概念
我们之前学习的树,都是一个结点可以有多个孩子,但是自身只存储一个元素。二叉树的限制会更多,节点最多只能有两个孩子。
一个结点只能存储一个元素,在元素非常多的时候,就使得要么树的度非常大(结点拥有子树的最大值),要么树的度非常大,甚至两者都必须足够大才行,这就使得内存存取外存次数非常多,这显然成了时间效率上的瓶颈,这迫使我们要打破每一个结点只存储一个元素的限制,为此引入了多路查找树的概念。
多路查找树(muitl-way search tree):其每一个结点的孩子数可以多于两个,且每个结点处可以存储多个元素。
由于它是查找树,所有元素之间存在某种特定的排序关系。
2-3树
2-3树是一颗多路查找树:其中的每一个结点都具有两个孩子(称为2结点)或三个孩子(3结点)。
一个2结点包含一个元素和两个孩子(或没有孩子),且与二叉排序树相似。左子树包含元素小于该元素,右子树包含的元素大于该元素。不过,与二叉排序树不同的是,这个2结点要么没有孩子,要有就是两个孩子,不能只有一个孩子。
一个3结点包含一小一大两个元素的和三个孩子(或没有孩子) 一个三结点要么没有孩子,要么具有三个孩子。如果某3结点有孩子的话,左子树包含小于较小元素的元素,右子树包含大于较大元素的元素,中间子树包含介于两元素之间的元素。
并且2-3树中所有的叶子都在同一层次上。如图1-1所示,就是一颗有效的2-3树。
2-3树的插入实现
对于2-3树的插入来说,与二叉排序树相同,插入操作一定是发生在叶子结点上,与二叉排序树不同的是,2-3树插入一个元素的过程有可能会对该树的其余结构产生连锁反应。
2-3树插入可以分为三种情况。
对于空树,插入一个2结点即可。
插入到一个2结点的叶子上,应该说,由于其本身就只有一个元素,所以只需要将其升级为3结点即可。如图1-2所示。我们希望从左图的2-3树中插入元素3,根据遍历可知,3比8小,比4小,于是就只能考虑叶子节点1所在的位置,因此很自然的想法就是将此结点变成一个3结点,即右图这样完成插入操作。当然要视插入的元素与当前叶子节点的元素比较大小后,决定谁在左,谁在右。

图1-2 要往3结点中插入一个新元素。因为3结点本身已经是2-3树的结点最大容量(已经有两个元素),因此就需要将其拆分,且将树中两元素或插入元素三者中选择其一向上移动一层。
第一种情况,如图1-3所示,现在需要向左图中插入元素5。经遍历得到元素5比8小比4大,因此它应该是需要插入在拥有6,7元素的3结点位置。问题就,在于6和7结点已经是3结点,不能在加,此时发现他的双亲结点4是一个2结点。因此考虑将它升级为3结点,这样他就得有三个孩子,于是想到,将6,7结点拆分,让6与4成为3的结点,将5成为他的中间孩子,将7成为他的右孩子。
另外一种情况,如图1-4所示,需要向图中插入元素11,。经过遍历得到元素11比12,14小,比9,10大,因此他应该说是需要插入拥有9,10元素的3结点位置。同样的道理,9,10结点不能在增加节点,此时发现他的双亲结点12,14也是一个3结点,也不能在插入元素了,再往上看12,14结点的双亲,节点8是个2节点,于是就想到了,将9,10拆分,12,14也拆分,让根结点8升级为3结点。
2-3树的删除实现
2-3树的删除也分为3种情况,与插入相反,我们从3结点开始说。
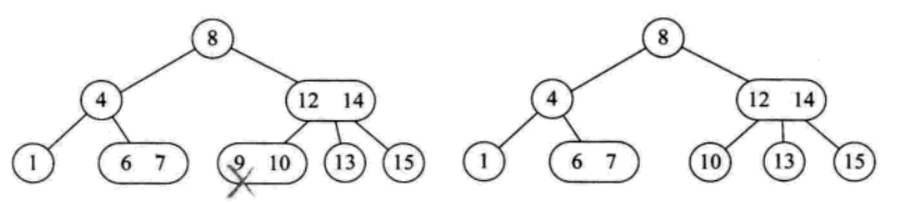
所删除元素位于一个3结点的叶子节点上,这就最简单的,只要在该结点处删除该元素即可,不会影响到整棵树的其他节点结构,如图1-5所示,删除元素9,只需要将此结点改成只有元素10的2结点即可。

图1-5 删除的元素位于一个2结点上,即要删除的是一个只有一个元素的结点。如果按照以前对树的理解,删除即可,可现在的2-3树的定义告诉我们这样做是行不通的,如图1-6所示,如果我们删除了结点1,那么结点4本来是一个2结点,此时他就不满足了,改变了树的结构。

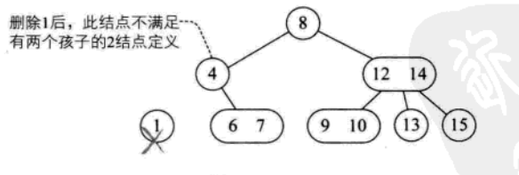
因此,对于删除叶子是2结点的情况,我们需要分四种情形来处理。
情况一,此结点的双亲也是2结点,且拥有一个3结点的右孩子,如图1-7所示。删除结点1,那么只需要左旋转,也就是6成为双亲,4成为6的左孩子,7是6的右孩子。
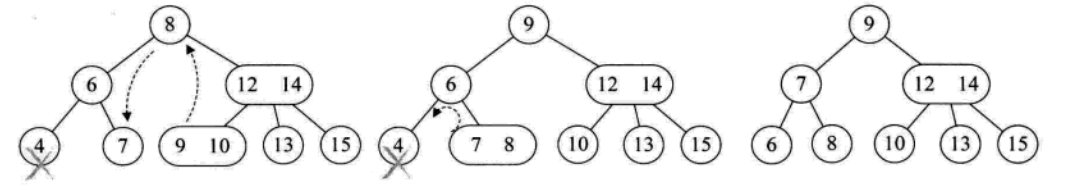
情况二,此结点的双亲是2结点,他的右孩子也是2结点,如图1-8所示,此时删除结点1,如果直接左旋转会造成没有右孩子,因此需要对整棵树进行变形,办法就是,我们目标是让结点7变成3结点,那就要让比7稍大的元素8下来,随即就得让比元素8稍大的元素9补充结点8的位置,于是就出现了中间的那幅图,再利用左旋转的方式,变成了右图的结果。
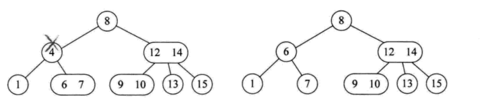
情况三,此结点的双亲是一个3结点,如图1-9所示,此时删除结点10,意味着双亲12,14这个结点不能成为3结点了,于是将此结点拆分,并将12与13合并成左孩子。
情况四,如果当前树是一个满二叉树的情况,此时删除任何一个叶子都会使得整棵树不满足2-3树的定义,如图1-10所示,删除叶子节点8(其实删除任何一个结点都一样)就不得不考虑将2-3的层数减少,办法是将8的双亲和其左子树6合并为一个3结点,再将14与9合并为3结点。
- 要删除的元素位于非叶子节点的分支结点,通常是将树中序遍历后得到此元素的前驱或者后继。
如果我们要删除的分支结点是2结点,如图1-11所示,我们要删除界定4,分析后得到他的前驱是1后继是6,显然,由于6,7,是3结点,只需要用6来补位即可。
测试代码
#include <stdio.h>
#include <malloc.h>
