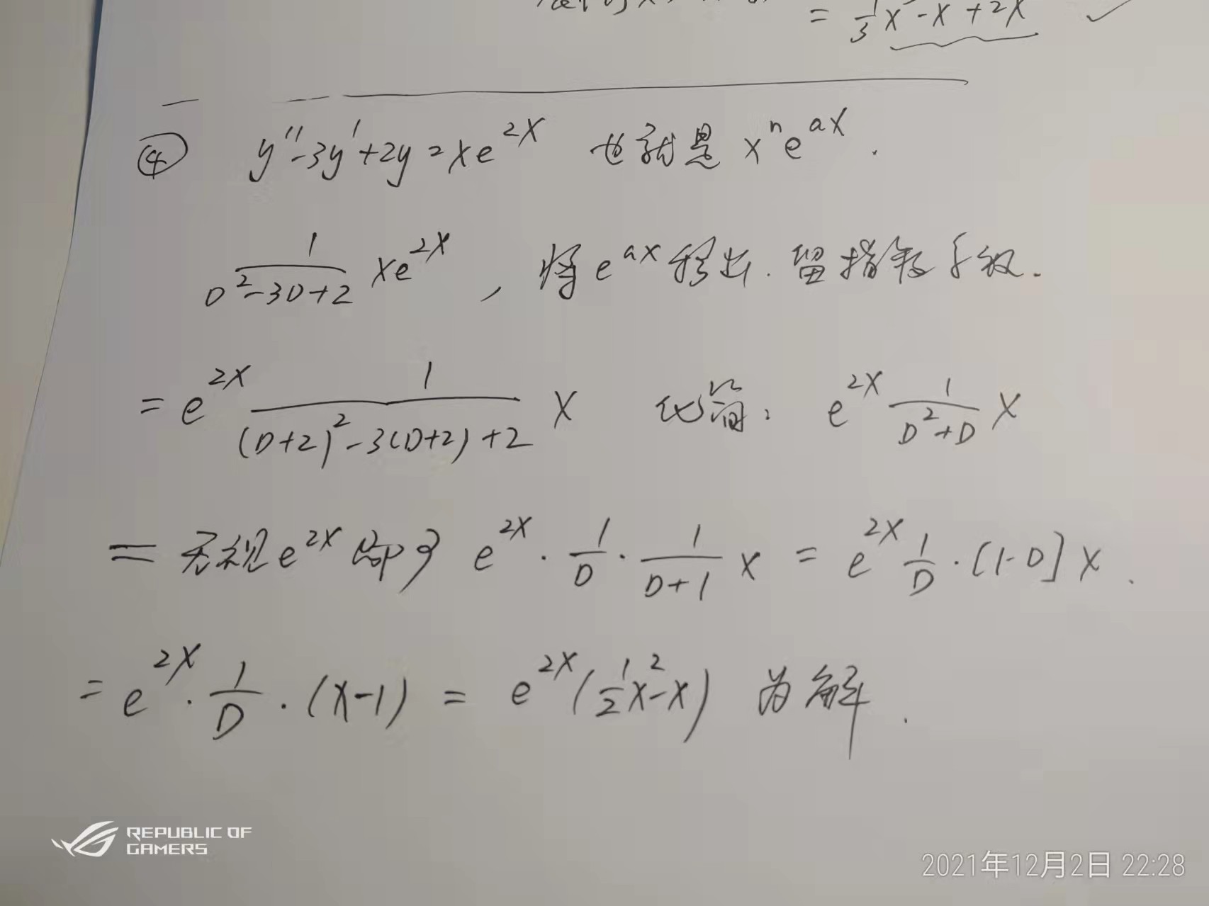
陈文灯老师创立的微分算子法,在求解特定的微分方程能够省去大部分的计算时间。
很久不写了,这篇为了回顾方便。
一同有四种总结




感谢B站BV1D5411776Q的总结!
考研加油!稳定发挥!
版权声明:本文为qq_43515011原创文章,遵循CC 4.0 BY-SA版权协议,转载请附上原文出处链接和本声明。
陈文灯老师创立的微分算子法,在求解特定的微分方程能够省去大部分的计算时间。
很久不写了,这篇为了回顾方便。
一同有四种总结




感谢B站BV1D5411776Q的总结!
考研加油!稳定发挥!