矩阵的范数 之 常用不等式(一)
上一篇文章根据矩阵范数的定义介绍了 范数的相容性矩阵的范数 之 常用不等式 。今天接着利用范数的定义,解释一下矩阵的二范数为什么等于它的奇异特征值的最大值。欢迎大家批评,指正,留言,分享!
---------------------------------------------------------------------------------------------------------------------------------
---------------------------------------------------------------------------------------------------------------------------------
矩阵常用范数为诱导范数(induced norm),定义为

P代表是什么范数(1-,2-等范数啦)。 因为本文介绍二范数,我们只需令p=2, 即

为求(1)式右边的max 这一项, 只需做如下简单分析(我们只分析实数矩阵,复数矩阵一样的道理。目前为止,我还未遇到过复数矩阵的分析,按下不表。)

其中不等式(2)用到了一个常用公式,对于一个对称矩阵,

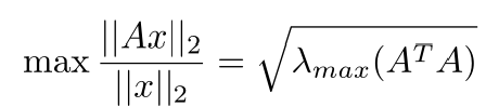
好像公式有点多了,马上给结论。 由不等式(2)可得,

结合公式(1)就得出了

问题得证, 矩阵二范数等于它的奇异特征值的最大值。
稍微一点延伸, 我们用作分析的矩阵经常是对称矩阵, 那么对称矩阵的二范数等于什么呢?
如果A是对称矩阵,通过(5)就可以得到,它的二范数就等于A的绝对值最大的那个特征值(啰嗦一句,因为
)。
以上!
版权声明:本文为weixin_39607798原创文章,遵循CC 4.0 BY-SA版权协议,转载请附上原文出处链接和本声明。