]=====#
%matplotlib inline
import matplotlib.pyplot as plt
score= []
for i in range(390,200,-10):
x_fschi = SelectKBest(chi2,k=i).fit_transform(X_fsvar,y)
once = cross_val_score(RFC(n_estimators=10,random_state=0),x_fschi,y,cv=5).mean()
score.append(once)
plt.plot(range(390,200,-10),score)
plt.show() # 如下图

通过这条曲线,我们可以观察到,随着K值的不断增加,模型的表现不断上升,这说明,K越大越好,数据中所有的特征都是与特征相关的。但是运行这条曲线的时间同样也是非常地长,接下来我们就来介绍一种更好的选择k的方法:看p值选择k。
卡方检验的本质是推测两组数据之间的差异,其检验的原假设是"两组数据是相互独立的",卡方检验返回卡方值和p值两个统计量,萁中卡方值很难界定有效的范围,而p值我们一般使用0.01或0.05作为显著性水平。即p值判的边界,具体我们可以这样来看。
| P值 | <=0.05或001 | >0.05或0.01 |
|---|---|---|
| 数据差异 | 差异不是自然形成的 | 这些差异是很自然的样本误差 |
| 相关性 | 两组数据是相关的 | 两组数据是相互独立的 |
| 原假设 | 拒绝原假设,接受备择假设 | 接受原假设 |
从特征工程的角度,我们希望选取卡方值很大,p值小于0.05的特征,即和标签是相关联的特征。而调用SelectKBest之前,我们可以直接从chi2实例化后的模型中获得各个特征所对应的卡方值和P值。
chivalue, pvalues_chi= chi2(X_fsvar,y)
chivalue # 卡方值
'''
array([ 945664.84392643, 1244766.05139164, 1554872.30384525,
1834161.78305343, 1903618.94085294, 1845226.62427198,
1602117.23307537, 708535.17489837, 974050.20513718,
1188092.19961931, 1319151.43467036, 1397847.8836796 ,
1433554.26798015, 1429043.15373433, 1332663.17213405,
1101423.25372261, 809989.56940485, 519266.71772284,
285681.88297156, 191589.23696468, 902883.1255264 ,
....])
'''
pvalues_chi # P值
'''
所有的值都为0,代表所有的P值都<0.05 (即两组数据都于标签相关)
array([0., 0., 0., 0., 0., 0., 0., 0., 0., 0., 0., 0., 0., 0., 0., 0., 0.,
0., 0., 0., 0., 0., 0., 0., 0., 0., 0., 0., 0., 0., 0., 0., 0., 0.,
0., 0., 0., 0., 0., 0., 0., 0., 0., 0., 0., 0., 0., 0., 0., 0., 0.,
....])
'''
#k取多少?我们想要消除所有p值大于设定值,比如0.05或0.01的特征
k= chivalue.shape[0] -(pvalues_chi >0.05).sum()
k # 392
# x_fschi= SelectKBest(chi2,k=填写具体的k).fit_transform(x_fsvar,y)
#cross_val_score(RFC(n_estimators=10,random_state=0),x_fschi,y,cv=5). mean()
chivalue.shape # (392,)
chivalue.shape[0] # 392
pvalues_chi >0.05 # True =1 ,False = 0
'''
array([False, False, False, False, False, False, False, False, False,
False, False, False, False, False, False, False, False, False,
...])
