C++基础入门
1 C++初识
1.1 第一个C++程序
编写一个C++程序总共分为4个步骤
- 创建项目
- 创建文件
- 编写代码
- 运行程序
1.1.1 创建项目
Visual Studio是我们用来编写C++程序的主要工具,我们先将它打开
![[外链图片转存失败,源站可能有防盗链机制,建议将图片保存下来直接上传(img-YTs19tl1-1647920948256)(assets/1541383178746.png)]](https://img-blog.csdnimg.cn/8f418655a2b94ed8ae68455a62de5b50.png?x-oss-process=image/watermark,type_d3F5LXplbmhlaQ,shadow_50,text_Q1NETiBAQEJhbmdCYW5n,size_20,color_FFFFFF,t_70,g_se,x_16)

1.1.2 创建文件
右键源文件,选择添加->新建项
![[外链图片转存失败,源站可能有防盗链机制,建议将图片保存下来直接上传(img-54NRKIpC-1647920948259)(assets/1541383817248.png)]](https://img-blog.csdnimg.cn/c3cb0a6aa50d43fbbf89ec65c8a3765f.png?x-oss-process=image/watermark,type_d3F5LXplbmhlaQ,shadow_50,text_Q1NETiBAQEJhbmdCYW5n,size_20,color_FFFFFF,t_70,g_se,x_16)
给C++文件起个名称,然后点击添加即可。
![[外链图片转存失败,源站可能有防盗链机制,建议将图片保存下来直接上传(img-lo1gSkMv-1647920948260)(assets/1541384140042.png)]](https://img-blog.csdnimg.cn/bf844ef00d2542dbb8f02b461ad57028.png?x-oss-process=image/watermark,type_d3F5LXplbmhlaQ,shadow_50,text_Q1NETiBAQEJhbmdCYW5n,size_20,color_FFFFFF,t_70,g_se,x_16)
1.1.3 编写代码
#include<iostream>
using namespace std;
int main() {
cout << "Hello world" << endl;
system("pause");
return 0;
}
1.1.4 运行程序

1.2 注释
作用:在代码中加一些说明和解释,方便自己或其他程序员程序员阅读代码
两种格式
- 单行注释:
// 描述信息- 通常放在一行代码的上方,或者一条语句的末尾,对该行代码说明
- 多行注释:
/* 描述信息 */- 通常放在一段代码的上方,对该段代码做整体说明
提示:编译器在编译代码时,会忽略注释的内容
1.3 变量
作用:给一段指定的内存空间起名,方便操作这段内存
语法:数据类型 变量名 = 初始值;
示例:
#include<iostream>
using namespace std;
int main() {
//变量的定义
//语法:数据类型 变量名 = 初始值
int a = 10;
cout << "a = " << a << endl;
system("pause");
return 0;
}
注意:C++在创建变量时,必须给变量一个初始值,否则会报错
1.4 常量
作用:用于记录程序中不可更改的数据
C++定义常量两种方式
#define 宏常量:
#define 常量名 常量值- 通常在文件上方定义,表示一个常量
const修饰的变量
const 数据类型 常量名 = 常量值- 通常在变量定义前加关键字const,修饰该变量为常量,不可修改
示例:
//1、宏常量
#define day 7
int main() {
cout << "一周里总共有 " << day << " 天" << endl;
//day = 8; //报错,宏常量不可以修改
//2、const修饰变量
const int month = 12;
cout << "一年里总共有 " << month << " 个月份" << endl;
//month = 24; //报错,常量是不可以修改的
system("pause");
return 0;
}
1.5 关键字
**作用:**关键字是C++中预先保留的单词(标识符)
- 在定义变量或者常量时候,不要用关键字
C++关键字如下:
| asm | do | if | return | typedef |
|---|---|---|---|---|
| auto | double | inline | short | typeid |
| bool | dynamic_cast | int | signed | typename |
| break | else | long | sizeof | union |
| case | enum | mutable | static | unsigned |
| catch | explicit | namespace | static_cast | using |
| char | export | new | struct | virtual |
| class | extern | operator | switch | void |
| const | false | private | template | volatile |
| const_cast | float | protected | this | wchar_t |
| continue | for | public | throw | while |
| default | friend | register | true | |
| delete | goto | reinterpret_cast | try |
提示:在给变量或者常量起名称时候,不要用C++得关键字,否则会产生歧义。
1.6 标识符命名规则
作用:C++规定给标识符(变量、常量)命名时,有一套自己的规则
- 标识符不能是关键字
- 标识符只能由字母、数字、下划线组成
- 第一个字符必须为字母或下划线
- 标识符中字母区分大小写
建议:给标识符命名时,争取做到见名知意的效果,方便自己和他人的阅读
2 数据类型
C++规定在创建一个变量或者常量时,必须要指定出相应的数据类型,否则无法给变量分配内存
2.1 整型
作用:整型变量表示的是整数类型的数据
C++中能够表示整型的类型有以下几种方式,区别在于所占内存空间不同:
| 数据类型 | 占用空间 | 取值范围 |
|---|---|---|
| short(短整型) | 2字节 | (-2^15 ~ 2^15-1) |
| int(整型) | 4字节 | (-2^31 ~ 2^31-1) |
| long(长整形) | Windows为4字节,Linux为4字节(32位),8字节(64位) | (-2^31 ~ 2^31-1) |
| long long(长长整形) | 8字节 | (-2^63 ~ 2^63-1) |
2.2 sizeof关键字
**作用:**利用sizeof关键字可以统计数据类型所占内存大小
语法: sizeof( 数据类型 / 变量)
示例:
int main() {
cout << "short 类型所占内存空间为: " << sizeof(short) << endl;
cout << "int 类型所占内存空间为: " << sizeof(int) << endl;
cout << "long 类型所占内存空间为: " << sizeof(long) << endl;
cout << "long long 类型所占内存空间为: " << sizeof(long long) << endl;
system("pause");
return 0;
}
整型结论:short < int <= long <= long long
2.3 实型(浮点型)
作用:用于表示小数
浮点型变量分为两种:
- 单精度float
- 双精度double
两者的区别在于表示的有效数字范围不同。
| 数据类型 | 占用空间 | 有效数字范围 |
|---|---|---|
| float | 4字节 | 7位有效数字 |
| double | 8字节 | 15~16位有效数字 |
示例:
int main() {
float f1 = 3.14f;
double d1 = 3.14;
cout << f1 << endl;
cout << d1<< endl;
cout << "float sizeof = " << sizeof(f1) << endl;
cout << "double sizeof = " << sizeof(d1) << endl;
//科学计数法
float f2 = 3e2; // 3 * 10 ^ 2
cout << "f2 = " << f2 << endl;
float f3 = 3e-2; // 3 * 0.1 ^ 2
cout << "f3 = " << f3 << endl;
system("pause");
return 0;
}
2.4 字符型
作用: 字符型变量用于显示单个字符
语法:char ch = 'a';
注意1:在显示字符型变量时,用单引号将字符括起来,不要用双引号
注意2:单引号内只能有一个字符,不可以是字符串
- C和C++中字符型变量只占用1个字节。
- 字符型变量并不是把字符本身放到内存中存储,而是将对应的ASCII编码放入到存储单元
示例:
int main() {
char ch = 'a';
cout << ch << endl;
cout << sizeof(char) << endl;
//ch = "abcde"; //错误,不可以用双引号
