第1题(单选题):
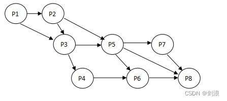
前趋图(Precedence Graph)是一个有向无环图,记为:→=(Pi,Pj)Pi must Complete Before Pj may strat), 假设系统中进程P={P1, P2,P3, P4, P5, P6, P7, P8}, 且进程的前驱图如下:

A.→={ (P1, P2) , (P3, P1) , (P4, P1), (P5, P2) , (P5, P3) , (P6, P4) , (P7, P5), (P7, P6) , (P5, P6), (P4, P5), (P6, P7) , (P7, P6) }
B.→={(P1, P2) , (P1, P3) , (P2, P5) , (P2, P3) , (P3, P4) , (P3, P5) ,(P4, P5) , (P5, P6) , (P5, P7) , (P8,P5), (P6, P7) , (P7, P8) }
C.→={(P1, P2) , (P1, P3) , (P2, P3), (P2, P5) , (P3, P4) , (P3, P5),(P4, P6) , (P5, P6) , (P5, P7) ,(P5, P8),(P6, P8) , (P7, P8) }
D.→={ (P1, P2) , (P1, P3) , (P2, P3), (P2, P5) , (P3, P6) , (P3, P4) ,(P4, P7) ,(P5, P6) , (P6, P7),(P6,P5),(P7, P5) , (P7, P8) }
第2题(单选题):
某计算机系统页面大小为4K,进程P1的页面变换表如下图所示,P1要访问数据的逻辑地址为十六进制1B1AH,那么该逻辑地址经过变换后,其对应的物理地址应为十六进制( )。
页号 | 物理块号 |
0 | 1 |
1 | 6 |
2 | 3 |
3 | 8 |
A.1B1AH B.3B1AH C.6B1AH D.8B1AH
第3题(单选题):
某文件系统文件存储采用文件索引节点法。假设文件索引节点中有8个地址项iaddr[0]~iaddr[7],每个地址项大小为4字节,其中地址项iaddr[0]~iaddr[4]为直接地址索引,iaddr[5]、iaddr[6]是一级间接地址索引,iaddr[7]是二级间接地址索引,磁盘索引块和磁盘数据块大小均为1KB,若要访问iclsClient.dll文件的逻辑块号分别为1、518,则系统应分别采用( )。
A.直接地址索引、直接地址索引
B.直接地址索引、一级间接地址索引
C.直接地址索引、二级间接地址索引
D.一级间接地址索引、二级间接地址索引
第4题(单选题):
假设系统中互斥资源R的可用数为25。T0时刻进程P1、P2、p3、P4对资源R的最大需求数、已分配资源数和尚需资源数的情况如表A所示,若P1和P3分别申请资源R数为1和2,则系统( )。
表A T0时刻进程对资源的需求情况
进程 | 最大需求数 | 已分配资源数 | 尚需资源数 |
P1 | 10 | 6 | 4 |
P2 | 11 | 4 | 7 |
P3 | 9 | 7 | 2 |
P4 | 12 | 6 | 6 |
A.只能先给P1进行分配,因为分配后系统状态是安全的
B.只能先给P3进行分配,因为分配后系统状态是安全的
C.可以同时给P1、P3进行分配,因为分配后系统状态是安全的
D.不能给P3进行分配,因为分配后系统状态是不安全的
第5题(单选题):
某企业开发信息管理系统平台进行E-R图设计,人力部门定义的员工实体具有属性:员工号、姓名、性别、出生日期、联系方式和部门,培训部门定义的培训师实体具有属性:培训师号,姓名和职称,其中职称={初级培训师,中级培训师,高级培训师},这种情况属于( ),在合并E-R图时,解决这一冲突的方法是( )。
问题1
A.属性冲突 B.结构冲突 C.命名冲突 D.实体冲突
问题2
A.员工实体和培训师实体均保持不变