'''
# 获得P值大于0.05 个数的和,即True的个数
(pvalues_chi >0.05).sum() # 0
可以观察到,所有特征的p值都是0,这说明对于 digit_recognizor这个数据集来说,方差验证已经把所有和标签无关的特征都剔除了,或者这个数据集本身就不含与标签无关的特征。在这种情况下,舍弃任何一个特征,都会舍弃对模型有用的信息,而使模型表现下降,因此在我们对计算速度感到满意时,我们不需要使用相关性过滤来过滤我们的数据。如果我们认为运算速度太缓慢,那我们可以酌情删除一些特征,但前提是,我们必须牺牲模型的表现。接下来,我们试试看用其他的相关性过滤方法验证一下我们在这个数据集上的结论。
3.1.2.3 F检验
F检验,又称ANOA,方差齐性检验,是用来捕捉毎个特征与标签之间的线性关系的过滤方法。F检验既可以做回归也可以做分类,因此包含 feature_selection. f_classif(F检验分类)和 feature_selection. f_regression(F检验回归)两个类。其中F检验分类用于标签是离散型变量的数据,而F检验回归用于标签是连续型变量的数据。
和卡方检验一样,这两个类需要和类 SelectKBest连用,并且我们也可以直接通过输出的统计量来判断我们到底要设置一个什么样的K。需要注意的是,F检验在数据服从正态分布时效果会非常稳定,因此如果使F检验过滤,我们会先将数据转换成服从正态分布的方式。
F检验的本质是寻找两组数据之间的线性关系,其原假设是"数据不存在显著的线性关系″。它返回F值和ρ值两个统计量。和卡方过滤一样,我们希望选取p值小于0.05或0.01的特征,这些特征与标签时显著线性相关的, 而p值大于0.05或0.01的特征则被我们认为是和标签没有显著线性关系的特征,应该被删除。以F检验的分类为例,我们继续在数字数据集上来进行特征选择:
from sklearn.feature_selection import f_classif
F, pvalues_f = f_classif(X_fsvar,y)
F # F 值
'''
array([ 618.65383492, 846.18897012, 1115.40617051, 1362.3677305 ,
1452.03355369, 1381.09095571, 1138.26505266, 464.29616121,
660.00977785, 849.66393412, 1004.7450309 , 1124.76177588,
1200.99190762, 1209.29489877, 1110.4944286 , 854.66183292,
...])
'''
pvalues_f # P值(即是存在不是0的值,也是非常小的)
'''
array([0.00000000e+000, 0.00000000e+000, 0.00000000e+000, 0.00000000e+000,
0.00000000e+000, 0.00000000e+000, 0.00000000e+000, 0.00000000e+000,
0.00000000e+000, 0.00000000e+000, 0.00000000e+000, 0.00000000e+000,
0.00000000e+000, 0.00000000e+000, 0.00000000e+000, 0.00000000e+000,
....])
'''
k= F.shape[0] -(pvalues_f >0.05).sum()
k # 392
# x_fsF= SelectKBest(f_classif,k=填写具体的k).fit_transform(x_fsvar,y)
#cross_val_score(RFC(n_estimators=10,random_state=0),x_fsF,cv=5). mean()
得到的结论和我们用卡方过滤得到的结论一模一样:没有任何特征的p值大于0.01,所有的特征都是和标签相关的,因此我们不需要相关性过滤。
3.1.2.4 互信息法
互信息法是用来捕捉每个特征与标签之间的任意关系(包括线性和非线性关系)的过滤方法。和F检验相似,它既可以做回归也可以做分类,并且包含两个类 feature_selection.mutual_info_classi(互信息分类)和feature_selection.mutual_info_regression(互信息回归)。这两个类的用法和参数都和F检验一模一样,不过互信息法比F检验更加强大,F检验只能够找出线性关系,而互信息法可以找出任意关系。
互信息法不返回p值或F值类似的统计量。它返回"每个特征与目标之间的互信息量的估计",这个估计量在[0,1]之间取值,为0则表示两个变量独立,为1则表示两个变量完全相关。以互信息分类为例的代码如下:
from sklearn. feature_selection import mutual_info_classif as MIC
result = MIC(X_fsvar,y)
k = result.shape [0]-sum(result<= 0)
# x_fsmic= SelectKBest(MIC,k=填写具体的k).fit_transform( X_fsvar,y)
#cross_val_score(RFC(n_estimators=10,random_state=0),x_fsmic, y, cv=5).mean()
result>0
'''
array([ True, True, True, True, True, True, True, True, True,
True, True, True, True, True, True, True, True, True,
True, True, True, True, True, True, True, True, True,
...])