//ch = 'abcde'; //错误,单引号内只能引用一个字符
cout << (int)ch << endl; //查看字符a对应的ASCII码
ch = 97; //可以直接用ASCII给字符型变量赋值
cout << ch << endl;
system("pause");
return 0;
}
ASCII码表格:
| ASCII值 | 控制字符 | ASCII值 | 字符 | ASCII值 | 字符 | ASCII值 | 字符 |
|---|---|---|---|---|---|---|---|
| 0 | NUT | 32 | (space) | 64 | @ | 96 | 、 |
| 1 | SOH | 33 | ! | 65 | A | 97 | a |
| 2 | STX | 34 | " | 66 | B | 98 | b |
| 3 | ETX | 35 | # | 67 | C | 99 | c |
| 4 | EOT | 36 | $ | 68 | D | 100 | d |
| 5 | ENQ | 37 | % | 69 | E | 101 | e |
| 6 | ACK | 38 | & | 70 | F | 102 | f |
| 7 | BEL | 39 | , | 71 | G | 103 | g |
| 8 | BS | 40 | ( | 72 | H | 104 | h |
| 9 | HT | 41 | ) | 73 | I | 105 | i |
| 10 | LF | 42 | * | 74 | J | 106 | j |
| 11 | VT | 43 | + | 75 | K | 107 | k |
| 12 | FF | 44 | , | 76 | L | 108 | l |
| 13 | CR | 45 | - | 77 | M | 109 | m |
| 14 | SO | 46 | . | 78 | N | 110 | n |
| 15 | SI | 47 | / | 79 | O | 111 | o |
| 16 | DLE | 48 | 0 | 80 | P | 112 | p |
| 17 | DCI | 49 | 1 | 81 | Q | 113 | q |
| 18 | DC2 | 50 | 2 | 82 | R | 114 | r |
| 19 | DC3 | 51 | 3 | 83 | S | 115 | s |
| 20 | DC4 | 52 | 4 | 84 | T | 116 | t |
| 21 | NAK | 53 | 5 | 85 | U | 117 | u |
| 22 | SYN | 54 | 6 | 86 | V | 118 | v |
| 23 | TB | 55 | 7 | 87 | W | 119 | w |
| 24 | CAN | 56 | 8 | 88 | X | 120 | x |
| 25 | EM | 57 | 9 | 89 | Y | 121 | y |
| 26 | SUB | 58 | : | 90 | Z | 122 | z |
| 27 | ESC | 59 | ; | 91 | [ | 123 | { |
| 28 | FS | 60 | < | 92 | / | 124 | | |
| 29 | GS | 61 | = | 93 | ] | 125 | } |
| 30 | RS | 62 | > | 94 | ^ | 126 | ` |
| 31 | US | 63 | ? | 95 | _ | 127 | DEL |
ASCII 码大致由以下两部分组成:
- ASCII 非打印控制字符: ASCII 表上的数字 0-31 分配给了控制字符,用于控制像打印机等一些外围设备。
- ASCII 打印字符:数字 32-126 分配给了能在键盘上找到的字符,当查看或打印文档时就会出现。
2.5 转义字符
**作用:**用于表示一些不能显示出来的ASCII字符
现阶段我们常用的转义字符有:\n \\ \t
| 转义字符 | 含义 | ASCII码值(十进制) |
|---|---|---|
| \a | 警报 | 007 |
| \b | 退格(BS) ,将当前位置移到前一列 | 008 |
| \f | 换页(FF),将当前位置移到下页开头 | 012 |
| \n | 换行(LF) ,将当前位置移到下一行开头 | 010 |
| \r | 回车(CR) ,将当前位置移到本行开头 | 013 |
| \t | 水平制表(HT) (跳到下一个TAB位置) | 009 |
| \v | 垂直制表(VT) | 011 |
| \\ | 代表一个反斜线字符"" | 092 |
| ’ | 代表一个单引号(撇号)字符 | 039 |
| " | 代表一个双引号字符 | 034 |
| ? | 代表一个问号 | 063 |
| \0 | 数字0 | 000 |
| \ddd | 8进制转义字符,d范围0~7 | 3位8进制 |
| \xhh | 16进制转义字符,h范围09,af,A~F | 3位16进制 |
示例:
int main() {
cout << "\\" << endl;
cout << "\tHello" << endl;
cout << "\n" << endl;
system("pause");
return 0;
}
2.6 字符串型
作用:用于表示一串字符
两种风格
C风格字符串:
char 变量名[] = "字符串值"示例:
int main() { char str1[] = "hello world"; cout << str1 << endl; system("pause"); return 0; }
注意:C风格的字符串要用双引号括起来
C++风格字符串:
string 变量名 = "字符串值"示例:
int main() { string str = "hello world"; cout << str << endl; system("pause"); return 0; }
注意:C++风格字符串,需要加入头文件==#include<string>==
2.7 布尔类型 bool
**作用:**布尔数据类型代表真或假的值
bool类型只有两个值:
- true — 真(本质是1)
- false — 假(本质是0)
bool类型占1个字节大小
示例:
int main() {
bool flag = true;
cout << flag << endl; // 1
flag = false;
cout << flag << endl; // 0
cout << "size of bool = " << sizeof(bool) << endl; //1
system("pause");
return 0;
}
2.8 数据的输入
作用:用于从键盘获取数据
**关键字:**cin
语法: cin >> 变量
示例:
int main(){
//整型输入
int a = 0;
cout << "请输入整型变量:" << endl;
cin >> a;
cout << a << endl;
//浮点型输入
double d = 0;
cout << "请输入浮点型变量:" << endl;
cin >> d;
cout << d << endl;
//字符型输入
char ch = 0;
cout << "请输入字符型变量:" << endl;
cin >> ch;
cout << ch << endl;
//字符串型输入
string str;
cout << "请输入字符串型变量:" << endl;
cin >> str;
cout << str << endl;
//布尔类型输入
bool flag = true;
cout << "请输入布尔型变量:" << endl;
cin >> flag;
cout << flag << endl;
system("pause");
return EXIT_SUCCESS;
}
3 运算符
**作用:**用于执行代码的运算
本章我们主要讲解以下几类运算符:
| 运算符类型 | 作用 |
|---|---|
| 算术运算符 | 用于处理四则运算 |
| 赋值运算符 | 用于将表达式的值赋给变量 |
| 比较运算符 | 用于表达式的比较,并返回一个真值或假值 |
| 逻辑运算符 | 用于根据表达式的值返回真值或假值 |
3.1 算术运算符
作用:用于处理四则运算
算术运算符包括以下符号:
| 运算符 | 术语 | 示例 | 结果 |
|---|---|---|---|
| + | 正号 | +3 | 3 |
| - | 负号 | -3 | -3 |
| + | 加 | 10 + 5 | 15 |
| - | 减 | 10 - 5 | 5 |
| * | 乘 | 10 * 5 | 50 |
| / | 除 | 10 / 5 | 2 |
| % | 取模(取余) | 10 % 3 | 1 |
| ++ | 前置递增 | a=2; b=++a; | a=3; b=3; |
| ++ | 后置递增 | a=2; b=a++; | a=3; b=2; |
| – | 前置递减 | a=2; b=–a; | a=1; b=1; |
| – | 后置递减 | a=2; b=a–; | a=1; b=2; |
示例1:
//加减乘除
int main() {
int a1 = 10;
int b1 = 3;
cout << a1 + b1 << endl;
cout << a1 - b1 << endl;
cout << a1 * b1 << endl;
cout << a1 / b1 << endl; //两个整数相除结果依然是整数
int a2 = 10;
int b2 = 20;
cout << a2 / b2 << endl;
int a3 = 10;
int b3 = 0;
//cout << a3 / b3 << endl; //报错,除数不可以为0
//两个小数可以相除
double d1 = 0.5;
double d2 = 0.25;