B.保留员工实体、删除培训师实体
C.员工实体中加入职称属性,剔除培训师实体
D.将培训师实体所有属性并入员工实体,删除培训师实体
第6题(单选题):此题不完整
关系R、S如下表所示,则关系R与S进行自然连接运算后的属性列数和元组个数分别为( ),关系代数表达式 与关系代数表达式( )等价。
问题1
A. 6和7
B. 4和4
C. 4和3
D. 3和4
第7题(单选题):
一般说来,SoC称为系统级芯片,也称片上系统。它是一个有专用目标的集成电路产品。以下关于SoC不正确的说法是( )。
A.SoC是一种技术,是以实现从确定的系统功能开始,到软/硬件划分,并完成设计的整个
过程
B. SoC是一款具有运算能力的处理器芯片,可面向特定用途进行定制的标准产品
C. SoC是信息系统核心的芯片集成,是将系统关键部件集成在一块芯片上,完成信息系统的核心功能
D. SoC是将微处理器、模拟IP核、数字IP核和存储器(或片外存储控制接口)集成在单一芯片上,是面向特定用途的标准产品
第8题(单选题):
嵌入式实时操作系统与一般操作系统相比具备许多特点,以下不属于嵌入式实时操作系统特点的是( )。
A.可剪裁性 B.实时性 C.通用性 D.可固化性
第9题(单选题):
基于网络的数据库系统(Netware Database System,NDB)是基于4G/5G的移动通信之上,在逻辑上可以把嵌入式设备看作远程服务器的一个客户端。以下有关NDB的叙述中,不正确的是( )
A.NDB主要由客户端、通信协议和远程服务器等三部分组成
B.NDB的客户端主要负责提供接口给嵌入式程序,通信协议负责规范客户端与远程服务器之间的通信,远程服务器负责维护服务器上的数据库数据
C.NDB具有客户端小、无需支持可剪裁性、代码可重用等特点
D.NDB是以文件方式存储数据库数据。即数据按照一定格式储存在磁盘中,使用时由应用程序通过相应的驱动程序甚至直接对数据文件进行读写
第10题(单选题):
人工智能技术已成为当前国际科技竞争的核心技术之一, AI芯片是占据人工智能市场的法宝。AI 芯片有别于通常处理器芯片,它应具备四种关键特征。( )是AI芯片的关键特点。
A.新型的计算范式、信号处理能力、低精度设计、专用开发工具
B.新型的计算范式、训练和推断、大数据处理能力、可重构的能力
C.训练和推断、大数据处理能力、可定制性,专用开发工具
D.训练和推断、低精度设计、新型的计算范式、图像处理能力
第11题(单选题):
以下关于以太网交换机转发表的叙述中,正确的是_( )
A.交换机的初始MAC地址表为空
B.交换机接收到数据帧后,如果没有相应的表项,则不转发该帧
C.交换机通过读取输入帧中的目的地址添加相应的MAC地址表项
D.交换机的MAC地址表项是静态增长的,重启时地址表清空
第12题(单选题):
lnternet网络核心采取的交换方式为( )
A.分组交换
B.电路交换
C.虚电路交换
D.消息交换
第13题(单选题):
SDN(Software Defined Netwok)的网络架构中不包含( )。
A.逻辑层
B.控制层
C.转发层
D.应用层
第14题(单选题):
在Web服务器的测试中,反映其性能的指标不包括:( ),常见的 Web服务器性能评测方法有基准性能测试、压力测试和( )。
问题1
A 链接正确跳转
B 最大并发连接数
C 响应延迟
D 吞吐量
问题2
A.功能测试
B.黑盒测试
C.白盒测试
D.可靠性测试
第15题(单选题):
企业数字化转型的五个发展阶段依次是( )
A.初始级发展阶段、单元级发展阶段、流程级发展阶段、网络级发展险段、生态级发展阶段
B.初始级发展阶段、单元级发展阶段、系统级发展阶段、网络级发展阶段、生态级发展阶段
C.初始级发展阶段、单元级发展阶段、流程级发展阶段、网络服发展输段、优化级发展阶段
D.初始级发展阶段、流程级发展阶段、系统级发展险段、网络级发展阶段、生态级发展阶段
第16题(单选题):
从信息化建设的角度出发,以下说法错误的是( )
A.有效开发利用信息资源
B.大力发展信息产业