'''
(result>0).sum() # 392
(result==0).sum() # 0
所有特征的互信息量估计都大于0,因此所有特征都与标签相关
当然了,无论是F检验还是互信息法,大家也都可以使用学习曲线,只是使用统计量的方法会更加髙效。当统计量判断已经没有特征可以删除时,无论用学习曲线如何跑,删除特征都只会降低模型的表现。当然了,如果数据量太庞大,模型太复杂,我们还是可以牺牲模型表现来提升模型速度,一切都看大家的具体需求.
3.1.3 过滤法总结
到这里我们学习了常用的基于过滤法的特征选择,包括方差过滤,基于卡方,F检验和互信息的相关性过滤,讲解了各个过滤的原理和面临的问题,以及怎样调这些过滤类的超参数。通常来说,我会建议,先使用方差过滤,然后使用互信息法来捕捉相关性,不过了解各种各样的过滤方式也是必要的。所有信息被总结在下表,大家自取:
| 类 | 说明 | 超参数的选择 |
|---|---|---|
| VarianceThreshold | 方差过滤,可输入方差阈值,返回方差大于阈值的新特征矩阵 | 看具体数据究竟是含有更多噪声还是更多有效特征一般就使用0或1来筛选也可以画学习曲线或取中位数跑模型来帮助确认 |
| SelectKBest | 用来选取K个统计量结果最佳的特征,生成符合统计量要求的新特征矩阵 | 看配合使用的统计量 |
| chi2 | 卡方检验,专用于分类算法,捕捉相关性 | 追求p小于显著性水平的特征 |
| f_classif | F检验分类,只能捕捉线性相关性;要求数据服从正态分布 | 追求p小于显著性水平的特征 |
| f_regression | F检验回归,只能捕捉线性相关性;要求数据服从正态分布 | 追求p小于显著性水平的特征 |
| mutual_info_classif | 互信息分类,可以捕捉任何相关性;不能用于稀疏矩阵 | 追求互信息估计大于0的特征 |
| mutual_info_regression | 互信息回归,可以捕捉任何相关性;不能用于稀疏矩阵 | 追求互信息估计大于0的特征 |
3.2 Embedded嵌入法
嵌入法是一种让算法自己决定使用哪些特征的方法,即特征选择和算法训练同时进行,类似于Filter,只不过系数是通过训练得来的。嵌入法是一种让算法自己决定使用哪些特征的方法,即特征选择和算法训练同时进行。在使用嵌入法时,我们先使用某些机器学习的算法和模型进行训练,得到各个特征的权值系数,根据权值系数从大到小选择特征。这些权值系数往往代表了特征对于模型的某种贡献或某种重要性,比如决策树和树的集成模型中的 feature_importances_属性,可以列出各个特征对树的建立的贡献,我们就可以基于这种贡献的评估,找出对模型建立最有用的特征。因此相比于过滤法,嵌入法的结果会更加精确到模型的效用本身,对于提高模型效力有更好的效果。并且,由于考虑特征对模型的贡献,因此无关的特征(需要相关性过滤的特征)和无区分度的特征(需要方差过滤的特征)都会因为缺乏对模型的贡献而被删除掉,可谓是过滤法的进化版.
然而,嵌入法也不是没有缺点。
过滤法中使用的统计量可以使用统计知识和常识来查找范围(如p值应当低于显著性水平0.05),而嵌入法中使用的权值系数却没有这样的范围可找——我们可以说,权值系数为0的特征对模型丝毫没有作用,但当大量特征都对模型有贡献且贡献不一时,我们就很难去界定一个有效的临界值。这种情况下,模型权值系数就是我们的超参数,我们或许需要学习曲线,或者根据模型本身的某些性质去判断这个超参数的最佳值究竟应该是多少。在我们之后的学习当中,每次讲解新的算法,我都会为大家提到这个算法中的特征工程是如何处理,包括具体到每个算法的嵌入法如何使用。在这堂课中,我们会为大家讲解随机森林和决策树模型的嵌入法。
另外,嵌入法引入了算法来挑选特征,因此其计算速度也会和应用的算法有很大的关系。如果采用计算量很大,计算缓慢的算法,嵌入法本身也会非常耗时耗力。并且,在选择完毕之后,我们还是需要自己来评估模型.
