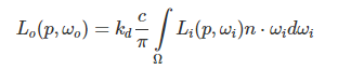
将CubeMap的每个像素当成一个光源。
漫反射IBL

预计算出一个新的cubemap,存储了用卷积计算的每个采样方向ωo的漫反射积分结果。
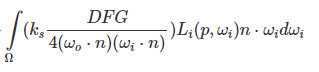
镜面的IBL

镜面反射部分依赖于入射光方向和视线入射方向,尝试实时计算有入射光和所有入射视线的积分是几乎不可能的。
使用预卷积镜面反射部分的方法:分裂和近似法。
版权声明:本文为men_tou原创文章,遵循CC 4.0 BY-SA版权协议,转载请附上原文出处链接和本声明。
将CubeMap的每个像素当成一个光源。

预计算出一个新的cubemap,存储了用卷积计算的每个采样方向ωo的漫反射积分结果。

镜面反射部分依赖于入射光方向和视线入射方向,尝试实时计算有入射光和所有入射视线的积分是几乎不可能的。
使用预卷积镜面反射部分的方法:分裂和近似法。