C.充分建设信息化政策法规和标准规范
D.信息化的主体是程序员和项目经理
第17题(单选题):
政府、企业等对信息化的需求是能组织信息化的原动力,它决定了组织信息化的价值取向和成果效益水平,而需求本身又是极为复杂的,它是一个系统性的、多层次的目标体系、组织信息化需求通常包含三个层次,即( ),三个层次的需求并不是相互孤立的,而是有着内在的联系。
A.战略需求,运作需求,功能需求
B.战略需术,运作需求,技术需求
C.市场需求,技术需求,用户需求
D.巿场需求,技术需求,领域需求
第18题(单选题):
为了加强软件产品管理,促进我国软件产业的发展,原信息产业部颁布了《软件产品管理办法》,“办法”规定,软件产品的开发,生产,销售,进出口等活动遵守我国有关法律,法规和标准规范,任何单位和个人不得开发,生产,销售,进出口含有以下内容的软件产品( )
①侵犯他人的知识产权
②含有计算机病毒
③可能危害计算机系统安全
④含有规定禁止传播的内容
⑤不符合我国软件标准规范
⑥未经正式批准
A.1236
B.12346
C.12345
D.123456
第19题(单选题):
某软件企业在项目开发过程中目标明确,实施过程遵守既定的计划与流程,资源准备充分,权责到人,对整个流程进行严格的监测,控制与审查,符合企业管理体系与流程制度。因此,该企业达到了CMMI评估的( )
A.可重复级
B.已定义级
C.量化级
D.优化级
第20题(单选题):
产品配置是指一个产品在其生命周期各个阶段所产生的各种形式(机器可读或人工可读)和各种版本的( )的集合
A.需求规格说明、设计说明、测试报告
B.需求规格说明、设计说明、计算机程序
C.设计说明、用户手册、计算机程序
D.文档、计算机程序、部件及数据
第21题(单选题):
需求管理的主要活动包括( )
A. 变更控制、版本控制、需求跟踪、需求状态跟踪
B. 需求获取、变更控制、版本控制、需求跟踪
C. 需求获取、需求建模、变更控制、版本控制
D. 需求获取、需求建模、需求评审、需求跟踪
第22题(单选题):
( )包括编制每个需求与系统元素之间的联系文档,这些元素包括其它需求、体系结构、设计部件、源代码模块、测试、帮助文件和文档等。
A. 需求描述
B. 需求分析
C. 需求获取
D. 需求跟踪
第23题(单选题):
根据传统的软件生命周期方法学,可以把软件生命周期划分为( )
A. 软件定义、软件开发、软件测试、软件维护
B. 软件定义、软件开发、软件运行、软件维护
C. 软件分析、软件设计、软件开发、软件维护
D. 需求获取、软件设计、软件开发、软件测试
第24题(单选题):
以下关于敏捷方法的描述中,不属于敏捷方法核心思想的是( )
A. 敏捷方法是适应型,而非可预测型
B. 敏捷方法以过程为本
C. 敏捷方法是以人为本,而非以过程为本
D. 敏捷方法是迭代代增量式的开发过程
第25题(单选题):
RUP(Rational Unified Process)软件开发生命周期是一个二维的软件开发模型,其中,RUP的9个核心工作流中不包括( )
A. 业务建模
B. 配置与变更管理
C. 成本
D.环境
第26题(单选题):
在软件开发和维护过程中,一个软件会有多个版本,( )工具用来存储、更新、恢复和管理一个软件的多个版本。
A. 软件测试
B. 版本控制
C. UML建模
D. 逆向工程
第27题(单选题):
结构化设计是一种面向数据流的设计方法,以下不属于结构化设计工具的是( )
A. 盒图
B. HIPO图
C. 顺序图
D. 程序流程图
第28题(单选题):
软件设计过程中,可以用耦合和内聚两个定性标准来衡量模块的独立程度,耦合衡量不同模块彼此间互相依赖的紧密程度,应采用以下设计原则( ),内聚衡量一个模块内部各个元素彼此结合的紧密程度,以下属于高内聚的是( )
问题1
A. 尽量使用内容耦合、少用控制耦合和特征耦合、限制公共环境耦合的范围、完全不用数据耦合
B. 尽量使用数据耦合、少用控制耦合和特征耦合、限制公共环境耦合的范围、完全不用内容耦合