cout << d1 / d2 << endl;
system("pause");
return 0;
}
总结:在除法运算中,除数不能为0
示例2:
//取模
int main() {
int a1 = 10;
int b1 = 3;
cout << 10 % 3 << endl;
int a2 = 10;
int b2 = 20;
cout << a2 % b2 << endl;
int a3 = 10;
int b3 = 0;
//cout << a3 % b3 << endl; //取模运算时,除数也不能为0
//两个小数不可以取模
double d1 = 3.14;
double d2 = 1.1;
//cout << d1 % d2 << endl;
system("pause");
return 0;
}
总结:只有整型变量可以进行取模运算
示例3:
//递增
int main() {
//后置递增
int a = 10;
a++; //等价于a = a + 1
cout << a << endl; // 11
//前置递增
int b = 10;
++b;
cout << b << endl; // 11
//区别
//前置递增先对变量进行++,再计算表达式
int a2 = 10;
int b2 = ++a2 * 10;
cout << b2 << endl;
//后置递增先计算表达式,后对变量进行++
int a3 = 10;
int b3 = a3++ * 10;
cout << b3 << endl;
system("pause");
return 0;
}
总结:前置递增先对变量进行++,再计算表达式,后置递增相反
3.2 赋值运算符
**作用:**用于将表达式的值赋给变量
赋值运算符包括以下几个符号:
| 运算符 | 术语 | 示例 | 结果 |
|---|---|---|---|
| = | 赋值 | a=2; b=3; | a=2; b=3; |
| += | 加等于 | a=0; a+=2; | a=2; |
| -= | 减等于 | a=5; a-=3; | a=2; |
| *= | 乘等于 | a=2; a*=2; | a=4; |
| /= | 除等于 | a=4; a/=2; | a=2; |
| %= | 模等于 | a=3; a%2; | a=1; |
示例:
int main() {
//赋值运算符
// =
int a = 10;
a = 100;
cout << "a = " << a << endl;
// +=
a = 10;
a += 2; // a = a + 2;
cout << "a = " << a << endl;
// -=
a = 10;
a -= 2; // a = a - 2
cout << "a = " << a << endl;
// *=
a = 10;
a *= 2; // a = a * 2
cout << "a = " << a << endl;
// /=
a = 10;
a /= 2; // a = a / 2;
cout << "a = " << a << endl;
// %=
a = 10;
a %= 2; // a = a % 2;
cout << "a = " << a << endl;
system("pause");
return 0;
}
3.3 比较运算符
**作用:**用于表达式的比较,并返回一个真值或假值
比较运算符有以下符号:
| 运算符 | 术语 | 示例 | 结果 |
|---|---|---|---|
| == | 相等于 | 4 == 3 | 0 |
| != | 不等于 | 4 != 3 | 1 |
| < | 小于 | 4 < 3 | 0 |
| > | 大于 | 4 > 3 | 1 |
| <= | 小于等于 | 4 <= 3 | 0 |
| >= | 大于等于 | 4 >= 1 | 1 |
示例:
int main() {
int a = 10;
int b = 20;
cout << (a == b) << endl; // 0
cout << (a != b) << endl; // 1
cout << (a > b) << endl; // 0
cout << (a < b) << endl; // 1
cout << (a >= b) << endl; // 0
cout << (a <= b) << endl; // 1
system("pause");
return 0;
}
注意:C和C++ 语言的比较运算中, “真”用数字“1”来表示, “假”用数字“0”来表示。
3.4 逻辑运算符
**作用:**用于根据表达式的值返回真值或假值
逻辑运算符有以下符号:
| 运算符 | 术语 | 示例 | 结果 |
|---|---|---|---|
| ! | 非 | !a | 如果a为假,则!a为真; 如果a为真,则!a为假。 |
| && | 与 | a && b | 如果a和b都为真,则结果为真,否则为假。 |
| || | 或 | a || b | 如果a和b有一个为真,则结果为真,二者都为假时,结果为假。 |
**示例1:**逻辑非
//逻辑运算符 --- 非
int main() {
int a = 10;
cout << !a << endl; // 0
cout << !!a << endl; // 1
system("pause");
return 0;
}
总结: 真变假,假变真
**示例2:**逻辑与
//逻辑运算符 --- 与
int main() {
int a = 10;
int b = 10;
cout << (a && b) << endl;// 1
a = 10;
b = 0;
cout << (a && b) << endl;// 0
a = 0;
b = 0;
cout << (a && b) << endl;// 0
system("pause");
return 0;
}
总结:逻辑与运算符总结: 同真为真,其余为假
**示例3:**逻辑或
//逻辑运算符 --- 或
int main() {
int a = 10;
int b = 10;
cout << (a || b) << endl;// 1
a = 10;
b = 0;
cout << (a || b) << endl;// 1
a = 0;
b = 0;
cout << (a || b) << endl;// 0
system("pause");
return 0;
}
逻辑或运算符总结: 同假为假,其余为真
4 程序流程结构
C/C++支持最基本的三种程序运行结构:顺序结构、选择结构、循环结构
- 顺序结构:程序按顺序执行,不发生跳转
- 选择结构:依据条件是否满足,有选择的执行相应功能
- 循环结构:依据条件是否满足,循环多次执行某段代码
4.1 选择结构
4.1.1 if语句
**作用:**执行满足条件的语句
if语句的三种形式
单行格式if语句
多行格式if语句
多条件的if语句
单行格式if语句:
if(条件){ 条件满足执行的语句 }![[外链图片转存失败,源站可能有防盗链机制,建议将图片保存下来直接上传(img-FEXNhkXv-1647920948263)(assets/clip_image002.png)]](https://img-blog.csdnimg.cn/98071f86c0b04ad9865ccacbcd9bde87.png?x-oss-process=image/watermark,type_d3F5LXplbmhlaQ,shadow_50,text_Q1NETiBAQEJhbmdCYW5n,size_12,color_FFFFFF,t_70,g_se,x_16)
示例:
int main() { //选择结构-单行if语句 //输入一个分数,如果分数大于600分,视为考上一本大学,并在屏幕上打印 int score = 0; cout << "请输入一个分数:" << endl; cin >> score; cout << "您输入的分数为: " << score << endl; //if语句 //注意事项,在if判断语句后面,不要加分号 if (score > 600) { cout << "我考上了一本大学!!!" << endl; } system("pause"); return 0; }
注意:if条件表达式后不要加分号
- 多行格式if语句:
if(条件){ 条件满足执行的语句 }else{ 条件不满足执行的语句 };
![[外链图片转存失败,源站可能有防盗链机制,建议将图片保存下来直接上传(img-q0j189D0-1647920948264)(assets/clip_image002-1541662519170.png)]](https://img-blog.csdnimg.cn/c5168f909b1f44fca29e7495214a7b20.png?x-oss-process=image/watermark,type_d3F5LXplbmhlaQ,shadow_50,text_Q1NETiBAQEJhbmdCYW5n,size_10,color_FFFFFF,t_70,g_se,x_16)
示例:
int main() {
int score = 0;
cout << "请输入考试分数:" << endl;
cin >> score;
if (score > 600)
{
cout << "我考上了一本大学" << endl;
}
else
{
cout << "我未考上一本大学" << endl;
}
system("pause");
return 0;
}
- 多条件的if语句:
if(条件1){ 条件1满足执行的语句 }else if(条件2){条件2满足执行的语句}... else{ 都不满足执行的语句}
