


1 函数的单调性

2 函数的奇偶性

3 函数在某处的导数的几何意义

4 几种常见函数的导数

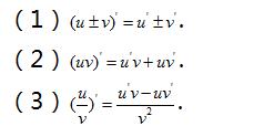
5 导数的运算法则

6 求函数的极值

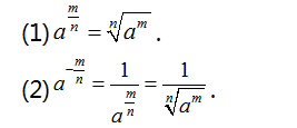
7 分数指数幂

8 根式的性质

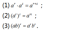
9 有理数指数幂的运算性质

10 对数公式

11 常见的函数图像

12 同角三角函数的基本关系式

13 正弦、余弦的诱导公式

14 和角与差角公式

15 二倍角公式

16 三角函数的周期

17 正弦定理

18 余弦定理

19面积定理

20三角形内角和定理

21a与b的数量积

22平面向量的坐标运算

23两向量的夹角公式

24平面两点间距离公式

25向量的平行与垂直

26数列通项公式与前n项和的关系

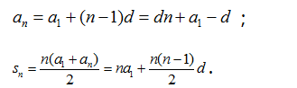
27等差数列通项公事与前n项和公式

28等差数列的性质

29等比数列的通项公式与前n项和公式

30等比数列的性质

31常用不等式

32直线的三角方程

33两条直线的垂直和平行

34点到直线的距离

35圆的两种方程

36点与圆的位置关系

37直线与圆的位置关系

38椭圆、双曲线、抛物线的性质

39双曲线方程与渐近线方程的关系

40抛物线的焦半径公式

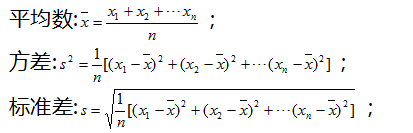
41平方差标准差的计算

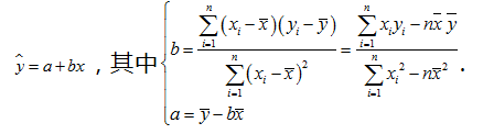
42回归直线方程

43独立性检验

44复数

45参数方程、极坐标化为直角坐标

高中数学 必修1-5常考难点全总结!掌握后也能考到120+
高中数学高一到高三知识思维导图全汇总,高中三年都适用!收藏备用
干货丨高中数学100个核心考点,考试复习必备神器!
高中数学 | 高考数学公式大全汇总,高一、高二、高三速收藏!
好资料,马上收藏、分享、转发哦!
特别声明:
本文素材源自中学资料,版权归原作者所有,如涉及版权等问题,请及时与我们联系删除。

戳原文阅读,看更多资料!
为小编点赞 