C. 尽量使用控制耦合、少用数据耦合和特征耦合、限制公共环境耦合的范围、完全不用内容耦合
D. 尽量使用特征耦合、少用数据耦合和控制耦合、限制公共环境耦合的范围、完全不用内容耦合
问题2
A. 偶然内聚
B. 时间内聚
C. 功能内聚
D. 逻辑内聚
第29题(单选题):
UML( Unified Modeling Language)是面向对象设计的建模工具,独立于任何具体程序设计语言,以下( )不属于UML中的模型。
A. 用例图 B. 协作图 C. 活动图 D. PAD图
第30题(单选题):
使用McCabe方法可以计算程序流程图的环形复杂度,下图的环形复杂度为( )

A. 3
B. 4
C. 5
D. 6
第31题(单选题):
以下关于软件构件的叙述中,错误的是( )。
A. 构件的部署必须能跟它所在的环境及其他构件完全分离
B. 构件作为一个部署单元是不可拆分的
C. 在一个特定进程中可能会存在多个特定构件的拷贝
D. 对于不影响构件功能的某些属性可以对外部可见
第32题(单选题):
面向构件的编程目前缺乏完善的方法学支持,构件交互的复杂性带来了很多问题,其中( )问题会产生数据竞争和死锁现象。
A. 多线程
B. 异步
C. 封装
D. 多语言支持
第33题(单选题):
为实现对象重用,COM支持两种形式的外部对象的( )重用形式下,一个外部对象拥有指向一个内部对象的唯—引用,外部对象只是把请求转发给内部对象:在( )重用形式下,直接把内部对象的接口引用传给外部对象的客户,而不再转发请求。
问题1
A. 聚集
B. 包含
C. 链接
D. 多态
问题2
A. 引用
B. 转发
C. 包含
D. 聚集
第34题(单选题):
信息系统面临多种类型的网络安全威胁。其中,信息泄露是指信息被泄露或透露给某个非授权的实体;( )是指数据被非授权地进行修改;( )是指对信息或其他资源的合法访问被无条件地阻止;( )是指通过对系统进行长期监听,利用统计分析方法对诸如通信频度、通信的信息流向、通信总量的变化等参数进行研究,从而发现有价值的信息和规律。
问题1
A. 非法使用
B. 破环信息的完整性
C. 授权侵犯
D. 计算机病毒
问题2
A. 拒绝服务
B. 陷阱门
C. 旁路控制
D.业务欺骗
问题3
A. 特洛伊木马
B. 业务欺骗
C. 物理侵入
D. 业务流分析
第35题(单选题):
软件测试是保障软件质量的重要手段。( )是指被测试程序不在机器上运行,而采用人工监测和计算机辅助分析的手段对程序进行监测。( )也称为功能测试,不考虑程序的内部结构和处理算法,只检查软件功能是否能按照要求正常使用。
问题1
A. 静态测试
B. 动态测试
C. 黑盒测试
D. 白盒测试
问题2
A. 系统测试
B. 集成测试
C. 黑盒测试
D.白盒测试
第36题(单选题):
基于架构的软件设计(Archiecture-Based Software Design,ABSD)方法是架构驱动的方法,该方法是一个( )的方法,软件系统的架构通过该方法得到细化,直到能产生( )。
问题1
A. 自顶向下
B. 自底向上
C. 原型
D. 自顶向下和自底向上结合
问题2
A. 软件质量属性
B. 软件连接性
C. 软件构件或模块
D. 软件接口
第37题(单选题):
4+1视图模型可以从多个视图或视角来描述软件架构。其中,(46)用于捕捉设计的并发和同步特证;(47)描述了在开发环境中软件的静态组织结构。
问题1
A. 逻辑视图
B. 开发视图
C. 过程视图
D. 物理视图
问题2
A. 类视图
B. 开发视图
C. 过程视图
D. 用例视图
第38题(单选题):
软件架构风格是描述某一特定应用领域中系统组织方式的惯用模式,按照软件架构风格,物联网系统属于( )软件架构风格。
A. 层次型
B. 事件系统
C. 数据线
D. C2
第39题(单选题):