- feature_selection.SelectFromModel
class sklearn.feature_selection.SelectFromModel (estimator, threshold=None, prefit=False, norm_order=1,max_features=None)
SelectFromModel是一个元变换器,可以与任何在拟合后具有coef_, feature_importances_属性或参数中可选惩罚项的评估器一起使用(比如随机森林和树模型就具有属性 feature_importances_,逻辑回归就带有l和2惩罚项,线性支持向量机也支持12惩罚项)。
对于有 feature_importances的模型来说,若重更性低于提供的阈值参数,则认为这些特征不重要并被移除。feature_ importances_的取值范围是[0,1],如果设置阈值很小,比如0.001,就可以刪除那些对标签预测完全没贡献的特征。如果设置得很接近1,可能只有一两个特征能够被留下。
| 选读:使用惩罚项的横型的嵌入法 |
|---|
| 而对于使用惩罚项的模型来说,正则化惩罚项越大,特征在模型中对应的系数就会越小。当正则化惩罚项大到一定的程度的时候,部分特征系数会变成0,当正则化惩罚项继续增大到一定程度时,所有的特征系数都会趋于0.但是我们会发现一部分特征系数会更容易先变成0,这部分系数就是可以筛掉的。也就是说,我们选择特征系数较大的特征。另外,支持向量机和逻辑回归使用参数C来控制返回的特征矩阵的稀疏性,参数C越小,返回的特征越少。 Lasso回归,用 alpha参数来控制返回的特征矩阵,apha的值越大,返回的特征越少, |
| 参数 | 说明 |
|---|---|
| estimator | 使用的模型评估器,只要是带 feature_ importances或者coef属性,或带有和2惩罚项的模型都可以使用 |
| threshold | 特征重要性的阈值,重要性低于这个阈值的特征都将被刪除 |
| prefit | 默认Fase,判断是否将实例化后的模型直接传递给构造函数。如果为Tnue,则必须直接调用ft和 transfom,不能使用 fit transform.并且 Select Model不能与cross val score, GridsearchCV和克隆估计器的类似实用程序一起使用。 |
| norm_order | k可输入非零整数,正无穷,负无穷,默认值为1 在评估器的coef_属性高于一维的情况下,用于过滤低于阈值的系数的向量的范数的阶数 |
| max_features | 在阈值设定下,要选择的最大特征数。要禁用阈值并仅根据 max_features选择,请设置threshold =-np.inf |
我们重点要考是前两个参数。在这里,我们使用随机森林为例,则需要学习曲线来帮助我们寻找最佳特征值。
from sklearn.feature_selection import SelectFromModel
from sklearn.ensemble import RandomForestClassifier as RFC
RFC_ = RFC(n_estimators =10,random_state=0) # 随机森林实例化(实例化后才可以运行)
# threshold=0.005 重要性的特征小于0.005都会被砍掉
# X_embedded = SelectFromModel(RFC_,threshold=0.005) 表示SelectFromModel实例化
X_embedded = SelectFromModel(RFC_,threshold=0.005).fit_transform(X,y)
#在这里我只想取出来有限的特征。0.005这个阈值对于有780个特征的数据来说,是非常高的阈值,因为平均每个特征只能够分到大约0.001的feature_importances_
X_embedded.shape # (42000, 47)
#模型的维度明显被降低了
#同样的,我们也可以画学习曲线来找最佳阈值
#======【TIME WARNING:10 mins】======#
import numpy as np
import matplotlib.pyplot as plt
RFC_.fit(X,y).feature_importances_ # 查看RFC_特征的重要性
# 在0-(RFC_.fit(X,y).feature_importances_).max()【最大的特征重要性】,取出20个
threshold = np.linspace(0,(RFC_.fit(X,y).feature_importances_).max(),20)
score = []