#include <memory.h>
#define NUM(p) ((p==NULL)?0:p->num)
typedef struct node {
int a[3];
int num; //1,2,3
struct node *left_child;
struct node *mid_child;
struct node *right_child;
struct node *tmp_child;
struct node *parent;
} Btree, *BtreePtr;
void exchange(int *a, int *b) {
int tmp = *a;
*a = *b;
*b = tmp;
}
BtreePtr _node(const int key) {
BtreePtr p = (BtreePtr)malloc(sizeof(Btree));
if (p != NULL) {
memset(p, 0, sizeof(p));
p->a[0] = key;
p->num = 1;
p->left_child = NULL;
p->right_child = NULL;
p->mid_child = NULL;
p->tmp_child = NULL;
p->parent = NULL;
}
else {
puts("内存不足");
}
return p;
}
void _sort(BtreePtr b) {
int length = b->num;
for (int i = 0; i < length; i++) {
for (int j = i; j < length; j++) {
if ((b->a[j]) < (b->a[i])) {
exchange(&(b->a[j]), &(b->a[i]));
}
}
}
}
BtreePtr _checkNum(BtreePtr p) {
if (NUM(p) == 1) { //2-结点
if (NUM(p->left_child) == 3) { //case 2
p->a[1] = p->left_child->a[1];
p->num++;
_sort(p);
BtreePtr l = _node(p->left_child->a[0]);
l->left_child = p->left_child->left_child;
l->parent = p;
BtreePtr r = _node(p->left_child->a[2]);
r->left_child = p->left_child->mid_child;
r->right_child = p->left_child->right_child;
r->parent = p;
p->left_child = l;
p->mid_child = r;
}
else if (NUM(p->right_child) == 3) { //case 3
p->a[1] = p->right_child->a[1];
p->num++;
_sort(p);
BtreePtr l = _node(p->right_child->a[0]);
l->left_child = p->right_child->left_child;
l->parent = p;
BtreePtr r = _node(p->right_child->a[2]);
r->left_child = p->right_child->mid_child;
r->right_child = p->right_child->right_child;
r->parent = p;
p->mid_child = l;
p->right_child = r;
}
}
else if (NUM(p) == 2) { //3-结点
if (NUM(p->left_child) == 3) { //case 4
p->a[2] = p->left_child->a[1];
p->num++;
_sort(p);
p->tmp_child = p->mid_child;
p->mid_child = _node(p->left_child->a[2]);
BtreePtr l = _node(p->left_child->a[0]);
l->left_child = p->left_child->left_child;
l->right_child = p->left_child->mid_child;
l->parent = p;
BtreePtr r = _node(p->left_child->a[2]);
r->left_child = p->left_child->tmp_child;
r->right_child = p->left_child->right_child;
r->parent = p;
p->left_child = l;
}
else if (NUM(p->right_child) == 3) { //case 5
p->a[2] = p->right_child->a[1];
p->num++;
_sort(p);
p->tmp_child = _node(p->right_child->a[2]); //
BtreePtr l = _node(p->right_child->a[0]);
l->right_child = p->right_child->left_child;
l->right_child = p->right_child->mid_child;
l->parent = p;
BtreePtr r = _node(p->right_child->a[2]);
