1、决策树-简介
比较适合分析离散数据。
如果是连续数据要先转成离散数据再做分析。

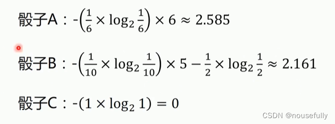
1-1、信息熵计算:


信息熵越大,不确定性越大
1-2、ID3算法计算:
倾向于选择的信息增益大的,
信息增益:加入某种条件后,信息熵减少的程度

举例:
1-3、C4.5算法
比起ID3多加了增益率
信息增益的方法倾向于首先选择因子数较多的变量
信息增益的改进:增益率


1-4、CART决策树


对比:

2、实践决策树-例子
#%%
from sklearn.feature_extraction import DictVectorizer
from sklearn import tree
from sklearn import preprocessing
import csv
#%%
# 读入数据
Dtree = open(r'AllElectronics.csv', 'r')
reader = csv.reader(Dtree)
# 获取第一行数据 表头
headers = reader.__next__()
print(headers)
# 定义两个列表
featureList = []
labelList = []
#
for row in reader:
# 把label存入list
labelList.append(row[-1])
rowDict = {}
for i in range(1, len(row)-1):
#建立一个数据字典
rowDict[headers[i]] = row[i]
# 把数据字典存入list
featureList.append(rowDict)
print(featureList)
#%%
# 把数据转换成01表示
vec = DictVectorizer()
x_data = vec.fit_transform(featureList).toarray()
print("x_data: " + str(x_data))
# 打印属性名称
print(vec.get_feature_names())
# 打印标签
print("labelList: " + str(labelList))
# 把标签转换成01表示
lb = preprocessing.LabelBinarizer()
y_data = lb.fit_transform(labelList)
print("y_data: " + str(y_data))
#%%
# 创建决策树模型
model = tree.DecisionTreeClassifier(criterion='entropy')
# 输入数据建立模型
model.fit(x_data, y_data)
#%%
# 测试
x_test = x_data[0]
print("x_test: " + str(x_test))
predict = model.predict(x_test.reshape(1,-1))
print("predict: " + str(predict))
#%%
# 导出决策树
# pip install graphviz
# http://www.graphviz.org/
import graphviz
dot_data = tree.export_graphviz(model,
out_file = None,
feature_names = vec.get_feature_names(),
class_names = lb.classes_,
filled = True,
rounded = True,
special_characters = True)
graph = graphviz.Source(dot_data)
graph.render('computer')
#%%
graph
#%%
vec.get_feature_names()
#%%
lb.classes_
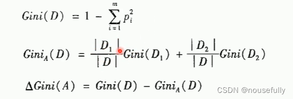
3、决策树-Cart算法
CART决策树的生成就是递归地构建二叉决策树的过程。
CART用基尼(Gini)系数最小化准测来进行特征选择,生成二叉树。

举例:




最后构建的CART:

剪枝

优点:
小规模数据集有效
缺点:
处理连续变量不好
类别较多时,错误增加的比较快
不能处理大量数据 容易陷入局部最优
4、决策树-CART算法实战
#%%
from sklearn import tree
import numpy as np
#%%
# 载入数据 文件都是数字可以调用这个numpy方法
data = np.genfromtxt("cart.csv", delimiter=",")
x_data = data[1:,1:-1]
y_data = data[1:,-1]
#%%
# 创建决策树模型
model = tree.DecisionTreeClassifier()
# 输入数据建立模型
model.fit(x_data, y_data)
#%%
# 导出决策树
import graphviz # http://www.graphviz.org/
dot_data = tree.export_graphviz(model,
out_file = None,
feature_names = ['house_yes','house_no','single','married','divorced','income'],
class_names = ['no','yes'],
filled = True,
rounded = True,
special_characters = True)
graph = graphviz.Source(dot_data)
graph.render('cart')
#%%
graph5、决策树-线性二分类
#%%
import matplotlib.pyplot as plt
import numpy as np
from sklearn.metrics import classification_report
from sklearn import tree
#%%
# 载入数据
data = np.genfromtxt("LR-testSet.csv", delimiter=",")
x_data = data[:,:-1]
y_data = data[:,-1]
plt.scatter(x_data[:,0],x_data[:,1],c=y_data)
plt.show()
#%%
# 创建决策树模型
model = tree.DecisionTreeClassifier()
# 输入数据建立模型
model.fit(x_data, y_data)
#%%
# 导出决策树
import graphviz # http://www.graphviz.org/
dot_data = tree.export_graphviz(model,
out_file = None,
feature_names = ['x','y'],
class_names = ['label0','label1'],
filled = True,
rounded = True,
special_characters = True)
graph = graphviz.Source(dot_data)
#%%
graph
#%%
# 获取数据值所在的范围
x_min, x_max = x_data[:, 0].min() - 1, x_data[:, 0].max() + 1
y_min, y_max = x_data[:, 1].min() - 1, x_data[:, 1].max() + 1
# 生成网格矩阵
xx, yy = np.meshgrid(np.arange(x_min, x_max, 0.02),
np.arange(y_min, y_max, 0.02))
z = model.predict(np.c_[xx.ravel(), yy.ravel()]) # ravel与flatten类似,多维数据转一维。flatten不会改变原始数据,ravel会改变原始数据
z = z.reshape(xx.shape)
# 等高线图
cs = plt.contourf(xx, yy, z)
# 样本散点图
plt.scatter(x_data[:, 0], x_data[:, 1], c=y_data)
plt.show()
#%%
predictions = model.predict(x_data)
print(classification_report(predictions,y_data))
6、决策树-非线性二分类
#%%
import matplotlib.pyplot as plt
import numpy as np
from sklearn.metrics import classification_report
from sklearn import tree
from sklearn.model_selection import train_test_split
#%%
# 载入数据
data = np.genfromtxt("LR-testSet2.txt", delimiter=",")
x_data = data[:,:-1]
y_data = data[:,-1]
plt.scatter(x_data[:,0],x_data[:,1],c=y_data)
plt.show()
#%%
#分割数据
x_train,x_test,y_train,y_test = train_test_split(x_data, y_data)
# 创建决策树模型
# max_depth,树的深度
# min_samples_split 内部节点再划分所需最小样本数
model = tree.DecisionTreeClassifier(max_depth=7,min_samples_split=4)
# 输入数据建立模型
model.fit(x_train, y_train)
#%%
# 导出决策树
import graphviz # http://www.graphviz.org/
dot_data = tree.export_graphviz(model,
out_file = None,
feature_names = ['x','y'],
class_names = ['label0','label1'],
filled = True,
rounded = True,
special_characters = True)
graph = graphviz.Source(dot_data)
#%%
graph
#%%
# 获取数据值所在的范围
x_min, x_max = x_data[:, 0].min() - 1, x_data[:, 0].max() + 1
y_min, y_max = x_data[:, 1].min() - 1, x_data[:, 1].max() + 1
# 生成网格矩阵
xx, yy = np.meshgrid(np.arange(x_min, x_max, 0.02),
np.arange(y_min, y_max, 0.02))
z = model.predict(np.c_[xx.ravel(), yy.ravel()])# ravel与flatten类似,多维数据转一维。flatten不会改变原始数据,ravel会改变原始数据
z = z.reshape(xx.shape)
# 等高线图
cs = plt.contourf(xx, yy, z)
# 样本散点图
plt.scatter(x_data[:, 0], x_data[:, 1], c=y_data)
plt.show()
#%%
predictions = model.predict(x_train)
print(classification_report(predictions,y_train))
#%%
predictions = model.predict(x_test)
print(classification_report(predictions,y_test))
版权声明:本文为nousefully原创文章,遵循CC 4.0 BY-SA版权协议,转载请附上原文出处链接和本声明。