for i in threshold:
X_embedded = SelectFromModel(RFC_,threshold=i).fit_transform(X,y)
once = cross_val_score(RFC_,X_embedded,y,cv=5).mean()
score.append(once)
plt.plot(threshold,score)
plt.show() #如下图
(RFC_.fit(X,y).feature_importances_).max() # 0.01276360214820271
threshold = np.linspace(0,(RFC_.fit(X,y).feature_importances_).max(),20)
threshold # 0到最大值(0.01276360214820271)之间取20个
'''
array([0. , 0.00067177, 0.00134354, 0.00201531, 0.00268707,
0.00335884, 0.00403061, 0.00470238, 0.00537415, 0.00604592,
0.00671769, 0.00738945, 0.00806122, 0.00873299, 0.00940476,
0.01007653, 0.0107483 , 0.01142007, 0.01209183, 0.0127636 ])
'''

图像上来看,随着阈值越来越髙,模型的效果逐渐变差,被删除的特征越来越多,信息损失也逐渐变大。但是在0.00134之前,模型的效果都可以维持在0.93以上,因此我们可以从中挑选一个数值来验证一下模型的效果。
X_embedded = SelectFromModel(RFC_,threshold=0.00067).fit_transform(X,y)
X_embedded.shape # (42000, 324)
cross_val_score(RFC_,X_embedded,y,cv=5).mean() # 0.939905083368037
可以看出,特征个数瞬间缩小到324多,这比我们在方差过滤的时候选择中位数过滤出来的结果392列要小,并且交叉验证分数0.9399高于方差过滤后的结果0.9388,这是由于嵌入法比方差过滤更具体到模型的表现的缘故,换一个算法,使用同样的阈值,效果可能就没有这么好了。
和其他调参一样,我们可以在第一条学习曲线后选定一个范围,使用细化的学习曲线来找到最佳值:
#======【TIME WARNING:10 mins】======#
score2 = []
for i in np.linspace(0,0.00134,20):
X_embedded = SelectFromModel(RFC_,threshold=i).fit_transform(X,y)
once = cross_val_score(RFC_,X_embedded,y,cv=5).mean()
score2.append(once)
plt.figure(figsize=[20,5])
plt.plot(np.linspace(0,0.00134,20),score2)
plt.xticks(np.linspace(0,0.00134,20)) #设置X轴方法(刻度、标签)
plt.show() #如下图

figure语法说明
figure(num=None, figsize=None, dpi=None, facecolor=None,
edgecolor=None, frameon=True)
num:图像编号或名称,数字为编号 ,字符串为名称
figsize:指定figure的宽和高,单位为英寸;
dpi:参数指定绘图对象的分辨率,即每英寸多少个像素,缺省值为80 ;
1英寸等于2.5cm,A4纸是 21*30cm的纸张 ;
facecolor:背景颜色;
edgecolor:边框颜色;
frameon:是否显示边框;
查看结果,果然0.00067并不是最高点,真正的最高点0.000564已经将模型效果提升到了94%以上。我们使用0.000564来跑一跑我们的SelectFromModel
X_embedded = SelectFromModel(RFC_,threshold=0.000564).fit_transform(X,y)
X_embedded.shape # (42000, 340)
cross_val_score(RFC_,X_embedded,y,cv=5).mean() # 0.9408335415056387
#=====【TIME WARNING:2 min】=====#
#我们可能已经找到了现有模型下的最佳结果,如果我们调整一下随机森林的参数呢?