![[外链图片转存失败,源站可能有防盗链机制,建议将图片保存下来直接上传(img-Qlw6FUDx-1647920948265)(assets/clip_image002-1541662566808.png)]](https://img-blog.csdnimg.cn/c56f4fb9b5cb44d89d7d06931a126a42.png?x-oss-process=image/watermark,type_d3F5LXplbmhlaQ,shadow_50,text_Q1NETiBAQEJhbmdCYW5n,size_19,color_FFFFFF,t_70,g_se,x_16)
示例:
int main() {
int score = 0;
cout << "请输入考试分数:" << endl;
cin >> score;
if (score > 600)
{
cout << "我考上了一本大学" << endl;
}
else if (score > 500)
{
cout << "我考上了二本大学" << endl;
}
else if (score > 400)
{
cout << "我考上了三本大学" << endl;
}
else
{
cout << "我未考上本科" << endl;
}
system("pause");
return 0;
}
嵌套if语句:在if语句中,可以嵌套使用if语句,达到更精确的条件判断
案例需求:
- 提示用户输入一个高考考试分数,根据分数做如下判断
- 分数如果大于600分视为考上一本,大于500分考上二本,大于400考上三本,其余视为未考上本科;
- 在一本分数中,如果大于700分,考入北大,大于650分,考入清华,大于600考入人大。
示例:
int main() {
int score = 0;
cout << "请输入考试分数:" << endl;
cin >> score;
if (score > 600)
{
cout << "我考上了一本大学" << endl;
if (score > 700)
{
cout << "我考上了北大" << endl;
}
else if (score > 650)
{
cout << "我考上了清华" << endl;
}
else
{
cout << "我考上了人大" << endl;
}
}
else if (score > 500)
{
cout << "我考上了二本大学" << endl;
}
else if (score > 400)
{
cout << "我考上了三本大学" << endl;
}
else
{
cout << "我未考上本科" << endl;
}
system("pause");
return 0;
}
练习案例: 三只小猪称体重
有三只小猪ABC,请分别输入三只小猪的体重,并且判断哪只小猪最重?![[外链图片转存失败,源站可能有防盗链机制,建议将图片保存下来直接上传(img-nWhFsrXm-1647920948266)(assets/三只小猪.jpg)]](https://img-blog.csdnimg.cn/666dd98189e2494b802f686ab9662f4b.png?x-oss-process=image/watermark,type_d3F5LXplbmhlaQ,shadow_50,text_Q1NETiBAQEJhbmdCYW5n,size_20,color_FFFFFF,t_70,g_se,x_16)
4.1.2 三目运算符
作用: 通过三目运算符实现简单的判断
语法:表达式1 ? 表达式2 :表达式3
解释:
如果表达式1的值为真,执行表达式2,并返回表达式2的结果;
如果表达式1的值为假,执行表达式3,并返回表达式3的结果。
示例:
int main() {
int a = 10;
int b = 20;
int c = 0;
c = a > b ? a : b;
cout << "c = " << c << endl;
//C++中三目运算符返回的是变量,可以继续赋值
(a > b ? a : b) = 100;
cout << "a = " << a << endl;
cout << "b = " << b << endl;
cout << "c = " << c << endl;
system("pause");
return 0;
}
总结:和if语句比较,三目运算符优点是短小整洁,缺点是如果用嵌套,结构不清晰
4.1.3 switch语句
**作用:**执行多条件分支语句
语法:
switch(表达式)
{
case 结果1:执行语句;break;
case 结果2:执行语句;break;
...
default:执行语句;break;
}
示例:
int main() {
//请给电影评分
//10 ~ 9 经典
// 8 ~ 7 非常好
// 6 ~ 5 一般
// 5分以下 烂片
int score = 0;
cout << "请给电影打分" << endl;
cin >> score;
switch (score)
{
case 10:
case 9:
cout << "经典" << endl;
break;
case 8:
cout << "非常好" << endl;
break;
case 7:
case 6:
cout << "一般" << endl;
break;
default:
cout << "烂片" << endl;
break;
}
system("pause");
return 0;
}
注意1:switch语句中表达式类型只能是整型或者字符型
注意2:case里如果没有break,那么程序会一直向下执行
总结:与if语句比,对于多条件判断时,switch的结构清晰,执行效率高,缺点是switch不可以判断区间
4.2 循环结构
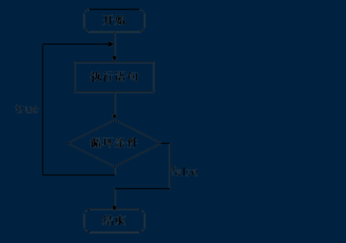
4.2.1 while循环语句
**作用:**满足循环条件,执行循环语句
语法:while(循环条件){ 循环语句 }
解释:只要循环条件的结果为真,就执行循环语句
![[外链图片转存失败,源站可能有防盗链机制,建议将图片保存下来直接上传(img-UFmVkhwE-1647920948267)(assets/clip_image002-1541668640382.png)]](https://img-blog.csdnimg.cn/f1ae841100a440ec8a8bb3cbdef74e7f.png?x-oss-process=image/watermark,type_d3F5LXplbmhlaQ,shadow_50,text_Q1NETiBAQEJhbmdCYW5n,size_18,color_FFFFFF,t_70,g_se,x_16)
示例:
int main() {
int num = 0;
while (num < 10)
{
cout << "num = " << num << endl;
num++;
}
system("pause");
return 0;
}
注意:在执行循环语句时候,程序必须提供跳出循环的出口,否则出现死循环
while循环练习案例:猜数字
**案例描述:**系统随机生成一个1到100之间的数字,玩家进行猜测,如果猜错,提示玩家数字过大或过小,如果猜对恭喜玩家胜利,并且退出游戏。
![[外链图片转存失败,源站可能有防盗链机制,建议将图片保存下来直接上传(img-pcEbcCiY-1647920948268)(assets/猜数字.jpg)]](https://img-blog.csdnimg.cn/569d35239467492a83dfd42040027a6c.png?x-oss-process=image/watermark,type_d3F5LXplbmhlaQ,shadow_50,text_Q1NETiBAQEJhbmdCYW5n,size_12,color_FFFFFF,t_70,g_se,x_16)
4.2.2 do…while循环语句
作用: 满足循环条件,执行循环语句
语法: do{ 循环语句 } while(循环条件);
**注意:**与while的区别在于do…while会先执行一次循环语句,再判断循环条件
![[外链图片转存失败,源站可能有防盗链机制,建议将图片保存下来直接上传(img-4LLYr6UW-1647920948269)(assets/clip_image002-1541671163478.png)]](https://img-blog.csdnimg.cn/54fb8dadc4bd4ec18a7a3a2f2afe9a19.png?x-oss-process=image/watermark,type_d3F5LXplbmhlaQ,shadow_50,text_Q1NETiBAQEJhbmdCYW5n,size_15,color_FFFFFF,t_70,g_se,x_16)
示例:
int main() {
int num = 0;
do
{
cout << num << endl;
num++;
} while (num < 10);
system("pause");
return 0;
}
总结:与while循环区别在于,do…while先执行一次循环语句,再判断循环条件
练习案例:水仙花数
**案例描述:**水仙花数是指一个 3 位数,它的每个位上的数字的 3次幂之和等于它本身
例如:1^3 + 5^3+ 3^3 = 153
请利用do…while语句,求出所有3位数中的水仙花数
4.2.3 for循环语句
作用: 满足循环条件,执行循环语句
语法:for(起始表达式;条件表达式;末尾循环体) { 循环语句; }
示例:
int main() {
for (int i = 0; i < 10; i++)
{
cout << i << endl;
}
system("pause");
return 0;
}
详解:
![[外链图片转存失败,源站可能有防盗链机制,建议将图片保存下来直接上传(img-LNf0WcL0-1647920948271)(assets/1541673704101.png)]](https://img-blog.csdnimg.cn/225951c5a8ec423d8b210607afb58254.png?x-oss-process=image/watermark,type_d3F5LXplbmhlaQ,shadow_50,text_Q1NETiBAQEJhbmdCYW5n,size_20,color_FFFFFF,t_70,g_se,x_16)
注意:for循环中的表达式,要用分号进行分隔
总结:while , do…while, for都是开发中常用的循环语句,for循环结构比较清晰,比较常用
练习案例:敲桌子
案例描述:从1开始数到数字100, 如果数字个位含有7,或者数字十位含有7,或者该数字是7的倍数,我们打印敲桌子,其余数字直接打印输出。
4.2.4 嵌套循环
作用: 在循环体中再嵌套一层循环,解决一些实际问题
例如我们想在屏幕中打印如下图片,就需要利用嵌套循环
![[外链图片转存失败,源站可能有防盗链机制,建议将图片保存下来直接上传(img-HnwcOXoY-1647920948278)(assets/1541676003486.png)]](https://img-blog.csdnimg.cn/51633685c07a4560bc373c460f7f7beb.png?x-oss-process=image/watermark,type_d3F5LXplbmhlaQ,shadow_50,text_Q1NETiBAQEJhbmdCYW5n,size_20,color_FFFFFF,t_70,g_se,x_16)
示例:
int main() {
//外层循环执行1次,内层循环执行1轮
for (int i = 0; i < 10; i++)
{
for (int j = 0; j < 10; j++)
{
cout << "*" << " ";
}
cout << endl;
}
system("pause");
return 0;
}
**练习案例:**乘法口诀表
案例描述:利用嵌套循环,实现九九乘法表
![[外链图片转存失败,源站可能有防盗链机制,建议将图片保存下来直接上传(img-AdJNBDnQ-1647920948279)(assets/0006018857256120_b.jpg)]](https://img-blog.csdnimg.cn/92144ffbc0b94c4dad509daf5ff64a95.png?x-oss-process=image/watermark,type_d3F5LXplbmhlaQ,shadow_50,text_Q1NETiBAQEJhbmdCYW5n,size_20,color_FFFFFF,t_70,g_se,x_16)
4.3 跳转语句
4.3.1 break语句
作用: 用于跳出选择结构或者循环结构
break使用的时机:
- 出现在switch条件语句中,作用是终止case并跳出switch
- 出现在循环语句中,作用是跳出当前的循环语句
- 出现在嵌套循环中,跳出最近的内层循环语句
示例1:
int main() {
//1、在switch 语句中使用break
cout << "请选择您挑战副本的难度:" << endl;
cout << "1、普通" << endl;
cout << "2、中等" << endl;
cout << "3、困难" << endl;
int num = 0;
cin >> num;
switch (num)
{
case 1:
cout << "您选择的是普通难度" << endl;
break;
case 2:
cout << "您选择的是中等难度" << endl;
break;
case 3:
cout << "您选择的是困难难度" << endl;
break;
}
system("pause");
return 0;
}
示例2:
int main() {
//2、在循环语句中用break
for (int i = 0; i < 10; i++)
{
if (i == 5)
{
break; //跳出循环语句
}
cout << i << endl;
}
system("pause");
return 0;
}
示例3:
int main() {
//在嵌套循环语句中使用break,退出内层循环
for (int i = 0; i < 10; i++)
{
for (int j = 0; j < 10; j++)
{
if (j == 5)
{
break;
}
cout << "*" << " ";
}
cout << endl;
}
system("pause");
return 0;
}
4.3.2 continue语句
**作用:**在循环语句中,跳过本次循环中余下尚未执行的语句,继续执行下一次循环
示例:
int main() {
for (int i = 0; i < 100; i++)
{
if (i % 2 == 0)
{
continue;
}
cout << i << endl;
}
system("pause");
return 0;
}
注意:continue并没有使整个循环终止,而break会跳出循环
4.3.3 goto语句
**作用:**可以无条件跳转语句
语法: goto 标记;
**解释:**如果标记的名称存在,执行到goto语句时,会跳转到标记的位置
示例:
int main() {
cout << "1" << endl;
goto FLAG;
cout << "2" << endl;
cout << "3" << endl;
cout << "4" << endl;
FLAG:
cout << "5" << endl;
system("pause");
return 0;
}
注意:在程序中不建议使用goto语句,以免造成程序流程混乱
5 数组
5.1 概述
所谓数组,就是一个集合,里面存放了相同类型的数据元素
**特点1:**数组中的每个数据元素都是相同的数据类型
**特点2:**数组是由连续的内存位置组成的
![[外链图片转存失败,源站可能有防盗链机制,建议将图片保存下来直接上传(img-T9bTqx0C-1647920948280)(assets/1541748375356.png)]](https://img-blog.csdnimg.cn/9ac1d3a7c23b47369be6e70a05579576.png?x-oss-process=image/watermark,type_d3F5LXplbmhlaQ,shadow_50,text_Q1NETiBAQEJhbmdCYW5n,size_13,color_FFFFFF,t_70,g_se,x_16)
5.2 一维数组
5.2.1 一维数组定义方式
一维数组定义的三种方式:
数据类型 数组名[ 数组长度 ];数据类型 数组名[ 数组长度 ] = { 值1,值2 ...};数据类型 数组名[ ] = { 值1,值2 ...};
示例
int main() {
//定义方式1
//数据类型 数组名[元素个数];
int score[10];
//利用下标赋值
score[0] = 100;
score[1] = 99;
score[2] = 85;
//利用下标输出
cout << score[0] << endl;
cout << score[1] << endl;
cout << score[2] << endl;
//第二种定义方式
//数据类型 数组名[元素个数] = {值1,值2 ,值3 ...};
//如果{}内不足10个数据,剩余数据用0补全
int score2[10] = { 100, 90,80,70,60,50,40,30,20,10 };
//逐个输出
//cout << score2[0] << endl;
//cout << score2[1] << endl;
//一个一个输出太麻烦,因此可以利用循环进行输出
for (int i = 0; i < 10; i++)
{
cout << score2[i] << endl;
}
//定义方式3
//数据类型 数组名[] = {值1,值2 ,值3 ...};
int score3[] = { 100,90,80,70,60,50,40,30,20,10 };
for (int i = 0; i < 10; i++)
{
cout << score3[i] << endl;
}
system("pause");
return 0;
}
总结1:数组名的命名规范与变量名命名规范一致,不要和变量重名
总结2:数组中下标是从0开始索引
5.2.2 一维数组数组名
一维数组名称的用途:
- 可以统计整个数组在内存中的长度
- 可以获取数组在内存中的首地址
示例:
int main() {
//数组名用途
//1、可以获取整个数组占用内存空间大小
int arr[10] = { 1,2,3,4,5,6,7,8,9,10 };
cout << "整个数组所占内存空间为: " << sizeof(arr) << endl;
cout << "每个元素所占内存空间为: " << sizeof(arr[0]) << endl;
cout << "数组的元素个数为: " << sizeof(arr) / sizeof(arr[0]) << endl;
//2、可以通过数组名获取到数组首地址
cout << "数组首地址为: " << (int)arr << endl;
cout << "数组中第一个元素地址为: " << (int)&arr[0] << endl;
cout << "数组中第二个元素地址为: " << (int)&arr[1] << endl;
//arr = 100; 错误,数组名是常量,因此不可以赋值
system("pause");
return 0;
}
注意:数组名是常量,不可以赋值
总结1:直接打印数组名,可以查看数组所占内存的首地址
总结2:对数组名进行sizeof,可以获取整个数组占内存空间的大小
练习案例1:五只小猪称体重
案例描述:
在一个数组中记录了五只小猪的体重,如:int arr[5] = {300,350,200,400,250};