r->right_child = p->right_child->tmp_child;
r->right_child = p->right_child->right_child;
r->parent = p;
p->right_child = l;
}
else if (NUM(p->mid_child) == 3) {
p->a[2] = p->mid_child->a[1];
p->num++;
_sort(p);
//p->tmp_child = p->mid_child;
//p->mid_child = _node(p->left_child->a[2]);
BtreePtr l = _node(p->mid_child->a[0]);
l->left_child = p->mid_child->left_child;
l->right_child = p->mid_child->mid_child;
l->parent = p;
BtreePtr r = _node(p->mid_child->a[2]);
r->left_child = p->mid_child->tmp_child;
r->right_child = p->mid_child->right_child;
r->parent = p;
p->mid_child = l;
p->tmp_child = r;
}
}
if (p->num == 3) {
if (p->parent == NULL) { // case 1;
BtreePtr t = p->left_child;
p->left_child = _node(p->a[0]);
p->left_child->left_child = t;
p->left_child->right_child = p->mid_child;
p->left_child->parent = p;
t = p->right_child;
p->right_child = _node(p->a[2]);
p->right_child->left_child = p->tmp_child;
p->right_child->right_child = t;
p->right_child->parent = p;
p->mid_child = NULL;
p->tmp_child = NULL;
p->a[0] = p->a[1];
p->num = p->num - 2;
}
}
return p;
}
BtreePtr _insertBTree(BtreePtr b, const int key, const int pos) {
if (b->left_child == NULL && b->right_child == NULL) { //底节点
b->a[b->num] = key;
b->num++;
_sort(b);
}
else {
if (b->num == 1) {
if (key < b->a[0]) { //num =1, 2
b->left_child = _insertBTree(b->left_child, key, pos);
}
else if (key > b->a[0]) { //num = 2
b->right_child = _insertBTree(b->right_child, key, pos);
}
}
else if (b->num == 2) {
if (key < b->a[0]) { //num =1, 2
b->left_child = _insertBTree(b->left_child, key, pos);
}
else if (key > b->a[1]) { //num = 2
b->right_child = _insertBTree(b->right_child, key, pos);
}
else {
b->mid_child = _insertBTree(b->mid_child, key, pos);
}
}
}
b = _checkNum(b);
return b;
}
BtreePtr insertBTree(BtreePtr root, const int key, const int pos) {
if (root == NULL) {
root = _node(key);
}
else {
root = _insertBTree(root, key, pos);
}
return root;
}
void freeTree(BtreePtr p) {
if (p->left_child != NULL) {
freeTree(p->left_child);
}
if (p->right_child != NULL) {
freeTree(p->right_child);
}
if (p->mid_child != NULL) {
freeTree(p->mid_child);
}
free(p);
p = NULL;
}
int BTreeSearch(const int *a, const int length, const int key) {
BtreePtr root = NULL;
for (int i = 0; i < length; i++) {
root = insertBTree(root, a[i], i);
}
freeTree(root);
return -1;
}
void main() {
const int length = 8;
int my_array[8] = { 7, 5, 9 ,11,10,6, 12, 13};
BTreeSearch(my_array, length, 7);
}