特定领域软件架构(Domam Specifie Sottware Architecture.DSSA)是指特定应用领域中为一组应用提供组织结构参考的标准软件架构。从功能覆盖的范围角度,( )定义了一个特定的系统族,包含整个系统族内的多个系统,可作为该领域系统的可行解决方案的一个通用软件架构;( )定义了在多个系统和多个系统族中功能区域的共有部分,在子系统级上涵盖多个系统族的特定部分功能。
问题1
A. 垂直域
B. 水平域
C. 功能域
D. 属性域
问题2
A. 垂直域
B. 水平域
C. 功能域
D. 属性域
第40题(单选题):
某公司拟开发一个个人社保管理系统,该系统的主要功能需求是根据个人收入、家庭负担、身体状态等情况,预估计算个人每年应支付的社保金,该社保金的计算方式可能随着经济的变化而动态改变,针对上述需求描述,该软件系统适宜采用( )架构风格设计,该风格的主要特点是( )。
问题1
A. Layered system
B. Data flow
C. Event system
D. Rule-based system
问题2
A. 将业务逻辑中频繁变化的部分定义为规则
B. 各构件间相互独立
C. 支持并发
D. 无数据不工作
第41题(单选题):
在架构评估过程中,评估人员所关注的是系统的质量属性。其中,( )是指系统的响应能力;即经过多长的间才能对某个事件做出响应,或者在某段时间内系统所能处理的事件的( )。
问题1
A. 安全性
B. 性能
C. 可用性
D. 可靠性
问题2
A. 个数
B. 速度
C. 消耗
D. 故障率
第42题(单选题):
在一个分布式软件系统中,一个构件失去了与另一个远程构件的连接。在系统修复后,连接于30秒之内恢复,系统可以重新正常工作。这一描述体现了软件系统的( )。
A. 安全性
B. 可用性
C. 兼容性
D. 可移植性
第43题(单选题):
安全性是根据系统可能受到的安全威胁的类型来分类的。其中,( )保证信息不泄露给未授权的用户、实体或过程; ( )保证信息的完整和准确,防止信息被篡改。
问题1
A. 可控性
B. 机密性
C. 安全审计
D. 健壮性
问题2
A. 可控性
B. 完整性
C. 不可否认性
D. 安全审计
第44题(单选题):
在架构评估中,场景是从( )的角度对与系统交互的描述,一般采用( )三方面来对场景进行描述。
问题1
A. 系统设计者
B. 系统开发者
C. 风险承担者
D. 系统测试者
第45题(单选题):
在架构评估中,( )是一个或多个构件(和或构件之间的关系的特性。改变加密级别的设计决策属于( ) ,因为它可能会对安全性和性能产生非常重要的影响。
问题1
A. 敏感点
B. 非风险点
C. 权衡点
D. 风险点
问题2
A. 敏感点
B. 非风险点
C. 权衡点
D. 风险点
第46题(单选题):
在三层C/S架构中,( )是应用的用户接口部分,负责与应用逻辑间的对话功能;( )是应用的本体,负责具体的业务处理逻辑。
问题1
A. 表示层
B. 感知层
C. 设备层
D. 业务逻辑层
问题2
A. 数据层
B. 分发层
C. 功能层
D. 算法层
第47题(单选题):
赵某购买了一款有注册商标的应用App,擅自复制成光盘出售,其行为是侵犯( )的行为。
A. 注册商标专用权
B. 软件著作权
C. 光盘所有权
D. 软件专利权
第48题(单选题):
下列关于著作权归属的表述,正确的是( )。
A. 改编作品的著作权归属于改编人
B. 职务作品的著作权都归属于企业法人
C. 委托作品的著作权都归属于委托人
D. 合作作品的著作权归属于所有参与和组织创作的人
第49题(单选题):
X公司接受Y公司的委托开发了一款应用软件,双方没有订立任何书面合同。在此情形下,( )享有该软件的著作权。
A. x、Y公司共同
B. X公司
C. Y公司
D. X、Y公司均不
第50题(单选题):
某Web网站向CA申请了数字证书。用户登录过程中可通过验证( )确认该数字证书的有效性,以( )。
问题1
A. CA的签名
B. 网站的签名
C. 会话密钥
D. DES密码
问题2
A. 向网站确认自己的身份
B. 获取访问网站的权限
C. 和网站进行双向认证
D. 验证该网站的真伪
第51题(单选题):