找出并打印最重的小猪体重。
**练习案例2:**数组元素逆置
**案例描述:**请声明一个5个元素的数组,并且将元素逆置.
(如原数组元素为:1,3,2,5,4;逆置后输出结果为:4,5,2,3,1);
5.2.3 冒泡排序
作用: 最常用的排序算法,对数组内元素进行排序
- 比较相邻的元素。如果第一个比第二个大,就交换他们两个。
- 对每一对相邻元素做同样的工作,执行完毕后,找到第一个最大值。
- 重复以上的步骤,每次比较次数-1,直到不需要比较
![[外链图片转存失败,源站可能有防盗链机制,建议将图片保存下来直接上传(img-vXSBth9f-1647920948281)(assets/1541905327273.png)]](https://img-blog.csdnimg.cn/4ee345b5d1aa4bf2a7e45b110747267a.png)
示例: 将数组 { 4,2,8,0,5,7,1,3,9 } 进行升序排序
int main() {
int arr[9] = { 4,2,8,0,5,7,1,3,9 };
for (int i = 0; i < 9 - 1; i++)
{
for (int j = 0; j < 9 - 1 - i; j++)
{
if (arr[j] > arr[j + 1])
{
int temp = arr[j];
arr[j] = arr[j + 1];
arr[j + 1] = temp;
}
}
}
for (int i = 0; i < 9; i++)
{
cout << arr[i] << endl;
}
system("pause");
return 0;
}
5.3 二维数组
二维数组就是在一维数组上,多加一个维度。
![[外链图片转存失败,源站可能有防盗链机制,建议将图片保存下来直接上传(img-2FGhkQTK-1647920948282)(assets/1541905559138.png)]](https://img-blog.csdnimg.cn/7da5b9dbf1764f7981c27418ea5b32ae.png?x-oss-process=image/watermark,type_d3F5LXplbmhlaQ,shadow_50,text_Q1NETiBAQEJhbmdCYW5n,size_20,color_FFFFFF,t_70,g_se,x_16)
5.3.1 二维数组定义方式
二维数组定义的四种方式:
数据类型 数组名[ 行数 ][ 列数 ];数据类型 数组名[ 行数 ][ 列数 ] = { {数据1,数据2 } ,{数据3,数据4 } };数据类型 数组名[ 行数 ][ 列数 ] = { 数据1,数据2,数据3,数据4};数据类型 数组名[ ][ 列数 ] = { 数据1,数据2,数据3,数据4};
建议:以上4种定义方式,利用第二种更加直观,提高代码的可读性
示例:
int main() {
//方式1
//数组类型 数组名 [行数][列数]
int arr[2][3];
arr[0][0] = 1;
arr[0][1] = 2;
arr[0][2] = 3;
arr[1][0] = 4;
arr[1][1] = 5;
arr[1][2] = 6;
for (int i = 0; i < 2; i++)
{
for (int j = 0; j < 3; j++)
{
cout << arr[i][j] << " ";
}
cout << endl;
}
//方式2
//数据类型 数组名[行数][列数] = { {数据1,数据2 } ,{数据3,数据4 } };
int arr2[2][3] =
{
{1,2,3},
{4,5,6}
};
//方式3
//数据类型 数组名[行数][列数] = { 数据1,数据2 ,数据3,数据4 };
int arr3[2][3] = { 1,2,3,4,5,6 };
//方式4
//数据类型 数组名[][列数] = { 数据1,数据2 ,数据3,数据4 };
int arr4[][3] = { 1,2,3,4,5,6 };
system("pause");
return 0;
}
总结:在定义二维数组时,如果初始化了数据,可以省略行数
5.3.2 二维数组数组名
- 查看二维数组所占内存空间
- 获取二维数组首地址
示例:
int main() {
//二维数组数组名
int arr[2][3] =
{
{1,2,3},
{4,5,6}
};
cout << "二维数组大小: " << sizeof(arr) << endl;
cout << "二维数组一行大小: " << sizeof(arr[0]) << endl;
cout << "二维数组元素大小: " << sizeof(arr[0][0]) << endl;
cout << "二维数组行数: " << sizeof(arr) / sizeof(arr[0]) << endl;
cout << "二维数组列数: " << sizeof(arr[0]) / sizeof(arr[0][0]) << endl;
//地址
cout << "二维数组首地址:" << arr << endl;
cout << "二维数组第一行地址:" << arr[0] << endl;
cout << "二维数组第二行地址:" << arr[1] << endl;
cout << "二维数组第一个元素地址:" << &arr[0][0] << endl;
cout << "二维数组第二个元素地址:" << &arr[0][1] << endl;
system("pause");
return 0;
}
总结1:二维数组名就是这个数组的首地址
总结2:对二维数组名进行sizeof时,可以获取整个二维数组占用的内存空间大小
5.3.3 二维数组应用案例
考试成绩统计:
案例描述:有三名同学(张三,李四,王五),在一次考试中的成绩分别如下表,请分别输出三名同学的总成绩
| 语文 | 数学 | 英语 | |
|---|---|---|---|
| 张三 | 100 | 100 | 100 |
| 李四 | 90 | 50 | 100 |
| 王五 | 60 | 70 | 80 |
参考答案:
int main() {
int scores[3][3] =
{
{100,100,100},
{90,50,100},
{60,70,80},
};
string names[3] = { "张三","李四","王五" };
for (int i = 0; i < 3; i++)
{
int sum = 0;
for (int j = 0; j < 3; j++)
{
sum += scores[i][j];
}
cout << names[i] << "同学总成绩为: " << sum << endl;
}
system("pause");
return 0;
}
6 函数
6.1 概述
**作用:**将一段经常使用的代码封装起来,减少重复代码
一个较大的程序,一般分为若干个程序块,每个模块实现特定的功能。
6.2 函数的定义
函数的定义一般主要有5个步骤:
1、返回值类型
2、函数名
3、参数表列
4、函数体语句
5、return 表达式
语法:
返回值类型 函数名 (参数列表)
{
函数体语句
return表达式
}
- 返回值类型 :一个函数可以返回一个值。在函数定义中
- 函数名:给函数起个名称
- 参数列表:使用该函数时,传入的数据
- 函数体语句:花括号内的代码,函数内需要执行的语句
- return表达式: 和返回值类型挂钩,函数执行完后,返回相应的数据
**示例:**定义一个加法函数,实现两个数相加
//函数定义
int add(int num1, int num2)
{
int sum = num1 + num2;
return sum;
}
6.3 函数的调用
**功能:**使用定义好的函数
语法:函数名(参数)
示例:
//函数定义
int add(int num1, int num2) //定义中的num1,num2称为形式参数,简称形参
{
int sum = num1 + num2;
return sum;
}
int main() {
int a = 10;
int b = 10;
//调用add函数
int sum = add(a, b);//调用时的a,b称为实际参数,简称实参
cout << "sum = " << sum << endl;
a = 100;
b = 100;
sum = add(a, b);
cout << "sum = " << sum << endl;
system("pause");
return 0;
}
总结:函数定义里小括号内称为形参,函数调用时传入的参数称为实参
6.4 值传递
- 所谓值传递,就是函数调用时实参将数值传入给形参
- 值传递时,如果形参发生,并不会影响实参
示例:
void swap(int num1, int num2)
{
cout << "交换前:" << endl;
cout << "num1 = " << num1 << endl;
cout << "num2 = " << num2 << endl;
int temp = num1;
num1 = num2;
num2 = temp;
cout << "交换后:" << endl;
cout << "num1 = " << num1 << endl;
cout << "num2 = " << num2 << endl;
//return ; 当函数声明时候,不需要返回值,可以不写return
}
int main() {
int a = 10;
int b = 20;
swap(a, b);
cout << "mian中的 a = " << a << endl;
cout << "mian中的 b = " << b << endl;
system("pause");
return 0;
}
总结: 值传递时,形参是修饰不了实参的
6.5 函数的常见样式
常见的函数样式有4种
- 无参无返
- 有参无返
- 无参有返
- 有参有返
示例:
//函数常见样式
//1、 无参无返
void test01()
{
//void a = 10; //无类型不可以创建变量,原因无法分配内存
cout << "this is test01" << endl;
//test01(); 函数调用
}
//2、 有参无返
void test02(int a)
{
cout << "this is test02" << endl;
cout << "a = " << a << endl;
}
//3、无参有返
int test03()
{
cout << "this is test03 " << endl;
return 10;
}
//4、有参有返
