参考文章:
1 Doxygen简介
1.1 What to do?
使用Doxygen生成文档,主要是两件事:
写一个配置文件(Doxyfile),一般用Doxywizard生成后,再手工修改[不建议使用,不直观,比较麻烦]。或者可以用辅助的GUI工具帮助书写,你只需要改几个选项,点几下按钮就可以了(在下面有介绍)。
按照Doxygen的约定,将代码“文档化”。
如果已经有配置文件(Doxyfile),执行命令:doxygen Doxyfile,就会输入文件、输出目录、参数等都是在Doxyfile中配置好的,在/doc/html/index.html中查看。
1.2 What you want?
Doxygen的输出格式主要有HTML、LATEX、RTF等:
Doxygen在输出HTML文档时,可以自动准备用于制作CHM的项目文件(.hhp)、目录文件(.hhc)和索引文件(.hhk)。用HTML Help Workshop中的CHM编译器(hhc.exe)编译后生成CHM文件。
Doxygen在输出LATEX文档的同时准备了转换到pdf格式的makefile。只要系统安装了合适的TEX工具,就可以从LATEX文档生成pdf文档。
Doxygen输出的RTF格式,已经针对Word作了优化,可以较好地转换到Word文档。
1.3 install
如果你电脑里可能还没有doxygen,我们先来安装一下:
sudo apt-get install doxygen doxygen-gui //就是上面提到的GUI,不用再写Doxyfile,用GUI工具。
[sudo] password forwj:
Reading package lists... Done
Building dependency tree
Reading state information... Done
The following package was automatically installed andisno longer required:
libopencc1
Use'apt-get autoremove'to remove it.
Suggested packages:
doxygen-doc
The following NEW packages will be installed:
doxygen-gui0 upgraded, 1 newly installed, 0 to remove and 354not upgraded.
Need toget 279kB of archives.
Afterthis operation, 671kB of additional disk space will be used.
Get:1 http://cn.archive.ubuntu.com/ubuntu/ trusty/universe doxygen-gui amd64 1.8.6-2 [279 kB]
Fetched 279 kB in 0s (291 kB/s)
Selecting previously unselected package doxygen-gui.
(Reading database ...264559files and directories currently installed.)
Preparing to unpack .../doxygen-gui_1.8.6-2_amd64.deb ...
Unpacking doxygen-gui (1.8.6-2) ...
Processing triggersfor man-db (2.6.7.1-1ubuntu1) ...
Setting up doxygen-gui (1.8.6-2) ...
总之,主要是doxygen本体和它的gui模块。如果你不确定,请用这个查一下。
j@wj-Inspiron-5437:~$ apt-cache search doxygen-gui
doxygen-gui - GUI configuration tool for doxygen
拿以难读著称的lsd-slam举个例子。
[1]首先,建个文件夹,把lsd-slam的代码拷下来:
git clone https://github.com/tum-vision/lsd_slam.git
[2]在该文件夹下开一个doc文件夹,把一会儿生成的文档放里头:
mkdir doc;
cd doc
[3]输入doxywizard调出gui面板。
wj@wj-Inspiron-5437:~/Downloads/lsd_slam/doc$ doxywizard
然后就会出一个面板啦...
step1---Wizard

1.“Project”:

[1]Doxygen工作目录填写,即doc所在路径。
[2]Project name那些东西随意,可以不设。
[3]重要的是源代码目录source code directory,请把它设到lsd_slam_core/src下,并钩上Scan recursively,表明我们要扫描子文件夹。
[4]输出文件夹设成当前目录./即可,也就是/home/wj/Downloads/lsd_slam/doc
2.进入下一个版块“Mode”,点“Next”。选择All Entities,可以输出相对完整的功能,是否包含源代码看自身情况;在下面选择好自己的语言,既然咱们用c++,保持默认的就可以了。
3.“Output”:如果你需要输出chm格式,勾选chm,没有要求的话html就可以了

4.Diagrams:选择使用GraphViz包,来输出UML,GraphViz包可以帮助建立一些树状视图。

step2---Expert
需要首选确定你所输出的语言,很重要的是INPUT_ENCODING项,如果使用的为微软默认字符集请填写GBK,不然目录乱码,当前选择UTF-8,输出语言选择的是Chinese.

step3---Run
准备工作完成啦!切到Run,点“Run doxygen",等文档生成完。然后点“show html output",就可以在浏览器里看到文档啦。如果你下一次想直接看,直接打开doc/html/index.html就可以了!


看这个比看源代码效果更高哦!
附:原理图

2 Graphviz简介
Graphviz是一个图形可视化软件。Doxygen使用Graphviz生成各种图形,例如类的继承关系图、合作图,头文件包含关系图等。适用于大多数平台的二进制文件可以在 Graphviz官网 上找到,AIX 二进制文件可以在 perzl.org 上找到。Doxygen使用了Graphviz的布局引擎dot,所以在文档中将其称作dot。
install
$ sudo apt-get install graphviz graphviz-doc //这样会安装dot语言的执行文件,执行文件路径在/usr/bin/dot
可以来个测试:
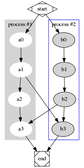
[1]自己创建一个test.dot (更多例子可以参见官方文档)---dot
digraph G {
subgraph cluster0 {
node[style=filled, color=white];
style=filled;
color=lightgrey;
a0->a1->a2->a3;
label="process #1";
}
subgraph cluster1 {
node[style=filled];
color=blue;
b0->b1->b2->b3;
label="process #2";
}
start->a0;
start->b0;
a1->b3;
b2->a3;
a3->end;
b3->end;
start[shape=Mdiamond];
end[shape=Msquare];
}
[2]执行命令:
$ dot -Tpng test.dot -o test.png //都是用来生成图片,选择其中一个即可。
$ dot -Tsvg test.dot -o test.svg
$ dot -Tpdf test.dot -o test.pdf
[3]结果:
