???? 欢迎浏览本博客 ????
???????大家好,我是:我菜就爱学???????一名刚刚入行的小白??
??从事方向:计算机视觉
??我菜就爱学,分享有误,欢迎大佬指出??
???本篇介绍:由感知机过度到神经网络,初识神经网络
说明:神经网络能够解决感知机的缺陷,可以自动的从数据中学习到合适的权重参数。
文章目录
1 从感知机到神经网络
1.1 神经网络例子
用图表示神经网络的话,把最左边称为输入层,最右边称为输出层。中间的称为中间层,也叫隐藏层。

1.2 激活函数
在感知机中,输入信号的总和会被h(x)转换成输出的信号。h(x)这种函数称为激活函数。
y = h ( b + w 1 ∗ x 1 + w 2 ∗ x 2 ) y=h(b+w1*x1+w2*x2)y=h(b+w1∗x1+w2∗x2)
将上面的式子改写之后,先计算输入信号的加权总和
a = b + w 1 ∗ x 1 + w 2 ∗ x 2 a=b+w1*x1+w2*x2a=b+w1∗x1+w2∗x2
用h()函数将a转换为输出y
y = h ( a ) y=h(a)y=h(a)
上述图可以看出表示神经元的O显示激活函数的计算过程,即信号的加权总和节点a,然后节点a被激活函数h()转换成节点y。
2 激活函数
说明:在上一节中,感知机的激活函数是以阈值为界,一旦超过阈值,就切换输出。这种激活函数也叫做阶跃函数。若把感知机的阶跃函数换成其他函数,就进入了神经网络。
2.1 sigmoid函数
说明:神经网络中经常使用的一个激活函数就是sigmoid函数。其中exp(-x)表示e(−x)。

2.2 阶跃函数的实现
说明:阶跃函数其实结果就是非0即1.
import numpy as np
x=np.array([-1.0,1.0,2.0])
print(x)
#y作为布尔类型的变量:
# 1、数组x>0的元素被转换为True
# 2、数组<0的元素被转换为False
y=x>0
print(y)
# 再把元素的布尔类型转换为int
y=y.astype(np.int32)
print(y)
画图:
def function(x):
return np.array(x>0,dtype=np.int32)
x=np.arange(-5.0,5.0,0.1)
y=function(x)
plt.plot(x,y)
plt.ylim(-0.1,1.1)# 指定y轴的范围
plt.show()

2.3 sigmoid函数的实现
1)补充:Numpy广播
若一个2 x 2矩阵A和标量10进行乘法运算,则标量10会自动被扩展成为2 x 2的形状。
A=np.array([[1,2],[3,4]])
B=np.array([10,20])
print(A)
print(A*10)
print(A*B)
'''
[[1 2]
[3 4]]
[[10 20]
[30 40]]
[[10 40]
[30 80]]
'''
2)sigmoid函数
def sigmoid(x):
return 1/(1+np.exp(-x))
x=np.arange(-5.0,5.0,0.1)
y=sigmoid(x)
plt.plot(x,y)
plt.ylim(-0.1,1.1)
plt.show()

2.4 阶跃函数和sigmoid函数的比较
def function(x):
return np.array(x>0,dtype=np.int32)
def sigmoid(x):
return 1/(1+np.exp(-x))
x=np.arange(-5.0,5.0,0.1)
y1=function(x)
y2=sigmoid(x)
plt.plot(x,y1,linestyle='--',label='jieyue')
plt.plot(x,y2,label='sigmoid')
plt.legend()
plt.ylim(-0.1,1.1)
plt.show()

- sigmoid函数是一条平滑的曲线,阶跃函数输出会发生急剧的变化
- 阶跃函数只能返回0和1,而sigmoid返回的是连续的实数
2.5 非线性函数
说明:函数本来是输入某个值之后会返回一个值的转换器,向这个转换器输入某个值后,输出值是输入值常数倍的函数称为线性函数。
神经网络的激活函数必须使用非线性函数。因为线性函数在多层结构中,不管加多少层在隐藏层中都是等效的效果。如h(x)=cx,y(x)=h(h(h(x)))也就是y(x)=c * c * c * x
2.6 ReLU函数
ReLU函数的定义就是在输入函数大于0时,直接输出该值。在输入小于等于0时,输出0。

def reul(x):
return np.maximum(0,x)
x=np.arange(-5.0,5.0,0.1)
y=reul(x)
plt.plot(x,y)
plt.show()

3 多维数组的运算
3.1 多维数组
1)生成1维数组,查看数组、数组的维度和数组的形状
A=np.array([1,2,3,4])
print(A)
print(A.ndim)
print(A.shape)
print(A.shape[0])
'''
[1 2 3 4]
1
(4,)
4
'''
2)生成一个3 x 2的数组B,表示第一个维度(列)【对应0维】有三个元素,第二个维度(行)【对应1维】有两个元素。同时二维数组也叫做矩阵。
B=np.array([[1,2],[3,4],[5,6]])
print(B)
print(B.ndim)
print(B.shape)
'''
[[1 2]
[3 4]
[5 6]]
2
(3, 2)
'''
3.2 矩阵乘法
这个线性代数,也有介绍。代码中使用np.dot()作为矩阵的乘法。

A=np.array([[1,2],[3,4]])
B=np.array([[5,6],[7,8]])
print(A)
'''
[[1 2]
[3 4]]
'''
print(B)
'''
[[5 6]
[7 8]]
'''
C=np.dot(A,B)
print(C)
'''
[[19 22]
[43 50]]
'''
3.3 神经网络的内积
说明:这个时候把X和W分别设置成为可以做矩阵乘法的矩阵。满足如下规则:

X=np.array([1,2])
print(X.shape) # (2,)->1X2
W=np.array([[1,3,5],[2,4,6]])
print(W.shape) #(2, 3)->2X3
Y=np.dot(X,W)
print(Y.shape) #(3,) -> 1X3
print(Y)
# [ 5 11 17]
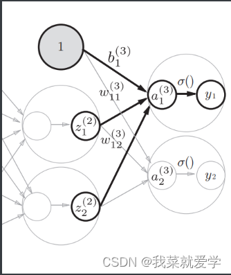
4 3层神经网络的实现
4.1 符号确认
下图显示了从输入层神经元x2到后一层的神经元a1的权重。权重和隐藏层的神经元的右上角有一个“(1)",它表示权重和神经元的层号(即第1层的权重、第1层的神经元)。权重的右下角还有两个数字,它们是后一层的神经元和前一层的神经元的索引号。如下,表示前一层的第2个神经元x2到后一层的第一个神经元a1的权重。

4.2 各层间信号传递的实现
1)对于如下神经元a1通过加权信号和偏置的方式计算如下:

2)若使用矩阵的乘法运算,则将第一层的加权和表示成下面式子:

3)下面用多维数组代码实现:
X=np.array([1.0,0.5])
W1=np.array([[0.1,0.3,0.5],[0.2,0.4,0.6]])
B1=np.array([0.1,0.2,0.3])
print(X.shape) # (2,)
print(W1.shape) # (2, 3)
print(B1.shape) # (3,)
A1=np.dot(X,W1)+B1
print(A1)
'''
[0.3 0.7 1.1]
'''
4)得到的加权和,再利用加权函数得到Z

def sigmoid(x):
return 1/(1+np.exp(-x))
Z1=sigmoid(A1)
print(Z1)
# [0.57444252 0.66818777 0.75026011]
5)实现第一层到第二层传递

W2=np.array([[0.1,0.4],[0.2,0.5],[0.3,0.6]])
B2=np.array([0.1,0.2])
print(Z1.shape) # (3,)
print(W2.shape) # (3, 2)
print(B2.shape) # (2,)
A2=np.dot(Z1,W2)+B2
Z2=sigmoid(A2)
print(Z2) # [0.62624937 0.7710107 ]
6)第2层到输出层的信号传递。这里最后的激活函数与隐藏层的不同

def function(x):
return np.array(x>0,dtype=np.int32)
W3=np.array([[0.1,0.3],[0.2,0.4]])
B3=np.array([0.1,0.2])
A3=np.dot(Z2,W3)+B3
print(Z2.shape) # (2,)
print(W3.shape) # (2, 2)
print(B3.shape) # (2,)
Y=function(A3)
print(Y) # [1 1]
5 输出层的设计
神经网络分别用在分类问题和回归问题上,根据自己所需改变输出层的激活函数。通常回归问题用恒等函数,回归问题是根据某个输入预测一个数值的问题,如根据一个人的图像预测这个人的体重的问题。分类问题用softmax函数,分类问题是数据属于哪一个类别的问题,如区分图像中的人是男性还是女性。
5.1 恒等函数
恒等函数会将输入按原样输出,对于输入的信息,不加以任何改动地直接输出。

5.2 softmax函数
分类问题使用softmax函数,如下列式子。exp(x)是表示e(x)的指数函数(e=2.7182…)。假设输出层有n个神经元,计算第k个神经元的输出y(k)。softmax函数的分子是输入信号a(k)的指数函数,分母是所有输入信号的指数函数的和。


a=np.array([0.3,2.9,4.0])
exp_a=np.exp(a)
print(exp_a)
# [ 1.34985881 18.17414537 54.59815003]
sum_exp_a=np.sum(exp_a)
print(sum_exp_a)
# 74.1221542101633
y=exp_a/sum_exp_a
print(y)
# [0.01821127 0.24519181 0.73659691]
1)softmax函数的缺陷
由于softmax函数的实现是要进行指数函数的运算,指数函数的运算结果很大,造成溢出,返回一个无穷大的inf。
a=np.array([1010,1000,990])
y=np.exp(a)/np.sum(np.exp(a))
print(y)
#得到
#[nan nan nan]
2)改进softmax函数
说明:对于如下式子,分子分母都乘上C这个任意的常数,任何把C移动到指数函数(exp)中,即logC。logC即为常数,用C’代替。也就是说在进行softmax函数运算的时候,加速(减去)某个常数并不会改变运算的结果。C’一般取输入信号的最大值。

c=np.max(a)
print(c)
y1=np.exp(a-c)/np.sum(np.exp(a-c))
print(y1)
# [9.99954600e-01 4.53978686e-05 2.06106005e-09]
3)softmax函数的特性
a=np.array([0.3,2.9,4.0])
b=np.array([0.03,29,0.4])
y=sofamax(a)
y1=sofamax(b)
print(y)
print(np.sum(y))
'''
[0.01821127 0.24519181 0.73659691]
1.0
'''
print(y1)
print(np.sum(y1))
'''
[2.62113180e-13 1.00000000e+00 3.79470324e-13]
1.0
'''
如上所示,softmax函数输出是0.0-1.0之间的实数。且softmax函数的输出值的总和是1。如上述y的输出结果可以清楚的看出,y[0]的概率为1.8%,y[1]的概率为24.5%,y[2]的概率为73.7%。也可以这样理解,有三个类别,有74%的概率属于第2个类别,有25%的概率属于第1个类别,有1%的概率属于第0个类别。
5.3 输出层的神经元数量
对于输出层的神经元数量需要根据具体的情况来判断。也就是说对于分类问题,输出层的神经元数量一般设定为类别的数量。如接下来手写数字识别的项目中,就是将输出层是神经元数量定义为0到9.