int test04(int a, int b)
{
cout << "this is test04 " << endl;
int sum = a + b;
return sum;
}
6.6 函数的声明
作用: 告诉编译器函数名称及如何调用函数。函数的实际主体可以单独定义。
- 函数的声明可以多次,但是函数的定义只能有一次
示例:
//声明可以多次,定义只能一次
//声明
int max(int a, int b);
int max(int a, int b);
//定义
int max(int a, int b)
{
return a > b ? a : b;
}
int main() {
int a = 100;
int b = 200;
cout << max(a, b) << endl;
system("pause");
return 0;
}
6.7 函数的分文件编写
**作用:**让代码结构更加清晰
函数分文件编写一般有4个步骤
- 创建后缀名为.h的头文件
- 创建后缀名为.cpp的源文件
- 在头文件中写函数的声明
- 在源文件中写函数的定义
示例:
//swap.h文件
#include<iostream>
using namespace std;
//实现两个数字交换的函数声明
void swap(int a, int b);
//swap.cpp文件
#include "swap.h"
void swap(int a, int b)
{
int temp = a;
a = b;
b = temp;
cout << "a = " << a << endl;
cout << "b = " << b << endl;
}
//main函数文件
#include "swap.h"
int main() {
int a = 100;
int b = 200;
swap(a, b);
system("pause");
return 0;
}
7 指针
7.1 指针的基本概念
指针的作用: 可以通过指针间接访问内存
内存编号是从0开始记录的,一般用十六进制数字表示
可以利用指针变量保存地址
7.2 指针变量的定义和使用
指针变量定义语法: 数据类型 * 变量名;
示例:
int main() {
//1、指针的定义
int a = 10; //定义整型变量a
//指针定义语法: 数据类型 * 变量名 ;
int * p;
//指针变量赋值
p = &a; //指针指向变量a的地址
cout << &a << endl; //打印数据a的地址
cout << p << endl; //打印指针变量p
//2、指针的使用
//通过*操作指针变量指向的内存
cout << "*p = " << *p << endl;
system("pause");
return 0;
}
指针变量和普通变量的区别
- 普通变量存放的是数据,指针变量存放的是地址
- 指针变量可以通过" * "操作符,操作指针变量指向的内存空间,这个过程称为解引用
总结1: 我们可以通过 & 符号 获取变量的地址
总结2:利用指针可以记录地址
总结3:对指针变量解引用,可以操作指针指向的内存
7.3 指针所占内存空间
提问:指针也是种数据类型,那么这种数据类型占用多少内存空间?
示例:
int main() {
int a = 10;
int * p;
p = &a; //指针指向数据a的地址
cout << *p << endl; //* 解引用
cout << sizeof(p) << endl;
cout << sizeof(char *) << endl;
cout << sizeof(float *) << endl;
cout << sizeof(double *) << endl;
system("pause");
return 0;
}
总结:所有指针类型在32位操作系统下是4个字节
7.4 空指针和野指针
空指针:指针变量指向内存中编号为0的空间
**用途:**初始化指针变量
**注意:**空指针指向的内存是不可以访问的
示例1:空指针
int main() {
//指针变量p指向内存地址编号为0的空间
int * p = NULL;
//访问空指针报错
//内存编号0 ~255为系统占用内存,不允许用户访问
cout << *p << endl;
system("pause");
return 0;
}
野指针:指针变量指向非法的内存空间
示例2:野指针
int main() {
//指针变量p指向内存地址编号为0x1100的空间
int * p = (int *)0x1100;
//访问野指针报错
cout << *p << endl;
system("pause");
return 0;
}
总结:空指针和野指针都不是我们申请的空间,因此不要访问。
7.5 const修饰指针
const修饰指针有三种情况
- const修饰指针 — 常量指针
- const修饰常量 — 指针常量
- const即修饰指针,又修饰常量
示例:
int main() {
int a = 10;
int b = 10;
//const修饰的是指针,指针指向可以改,指针指向的值不可以更改
const int * p1 = &a;
p1 = &b; //正确
//*p1 = 100; 报错
//const修饰的是常量,指针指向不可以改,指针指向的值可以更改
int * const p2 = &a;
//p2 = &b; //错误
*p2 = 100; //正确
//const既修饰指针又修饰常量
const int * const p3 = &a;
//p3 = &b; //错误
//*p3 = 100; //错误
system("pause");
return 0;
}
技巧:看const右侧紧跟着的是指针还是常量, 是指针就是常量指针,是常量就是指针常量
7.6 指针和数组
**作用:**利用指针访问数组中元素
示例:
int main() {
int arr[] = { 1,2,3,4,5,6,7,8,9,10 };
int * p = arr; //指向数组的指针
cout << "第一个元素: " << arr[0] << endl;
cout << "指针访问第一个元素: " << *p << endl;
for (int i = 0; i < 10; i++)
{
//利用指针遍历数组
cout << *p << endl;
p++;
}
system("pause");
return 0;
}
7.7 指针和函数
**作用:**利用指针作函数参数,可以修改实参的值
示例:
//值传递
void swap1(int a ,int b)
{
int temp = a;
a = b;
b = temp;
}
//地址传递
void swap2(int * p1, int *p2)
{
int temp = *p1;
*p1 = *p2;
*p2 = temp;
}
int main() {
int a = 10;
int b = 20;
swap1(a, b); // 值传递不会改变实参
swap2(&a, &b); //地址传递会改变实参
cout << "a = " << a << endl;
cout << "b = " << b << endl;
system("pause");
return 0;
}
总结:如果不想修改实参,就用值传递,如果想修改实参,就用地址传递
7.8 指针、数组、函数
**案例描述:**封装一个函数,利用冒泡排序,实现对整型数组的升序排序
例如数组:int arr[10] = { 4,3,6,9,1,2,10,8,7,5 };
示例:
//冒泡排序函数
void bubbleSort(int * arr, int len) //int * arr 也可以写为int arr[]
{
for (int i = 0; i < len - 1; i++)
{
for (int j = 0; j < len - 1 - i; j++)
{
if (arr[j] > arr[j + 1])
{
int temp = arr[j];
arr[j] = arr[j + 1];
arr[j + 1] = temp;
}
}
}
}
//打印数组函数
void printArray(int arr[], int len)
{
for (int i = 0; i < len; i++)
{
cout << arr[i] << endl;
}
}
int main() {
int arr[10] = { 4,3,6,9,1,2,10,8,7,5 };
int len = sizeof(arr) / sizeof(int);
bubbleSort(arr, len);
printArray(arr, len);
system("pause");
return 0;
}
总结:当数组名传入到函数作为参数时,被退化为指向首元素的指针
8 结构体
8.1 结构体基本概念
结构体属于用户自定义的数据类型,允许用户存储不同的数据类型
8.2 结构体定义和使用
语法:struct 结构体名 { 结构体成员列表 };
通过结构体创建变量的方式有三种:
- struct 结构体名 变量名
- struct 结构体名 变量名 = { 成员1值 , 成员2值…}
- 定义结构体时顺便创建变量
示例:
//结构体定义
struct student
{
//成员列表
string name; //姓名
int age; //年龄
int score; //分数
}stu3; //结构体变量创建方式3
int main() {
//结构体变量创建方式1
struct student stu1; //struct 关键字可以省略
stu1.name = "张三";
stu1.age = 18;
stu1.score = 100;
cout << "姓名:" << stu1.name << " 年龄:" << stu1.age << " 分数:" << stu1.score << endl;
//结构体变量创建方式2
struct student stu2 = { "李四",19,60 };
cout << "姓名:" << stu2.name << " 年龄:" << stu2.age << " 分数:" << stu2.score << endl;
stu3.name = "王五";
stu3.age = 18;
stu3.score = 80;
cout << "姓名:" << stu3.name << " 年龄:" << stu3.age << " 分数:" << stu3.score << endl;
system("pause");
return 0;
}
总结1:定义结构体时的关键字是struct,不可省略
总结2:创建结构体变量时,关键字struct可以省略