cross_val_score(RFC(n_estimators=100,random_state=0),X_embedded,y,cv=5).mean() # 0.9639525817795566
得出的特征数目依然小于方差筛选,并且模型的表现也比没有筛选之前更高:已经完全可以和计算一次半小时的KNN相匹敌(KNN的准确率是96.58%),接下来再对随机森林进行调参,准确率应该还可以再升高不少。可见在嵌入法下,我们很容易就能够实现特征选择的目标:减少计算量,提升模型表现。因此,比起要思考很多统计量的过滤法来说,镢入法可能是更有效的种方法。然而,过滤法的计算远远比嵌入法要快,所以大型数据中,我们还是会优先考虑过滤法,或者下面这种结合了过滤和嵌入法的方法;包装法 Wrapper。
3.3 Wrapper包装法
包装法也是一个特征选择和算法训练同时进行的方法,与嵌入法十分相似,它也是依赖于算法自身的选择,比如coef_属性或feature_importances_属性来完成特征选择。但不同的是,我们往往使用一个目标函数作为黑盒来帮助我们选取特征,而不是自己输入某个评估指标或统计量的阈值。包装法在初始特征集上训练评估器,并且通过coef_属性或通过feature_importances_属性获得每个特征的重要性。然后,从当前的一组特征中修剪最不重要的特征。在修剪的集合上递归地重复该过程,直到最终到达所需数量的要选择的特征。区别于过滤法和嵌入法的一次训练解决所有问题(嵌入法的每次都使用全部特征来进行训练和建模),包装法要使用特征子集进行多次训练,因此它所需要的计算成本是最高的。(包装法需要的计算成本位于嵌入法和过滤法中间)
注意,在这个图中的算法",指的不是我们最终用来导入数据的分类或回归算法(即不是随机森林),而是专业的数据挖掘算法,即我们的目标函数。这些数据挖掘算法的核心功能就是选取最佳特征子集。
最典型的目标函数是递归特征消除法( Recursive feature elimination,简写为RFE)。它是一种贪婪的优化算法旨在找到性能最佳的特征子集。它反复创建模型,并在毎次迭代时保留最佳特征或剔除最差特征,下一次迭代时它会使用上一次建模中没有被选中的特征来构建下一个模型,直到所有特征都耗尽为止。然后,它根据自己保留或剔除特征的顺序来对特征进行排名,最终选岀—个最佳子集。包装法的效果是所有特征选择方法中最利于提升模型表现的,它可以使用很少的特征达到很优秀的效果。除此之外,在特征数目相同时,包装法和嵌入法的效果能够匹敌,不过它比嵌入法算得更快,虽然它的计算量也十分庞大,不适用于太大型的数据。相比之下,包装法是最髙效的特征选择方法。
- feature_selection.RFE
class sklearn.feature_selection.RFE (estimator, n_features_to_select=None, step=1, verbose=0)
参数estimator是需要填写的实例化后的评估器,n_features_to_select是想要选择的特征个数,step表示每次迭代中希望移除的特征个数。除此之外,RFE类有两个很重要的属性,.support_:返回所有的特征的是否最后被选中的布尔矩阵,以及 .ranking_返回特征的按数次迭代中综合重要性的排名。类feature_selection.RFECV会在交叉验证循环中执行RFE以找到最佳数量的特征,增加参数cv,其他用法都和RFE一模一样。
from sklearn.feature_selection import RFE
RFC_ = RFC(n_estimators =10,random_state=0) # 实例化模型
# 没迭代一次删掉50个特征
selector = RFE(RFC_, n_features_to_select=340, step=50).fit(X, y) # 训练模型
# support_ 返回所有的特征的是否最后被选中的布尔矩阵
# support_.sum() 返回特征总和
selector.support_.sum() # 340
# 返回特征的按数次迭代中综合重要性的排名
# 重要性相同排名相同,越重要排名越前(数字1 代表排名第一)
selector.ranking_
'''
array([10, 9, 8, 7, 6, 6, 6, 6, 6, 6, 6, 6, 6, 6, 6, 6, 6,
6, 6, 6, 6, 6, 6, 6, 6, 6, 6, 6, 6, 6, 7, 7, 6, 6,
5, 6, 5, 6, 6, 6, 6, 6, 6, 6, 6, 6, 6, 7, 6, 7, 7,
7, 7, 7, 7, 7, 7, 7, 7, 7, 7, 7, 7, 7, 6, 6, 5, 4,
4, 5, 3, 4, 4, 4, 5, 4, 5, 7, 6, 7, 7, 7, 8, 8, 8,
...])
