目录
专题二:链表
经典做法:双指针一起走、三指针一起走、加伪头节点
LeetCode 19 删除链表的倒数第N个节点
题目:https://leetcode-cn.com/problems/remove-nth-node-from-end-of-list/submissions/
给定一个链表,删除链表的倒数第 n 个节点,并且返回链表的头结点。
示例:
给定一个链表: 1->2->3->4->5, 和 n = 2.
当删除了倒数第二个节点后,链表变为 1->2->3->5.1、分析
- 由于头节点也可能被删除,所以需要加上伪头节点。
- 采用双指针一起走法,即先用一个指针p走n步,再用另一个指针q从起点出发,两指针同时往后走,当p走到最后一个节点时,停止往后走,这时q的下一个节点即是需要删除的节点。
- 删除q的下一个节点:q->next=q->next->next
双指针走法,保证了只对链表遍历一遍的时间复杂度O(n)
tip:若希望指针p走到最后一个节点停止,则循环判断的条件是:while(p->naxt)
若希望指针p走到最后一个节点的下一个节点停止,则循环判断的条件是:while(p)
2、 代码
/**
* Definition for singly-linked list.
* struct ListNode {
* int val;
* ListNode *next;
* ListNode(int x) : val(x), next(NULL) {}
* };
*/
class Solution {
public:
ListNode* removeNthFromEnd(ListNode* head, int n) {
auto pre=new ListNode(-1);
pre->next=head;
auto p=pre;
while(n--) //p先往后走n步
{
p=p->next;
}
auto q=pre;
while(p->next) //p和q同时走
{
p=p->next;
q=q->next;
}
q->next=q->next->next; //删除q的下一个节点
return pre->next; //返回头节点
}
};LeetCode 237 删除链表中的节点
题目:https://leetcode-cn.com/problems/delete-node-in-a-linked-list/submissions/
请编写一个函数,使其可以删除某个链表中给定的(非末尾)节点,你将只被给定要求被删除的节点。
现有一个链表 -- head = [4,5,1,9],它可以表示为:

示例 1:
输入: head = [4,5,1,9], node = 5
输出: [4,1,9]
解释: 给定你链表中值为 5 的第二个节点,那么在调用了你的函数之后,该链表应变为 4 -> 1 -> 9.1、分析
我们可以让下一个节点伪装成我们要删除的当前节点,即先让当前节点的值等于下一个节点的值,此时删除节点即可变成下一个节点,再删除下一个节点即可。
node->val=node->next->val; //让当前节点的值等于下一个节点的值
node->next=node->next->next; //删除下一个节点以上两句可以合并成一句:(*node)=(*node->next)
2、代码
/**
* Definition for singly-linked list.
* struct ListNode {
* int val;
* ListNode *next;
* ListNode(int x) : val(x), next(NULL) {}
* };
*/
class Solution {
public:
void deleteNode(ListNode* node) {
(*node)=(*node->next);
}
};LeetCode 83 删除排序链表中的重复元素
题目:https://leetcode-cn.com/problems/remove-duplicates-from-sorted-list/
给定一个排序链表,删除所有重复的元素,使得每个元素只出现一次。
示例 1:
输入: 1->1->2
输出: 1->21、分析
采用双指针法
- 指针p用来遍历整个链表
- 指针q每次从p出发,往后遍历重复元素
- 当重复元素都删除了,p继续往下走,q重复上一步
2、代码
/**
* Definition for singly-linked list.
* struct ListNode {
* int val;
* ListNode *next;
* ListNode(int x) : val(x), next(NULL) {}
* };
*/
class Solution {
public:
ListNode* deleteDuplicates(ListNode* head) {
auto p=head;
while(p)
{
auto q=p->next;
while(q)
{
if(q->val==p->val)
p->next=q->next;
else break;
q=q->next;
}
p=p->next;
}
return head;
}
};LeetCode 61 旋转链表
题目:https://leetcode-cn.com/problems/rotate-list/submissions/
给定一个链表,旋转链表,将链表每个节点向右移动 k 个位置,其中 k 是非负数。
示例 1:
输入: 1->2->3->4->5->NULL, k = 2
输出: 4->5->1->2->3->NULL
解释:
向右旋转 1 步: 5->1->2->3->4->NULL
向右旋转 2 步: 4->5->1->2->3->NULL1、分析
旋转k步即是把倒数k个节点移到链表前面。首先和LeetCode 19题一样,采用双指针一起走法找到倒数第k个节点的前一个节点位置q,此时p指向最后一个节点,让p指向头,头指向q的下一个节点,q指向NULL.