总结3:结构体变量利用操作符 ‘’.’’ 访问成员
8.3 结构体数组
**作用:**将自定义的结构体放入到数组中方便维护
语法:struct 结构体名 数组名[元素个数] = { {} , {} , ... {} }
示例:
//结构体定义
struct student
{
//成员列表
string name; //姓名
int age; //年龄
int score; //分数
}
int main() {
//结构体数组
struct student arr[3]=
{
{"张三",18,80 },
{"李四",19,60 },
{"王五",20,70 }
};
for (int i = 0; i < 3; i++)
{
cout << "姓名:" << arr[i].name << " 年龄:" << arr[i].age << " 分数:" << arr[i].score << endl;
}
system("pause");
return 0;
}
8.4 结构体指针
**作用:**通过指针访问结构体中的成员
- 利用操作符
->可以通过结构体指针访问结构体属性
示例:
//结构体定义
struct student
{
//成员列表
string name; //姓名
int age; //年龄
int score; //分数
};
int main() {
struct student stu = { "张三",18,100, };
struct student * p = &stu;
p->score = 80; //指针通过 -> 操作符可以访问成员
cout << "姓名:" << p->name << " 年龄:" << p->age << " 分数:" << p->score << endl;
system("pause");
return 0;
}
总结:结构体指针可以通过 -> 操作符 来访问结构体中的成员
8.5 结构体嵌套结构体
作用: 结构体中的成员可以是另一个结构体
**例如:**每个老师辅导一个学员,一个老师的结构体中,记录一个学生的结构体
示例:
//学生结构体定义
struct student
{
//成员列表
string name; //姓名
int age; //年龄
int score; //分数
};
//教师结构体定义
struct teacher
{
//成员列表
int id; //职工编号
string name; //教师姓名
int age; //教师年龄
struct student stu; //子结构体 学生
};
int main() {
struct teacher t1;
t1.id = 10000;
t1.name = "老王";
t1.age = 40;
t1.stu.name = "张三";
t1.stu.age = 18;
t1.stu.score = 100;
cout << "教师 职工编号: " << t1.id << " 姓名: " << t1.name << " 年龄: " << t1.age << endl;
cout << "辅导学员 姓名: " << t1.stu.name << " 年龄:" << t1.stu.age << " 考试分数: " << t1.stu.score << endl;
system("pause");
return 0;
}
**总结:**在结构体中可以定义另一个结构体作为成员,用来解决实际问题
8.6 结构体做函数参数
**作用:**将结构体作为参数向函数中传递
传递方式有两种:
- 值传递
- 地址传递
示例:
//学生结构体定义
struct student
{
//成员列表
string name; //姓名
int age; //年龄
int score; //分数
};
//值传递
void printStudent(student stu )
{
stu.age = 28;
cout << "子函数中 姓名:" << stu.name << " 年龄: " << stu.age << " 分数:" << stu.score << endl;
}
//地址传递
void printStudent2(student *stu)
{
stu->age = 28;
cout << "子函数中 姓名:" << stu->name << " 年龄: " << stu->age << " 分数:" << stu->score << endl;
}
int main() {
student stu = { "张三",18,100};
//值传递
printStudent(stu);
cout << "主函数中 姓名:" << stu.name << " 年龄: " << stu.age << " 分数:" << stu.score << endl;
cout << endl;
//地址传递
printStudent2(&stu);
cout << "主函数中 姓名:" << stu.name << " 年龄: " << stu.age << " 分数:" << stu.score << endl;
system("pause");
return 0;
}
总结:如果不想修改主函数中的数据,用值传递,反之用地址传递
8.7 结构体中 const使用场景
**作用:**用const来防止误操作
示例:
//学生结构体定义
struct student
{
//成员列表
string name; //姓名
int age; //年龄
int score; //分数
};
//const使用场景
void printStudent(const student *stu) //加const防止函数体中的误操作
{
//stu->age = 100; //操作失败,因为加了const修饰
cout << "姓名:" << stu->name << " 年龄:" << stu->age << " 分数:" << stu->score << endl;
}
int main() {
student stu = { "张三",18,100 };
printStudent(&stu);
system("pause");
return 0;
}
8.8 结构体案例
8.8.1 案例1
案例描述:
学校正在做毕设项目,每名老师带领5个学生,总共有3名老师,需求如下
设计学生和老师的结构体,其中在老师的结构体中,有老师姓名和一个存放5名学生的数组作为成员
学生的成员有姓名、考试分数,创建数组存放3名老师,通过函数给每个老师及所带的学生赋值
最终打印出老师数据以及老师所带的学生数据。
示例:
struct Student
{
string name;
int score;
};
struct Teacher
{
string name;
Student sArray[5];
};
void allocateSpace(Teacher tArray[] , int len)
{
string tName = "教师";
string sName = "学生";
string nameSeed = "ABCDE";
for (int i = 0; i < len; i++)
{
tArray[i].name = tName + nameSeed[i];
for (int j = 0; j < 5; j++)
{
tArray[i].sArray[j].name = sName + nameSeed[j];
tArray[i].sArray[j].score = rand() % 61 + 40;
}
}
}
void printTeachers(Teacher tArray[], int len)
{
for (int i = 0; i < len; i++)
{
cout << tArray[i].name << endl;
for (int j = 0; j < 5; j++)
{
cout << "\t姓名:" << tArray[i].sArray[j].name << " 分数:" << tArray[i].sArray[j].score << endl;
}
}
}
int main() {
srand((unsigned int)time(NULL)); //随机数种子 头文件 #include <ctime>
Teacher tArray[3]; //老师数组
int len = sizeof(tArray) / sizeof(Teacher);
allocateSpace(tArray, len); //创建数据
printTeachers(tArray, len); //打印数据
system("pause");
return 0;
}
8.8.2 案例2
案例描述:
设计一个英雄的结构体,包括成员姓名,年龄,性别;创建结构体数组,数组中存放5名英雄。
通过冒泡排序的算法,将数组中的英雄按照年龄进行升序排序,最终打印排序后的结果。
五名英雄信息如下:
{"刘备",23,"男"},
{"关羽",22,"男"},
{"张飞",20,"男"},
{"赵云",21,"男"},
{"貂蝉",19,"女"},
示例:
//英雄结构体
struct hero
{
string name;
int age;
string sex;
};
//冒泡排序
void bubbleSort(hero arr[] , int len)
{
for (int i = 0; i < len - 1; i++)
{
for (int j = 0; j < len - 1 - i; j++)
{
if (arr[j].age > arr[j + 1].age)
{
hero temp = arr[j];
arr[j] = arr[j + 1];
arr[j + 1] = temp;
}
}
}
}
//打印数组
void printHeros(hero arr[], int len)
{
for (int i = 0; i < len; i++)
{
cout << "姓名: " << arr[i].name << " 性别: " << arr[i].sex << " 年龄: " << arr[i].age << endl;
}
}
int main() {
struct hero arr[5] =
{
{"刘备",23,"男"},
{"关羽",22,"男"},
{"张飞",20,"男"},
{"赵云",21,"男"},
{"貂蝉",19,"女"},
};
int len = sizeof(arr) / sizeof(hero); //获取数组元素个数
bubbleSort(arr, len); //排序
printHeros(arr, len); //打印
system("pause");
return 0;
}