什么叫眼图测试?
眼图是在示波器的横轴上把一串串比特周期叠加,形成眼样波形。图中:眼高代表噪声;眼宽代表抖动。从眼图上可以观察出码间串扰和噪声的影响,体现了数字信号整体的特征,从而估计系统优劣程度,因而眼图分析是高速互连系统信号完整性分析的核心。另外也可以用此图形对接收滤波器的特性加以调整,以减小码间串扰,改善系统的传输性能。
观察眼图的方法是:用一个示波器跨接在接收滤波器的输出端,然后调整示波器扫描周期,使示波器水平扫描周期与接收码元的周期同步,这时示波器屏幕上看到的图形像人的眼睛,故称 为 “眼图”。
随着技术的变革,用户越来越追求便利和感观体影音效果,为了提升用户体验,影像或游戏的资料量越来越大。技术方面为了维持视觉语音整体流畅和即时性,各种产品间的传递效率和处理速度必须加快。加快信号传输速度就会造成接收端辨识率降低。此外,现今电子产品体积缩小,造成电路板间的信号线间的距离变近,造成信号线与信号线间的相互干扰已不得再忽略。那么该如何判定一个产品的传输质量的好坏?我们可以利用眼图作为判定产品信号品质优劣的依据。
眼图是怎么形成的
一般均可以用示波器观测到信号的眼图,其具体的操作方法为:将示波器跨接在接收滤波器的输出端,然后调整示波器扫描周期,使示波器水平扫描周期与接收码元的周期同步,这时示波器屏幕上看到的图形就称为眼图。示波器一般测量的信号是一些位或某一段时间的波形,更多的反映的是细节信息,而眼图则反映的是链路上传输的所有数字信号的整体特征。
如果示波器的整个显示屏幕宽度为100ns,则表示在示波器的有效频宽、取样率及记忆体配合下,得到了100ns下的波形资料。但是,对于一个系统而言,分析这么短的时间内的信号并不具有代表性,例如信号在每一百万位元会出现一次突波(Spike),但在这100ns时间内,突波出现的机率很小,因此会错过某些重要的信息。如果要衡量整个系统的性能,这么短的时间内测量得到的数据显然是不够的。设想,如果可以以重复叠加的方式,将新的信号不断的加入显示屏幕中,但却仍然记录着前次的波形,只要累积时间够久,就可以形成眼图,从而可以了解到整个系统的性能,如串扰、噪声以及其他的一些参数,为整个系统性能的改善提供依据。
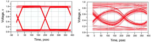
一个完整的眼图应该包含从"000"到"111"的所有状态组,且每一个状态组发生的次数要尽量一致,否则有些信息将无法呈现在屏幕上,八种状态形成的眼图如下所示:

如果这八种状态组中缺失某种状态,得到的眼图会不完整,如下所示

眼图相关的参数有很多,如眼高、眼宽、眼幅度、眼交叉比、"1"电平,"0"电平,消光比,Q 因子,平均功率等。
对于一幅真实的眼图,如图,首先我们可以看出数字波形的平均上升时间(Rise Time)、下降时间(Fall Time)、上冲(Overshoot)、下冲(Undershoot)、门限电平(Threshold/Crossing Percent)等基本的电平变换的参数。

信号不可能每次高低电平的电压值都保持完全一致,也不能保证每次高低电平的上升沿、下降沿都在同一时刻。如图,由于多次信号的叠加,眼图的信号线变粗,出现模糊(Blur)的现象。所以眼图也反映了信号的噪声和抖动:在纵轴电压轴上,体现为电压的噪声(Voltage Noise);在横轴时间轴上,体现为时域的抖动(Jitter)。

由于噪声和抖动,眼图上的空白区域变小。如图,在除去抖动和噪声的基础上,眼图上空白的区域在横轴上的距离称为眼宽(Eye Width),在眼图上叠加的数据足够多时,眼宽很好的反映了传输线上信号的稳定时间;同理,眼图上空白的区域在纵轴上的距离称为眼高(Eye Height),在眼图上叠加的数据足够多时,眼高很好的反映了传输线上信号的噪声容限,同时,眼图中眼高最大的地方,即为最佳判决时刻。

数字信号在采样前后,需要有一定的建立时间(Setup Time)和保持时间(Hold Time),数字信号在这一段时间内应保持稳定,才能保证正确采样,如图蓝色部分。而对于输入电平的判决,需要高电平的电压值高于输入高电平VIH,低电平的电压值地与输入低电平VIL,如图中的绿色部分。所以,我们可以得知最早的采样时刻图1和最晚的采样时刻图2。

在最佳采样时刻,采样的误码率是最低的,而随着采样时刻向时间轴两侧的移动,误码率不断增大,如图所示。所以工程上也经常画出信号采样周期内误码率的变化曲线,称为澡盆曲线(Bathtub Curve)。

三.眼图与性能的关系
眼图的"眼睛"张开的大小反映着码间串扰的强弱。"眼睛"张的越大且眼图越端正表示码间串扰越小;反之表示码间串扰越大。当存在噪声时噪声将叠加在信号上观察到的眼图的线迹会变得模糊不清。若同时存在码间串扰 "眼睛"将张开得更小。与无码间串扰时的眼图相比原来清晰端正的细线迹变成了比较模糊的带状线而且不很端正。噪声越大线迹越宽越模糊;码间串扰越大眼图越不端正。
理论分析得到如下几条结论在实际应用中要以此为参考从眼图中对系统性能作一论述:
(1)最佳抽样时刻应 在 “眼睛” 张开最大的时刻。
(2)对定时误差的灵敏度可由眼图斜边的斜率决定。斜率越大对定时误差就越灵敏。
(3)在抽样时刻上眼图上下两分支阴影区的垂直高度表示最大信号畸变。
(4)眼图中央的横轴位置应对应判决门限电平。
(5)在抽样时刻上下两分支离门限最近的一根线迹至门限的距离表示各相应电平的噪声容限噪声瞬时值超过它就可能发生错误判决。
(6)对于利用信号过零点取平均来得到定时信息的接收系统眼图倾斜分支与横轴相交的区域的大小表示零点位置的变动范围这个变动范围的大小对提取定时信息有重要的影响。
四.怎么判断眼图
在实际测试时,为了提高测试效率,经常使用到的方法是Mask Testing。即根据信号传输的需求,在眼图上规定一个区域(如图中的菱形区域),要求左右的信号全部出现在这个区域之外,一旦菱形区域内有出现信号,则宣布测试未通过。
五:如何帮自己的产品测试眼图
有两个方式可以给自己的产品测试眼图,
一是购买示波器、夹具等仪器工具,自己测试眼图。
二是也是最简单,最直接的方式,百度搜索“
安信实验室”,可以非常轻松方便快捷帮助你解决产品的眼图测试。