2、代码
/**
* Definition for singly-linked list.
* struct ListNode {
* int val;
* ListNode *next;
* ListNode(int x) : val(x), next(NULL) {}
* };
*/
class Solution {
public:
ListNode* rotateRight(ListNode* head, int k) {
if(head==NULL) return head;
int n=0;
for(auto p=head;p;p=p->next) n++; //因为head为NULL时,n=0,所以需要单独考虑
auto pre=new ListNode(-1);
pre->next=head;
k=k%n; //这是一个循环的操作,循环倍数就是链表的长度,所以先模n
auto p=pre;
while(k--)
{
p=p->next;
}
auto q=pre;
while(p->next)
{
p=p->next;
q=q->next;
}
p->next=pre->next;
pre->next=q->next;
q->next=NULL;
return pre->next;
}
};LeetCode 24 两两交换链表中的节点
题目:https://leetcode-cn.com/problems/swap-nodes-in-pairs/submissions/
给定一个链表,两两交换其中相邻的节点,并返回交换后的链表。
你不能只是单纯的改变节点内部的值,而是需要实际的进行节点交换。
示例:
给定
1->2->3->4, 你应该返回 2->1->4->3.1、分析
采用三指针一起走法,由于头节点可能改变,所以需要创建一个伪头节点

如上图所示,我们需要交换b和c,则先有一个a指向b,1)b->next=c->next;2)c->next=b;3)a->next=c
再一起把abc指针后移,交换3和4
2、代码
/**
* Definition for singly-linked list.
* struct ListNode {
* int val;
* ListNode *next;
* ListNode(int x) : val(x), next(NULL) {}
* };
*/
class Solution {
public:
ListNode* swapPairs(ListNode* head) {
auto pre=new ListNode(-1);
pre->next=head;
auto a=pre;
while(a&&a->next&&a->next->next)
{
auto b=a->next;
auto c=b->next;
b->next=c->next;
c->next=b;
a->next=c;
a=b;
}
return pre->next;
}
};LeetCode 206 反转链表
题目:https://leetcode-cn.com/problems/reverse-linked-list/
反转一个单链表。
示例:
输入: 1->2->3->4->5->NULL
输出: 5->4->3->2->1->NULL1、分析
采用三指针一起走法,反转链表即是让链表的每个指针反转,由于头节点可能会改变,所以创建一个伪头节点。

如上图所示,反转ab之间的指针方向。
2、代码
/**
* Definition for singly-linked list.
* struct ListNode {
* int val;
* ListNode *next;
* ListNode(int x) : val(x), next(NULL) {}
* };
*/
class Solution {
public:
ListNode* reverseList(ListNode* head) {
if(!head||!head->next) return head;
auto pre=new ListNode(-1);
pre->next=head;
auto a=head;
auto b=a->next;
while(b)
{
auto c=b->next;
b->next=a;
a=b;
b=c;
}
pre->next->next=NULL;
pre->next=a;
return pre->next;
}
};LeetCode 92 反转链表II
题目:https://leetcode-cn.com/problems/reverse-linked-list-ii/
反转从位置 m 到 n 的链表。请使用一趟扫描完成反转。
说明:
1 ≤ m ≤ n ≤ 链表长度。
示例:
输入: 1->2->3->4->5->NULL, m = 2, n = 4
输出: 1->4->3->2->5->NULL1、分析
由于头节点可能改变,所以创建一个伪头节点。先记录要反转的第一个节点的前一个节点,记为p。然后反转n-m长度的链表。再把链表重新串起来。

链表反转和上一题思路一样,上图的3和4做法是:p->next->next=b、p->next=a
2、代码
/**
* Definition for singly-linked list.
* struct ListNode {
* int val;
* ListNode *next;
* ListNode(int x) : val(x), next(NULL) {}
* };
*/
class Solution {
public:
ListNode* reverseBetween(ListNode* head, int m, int n) {
if(m==n) return head;
int d=n-m;
auto pre=new ListNode(-1);
pre->next=head;
auto p=pre;
while(--m)
{
p=p->next;
}
auto a=p->next;
auto b=a->next;
while(d--)
{
auto c=b->next;
b->next=a;
a=b;
b=c;
}
p->next->next=b;
p->next=a;
return pre->next;
}
};LeetCode 160 相交链表
题目:https://leetcode-cn.com/problems/intersection-of-two-linked-lists/
编写一个程序,找到两个单链表相交的起始节点。
如下面的两个链表:

在节点 c1 开始相交。
1、分析
让两个指针pA、pB分别从A和B同时出发,当走到链表尽头时,再从另一个链表的头开始重新往后走,则一定会在相交点相遇。
2、代码
/**
* Definition for singly-linked list.
* struct ListNode {
* int val;
* ListNode *next;
* ListNode(int x) : val(x), next(NULL) {}
* };
*/
class Solution {
public:
ListNode *getIntersectionNode(ListNode *headA, ListNode *headB) {
auto pA=headA;
auto pB=headB;
while(pA!=pB)
{
if(!pA) pA=headB;
else pA=pA->next;
if(!pB) pB=headA;
else pB=pB->next;
}
return pA;
}
};LeetCode 142 环形链表II
题目:https://leetcode-cn.com/problems/linked-list-cycle-ii/submissions/
给定一个链表,返回链表开始入环的第一个节点。 如果链表无环,则返回 null。
为了表示给定链表中的环,我们使用整数 pos 来表示链表尾连接到链表中的位置(索引从 0 开始)。 如果 pos 是 -1,则在该链表中没有环。
示例 1:
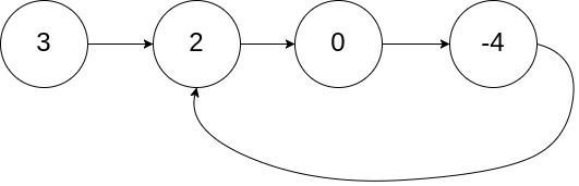
输入:head = [3,2,0,-4], pos = 1
输出:tail connects to node index 1
解释:链表中有一个环,其尾部连接到第二个节点。
1、分析

如上图所示,我们有一个快慢指针fast、slow,fast每次走两步,slow每次走一步,当slow走到slow1处时,假设fast走到fast1处,此时slow走了x步,fast走了2x步,假设fast1距离slow1还有y步,则此时slow继续走y步,fast继续走2y步,则此时slow和fast在如图slow2和fast2处相遇,再把slow重新放到起点开始,之后fast和slow同时往后每走一步,则一定在slow1处相遇,即为环的交点处。因为之后两个指针要走的距离都是x步。
2、代码
/**
* Definition for singly-linked list.
* struct ListNode {
* int val;
* ListNode *next;
* ListNode(int x) : val(x), next(NULL) {}
* };
*/
class Solution {
public:
ListNode *detectCycle(ListNode *head) {
if(!head) return head;
auto fast=head;
auto slow=head;
while(fast)
{
fast=fast->next;
slow=slow->next;
if(fast)
{
fast=fast->next;
if(fast==slow) //第一次相遇,让slow重回起点
{
slow=head;
while(fast!=slow) //第二次相遇即为环的交点
{
fast=fast->next;
slow=slow->next;
}
return fast;
}
}
}
return NULL;
}
};LeetCode 148 排序链表
题目:https://leetcode-cn.com/problems/sort-list/
在 O(n log n) 时间复杂度和常数级空间复杂度下,对链表进行排序。
示例 1:
输入: 4->2->1->3
输出: 1->2->3->41、分析
采用自顶向下的归并排序,需要用到递归,而递归需要用到系统栈,递归的深度是logn,所以空间复杂度为O(logn),不满足常数级空间复杂度,因此采用自低向上的归并排序。先两两排序,再根据排序结果4个一组,用归并排序。
2、代码
/**
* Definition for singly-linked list.
* struct ListNode {
* int val;
* ListNode *next;
* ListNode(int x) : val(x), next(NULL) {}
* };
*/
class Solution {
public:
ListNode* sortList(ListNode* head) {
auto pre=new ListNode(-1);
pre->next=head;
int n=0;
for(auto p=head;p;p=p->next) n++;
for(int i=1;i<n;i*=2) //枚举每一段的长度
{
auto begin=pre;
for(int j=0;j+i<n;j+=i*2) //对每一段进行归并
{
auto first=begin->next,second=first;
for(int k=0;k<i;k++) second=second->next;
int f=0,s=0;
while(f<i&&s<i&&second)
{
if(first->val<second->val)
{
begin=begin->next=first;
first=first->next;
f++;
}
else
{
begin=begin->next=second;
second=second->next;
s++;
}
}
while(f<i)
{
begin=begin->next=first;
first=first->next;
f++;
}
while(s<i&&second)
{
begin=begin->next=second;
second=second->next;
s++;
}
begin->next=second; //把下一段连接起来
}
}
return pre->next;
}
};