非负变量x和y,在x≤4,y≤3和x+2y≤8的约束条件下,目标函数2x+3y的最大值为( )。
A. 13
B. 14
C. 15
D. 16
第52题(单选题):
某项目包括A~G七个作业,各作业之间的衔接关系和所需时间如下表:
其中,作业C所需的时间,乐观估计为5天,最可能为14天,保守估计为17天。假设其他作业都按计划进度实施,为使该项目按进度计划如期全部完成。作业C( )。

A. 必须在期望时间内完成
B. 必须在14天内完成
C. 比期望时间最多可拖延1天
D. 比期望时间最多可拖延2天
第53题(单选题):
The prevailing distributed computing model of the curent era is called ctiem servarcomputing.A( ) tafi,is a solution in which the presentation.presentatoanaogic.application logic,data manipulation and data layers are distributed between client PCs and one or more servers.A ( ) is a personal computer that does not have to be very powerfil in terms of processor speed and memory because it only presents the interface to the user.A ( ) is a personal computer,notebook.computer,or workstation that is typically more powerfil in terms of processor speed,memory,and storage capacity.A ( )hosts one or more shamad database but also executes all database commands and services for information systems.A (n)( )hosts Internet or intranet web sites,it communicates with clients by returning to them documents and data.
问题1
A. client/Server system
B. Client-side
C. Serve-sider
D. Database
问题2
A. Serve-sider
B. Browser
C. Fat client
D. Thin client
问题3
A. Cloud platform
B. Cluster system
C. Fat client
D. Thin client
问题4
A. Transaction server
B. Database serverer
C. Application server
D. Message server
问题5
A. Database server
B. Message server
C. web server
D. Application server
2021年系统架构设计师考试上午答案
1、C 2、C 3、C 4、B 5、BC 6、XX 7、B 8、C 9、C 10、B
11、A 12、A 13、A 14、AD 15、A 16、D 17、B 18、C 19、B 20、D
21、A 22、D 23、B 24、B 25、C 26、B 27、C 28、BC 29、D 30、B
31、D 32、A 33、BD 34、BAD 35、AC 36、AC 37、CB 38、A 39、AB
40、DA 41、BA 42、B 43、BB 44、CA 45、AC 46、AC 47、B 48、A
49、B 50、AD 51、B 52、D 53、ADCBC