'''
X_wrapper = selector.transform(X)
cross_val_score(RFC_,X_wrapper,y,cv=5).mean() # 0.9389522459432109
我们也可以对包装法画学习曲线:
#======【TIME WARNING: 15 mins】======#
score = []
for i in range(1,751,50):
X_wrapper = RFE(RFC_,n_features_to_select=i, step=50).fit_transform(X,y)
once = cross_val_score(RFC_,X_wrapper,y,cv=5).mean()
score.append(once)
plt.figure(figsize=[20,5])
plt.plot(range(1,751,50),score)
plt.xticks(range(1,751,50))
plt.show() # 如下图

明显能够看出,在包装法下面,应用50个特征时,模型的表现就已经达到了90%以上,比嵌入法和过滤法都高效很多。我们可以放大图像,寻找模型变得非常稳定的点来画进一步的学习曲线(就像我们在嵌入法中做的那样)。如果我们此时追求的是最大化降低模型的运行时间,我们甚至可以直接选择50作为特征的数目,这是一个在缩减了94%的特征的基础上,还能保证模型表现在90%以上的特征组合,不可谓不高效。
同时,我们提到过,在特征数目相同时,包装法能够在效果上匹敌嵌入法。试试看如果我们也使用340作为特征数目,运行一下,可以感受一下包装法和嵌入法哪一个的速度更加快。由于包装法效果和嵌入法相差不多,在更小的范围内使用学习曲线,我们也可以将包装法的效果调得很好,大家可以去试试看。
X_wrapper = RFE(RFC_,n_features_to_select=340, step=50).fit_transform(X,y)
once = cross_val_score(RFC_,X_wrapper,y,cv=5).mean()
#======【TIME WARNING: 20 mins+】======#
score = []
for i in range(1,340,20):
X_wrapper = RFE(RFC_,n_features_to_select=i, step=20).fit_transform(X,y)
once = cross_val_score(RFC_,X_wrapper,y,cv=5).mean()
score.append(once)
plt.figure(figsize=[20,5])
plt.plot(range(1,340,20),score)
plt.xticks(range(1,340,20))
plt.show()#如下图

根据再次测试的结果,可以再次测试如下代码:
#======【TIME WARNING: 20 mins+】======#
score = []
for i in range(1,340,20):
X_wrapper = RFE(RFC_,n_features_to_select=i, step=20).fit_transform(X,y)
once = cross_val_score(RFC_,X_wrapper,y,cv=5).mean()
score.append(once)
plt.figure(figsize=[20,5])
plt.plot(range(1,340,20),score)
plt.xticks(range(1,340,20))
plt.show()#如下图

3.4 特征选择总结
至此,我们讲完了降维之外的所有特征选择的方法。这些方法的代码都不难,但是每种方法的原理都不同,并且都涉及到不同调整方法的超参数。经验来说,过滤法更快速,但更粗糙。包装法和嵌入法更精确,比较适合具体到算法去调整,但计算量比较大,运行时间长 。当数据量很大的时候,优先使用方差过滤和互信息法调整,再上其他特征选择方法。使用逻辑回归时,优先使用嵌入法。使用支持向量机时,优先使用包装法。迷茫的时候,从过滤法走起,看具体数据具体分析。
其实特征选择只是特征工程中的第一步。真正的高手,往往使用特征创造或特征提取来寻找高级特征。在Kaggle之类的算法竞赛中,很多高分团队都是在高级特征上做文章,而这是比调参和特征选择更难的,提升算法表现的高深方法。特征工程非常深奥,虽然我们日常可能用到不多,但其实它非常美妙。若大家感兴趣,也可以自己去网上搜一搜,多读多看多试多想,技术逐渐会成为你的囊中之物。