目录
5 问题 常见的概率图模型中,哪些是生成式模型,哪些是判别式模型?
1 决策函数Y=f(X)或者条件概率分布P(Y|X)
监督学习的任务就是从数据中学习一个模型(也叫分类器),应用这一模型,对给定的输入X预测相应的输出Y。这个模型的一般形式为决策函数Y=f(X)或者条件概率分布P(Y|X)。
决策函数Y=f(X):你输入一个X,它就输出一个Y,这个Y与一个阈值比较,根据比较结果判定X属于哪个类别。例如两类(w1和w2)分类问题,如果Y大于阈值,X就属于类w1,如果小于阈值就属于类w2。这样就得到了该X对应的类别了。
条件概率分布P(Y|X):你输入一个X,它通过比较它属于所有类的概率,然后输出概率最大的那个作为该X对应的类别。例如:如果P(w1|X)大于P(w2|X),那么我们就认为X是属于w1类的。
所以上面两个模型都可以实现对给定的输入X预测相应的输出Y的功能。实际上通过条件概率分布P(Y|X)进行预测也是隐含着表达成决策函数Y=f(X)的形式的。例如也是两类w1和w2,那么我们求得了P(w1|X)和P(w2|X),那么实际上判别函数就可以表示为Y= P(w1|X)/P(w2|X),如果Y大于1或者某个阈值,那么X就属于类w1,如果小于阈值就属于类w2。而同样,很神奇的一件事是,实际上决策函数Y=f(X)也是隐含着使用P(Y|X)的。因为一般决策函数Y=f(X)是通过学习算法使你的预测和训练数据之间的误差平方最小化,而贝叶斯告诉我们,虽然它没有显式的运用贝叶斯或者以某种形式计算概率,但它实际上也是在隐含的输出极大似然假设(MAP假设)。也就是说学习器的任务是在所有假设模型有相等的先验概率条件下,输出极大似然假设。
所以呢,分类器的设计就是在给定训练数据的基础上估计其概率模型P(Y|X)。如果可以估计出来,那么就可以分类了。但是一般来说,概率模型是比较难估计的。给一堆数给你,特别是数不多的时候,你一般很难找到这些数满足什么规律吧。那能否不依赖概率模型直接设计分类器呢?事实上,分类器就是一个决策函数(或决策面),如果能够从要解决的问题和训练样本出发直接求出判别函数,就不用估计概率模型了,这就是决策函数Y=f(X)的伟大使命了。例如支持向量机,我已经知道它的决策函数(分类面)是线性的了,也就是可以表示成Y=f(X)=WX+b的形式,那么我们通过训练样本来学习得到W和b的值就可以得到Y=f(X)了。还有一种更直接的分类方法,它不用事先设计分类器,而是只确定分类原则,根据已知样本(训练样本)直接对未知样本进行分类。包括近邻法,它不会在进行具体的预测之前求出概率模型P(Y|X)或者决策函数Y=f(X),而是在真正预测的时候,将X与训练数据的各类的Xi比较,和哪些比较相似,就判断它X也属于Xi对应的类。
2 生成方法和判别方法
监督学习方法又分生成方法(Generative approach)和判别方法(Discriminative approach),所学到的模型分别称为生成模型(Generative Model)和判别模型(Discriminative Model)。简称GM和DM。
2.1 生成方法
生成方法:由数据学习联合概率密度分布P(X,Y),然后求出条件概率分布P(Y|X)作为预测的模型,即生成模型:
基本思想是首先建立样本的联合概率概率密度模型P(X,Y),然后再得到后验概率P(Y|X),再利用它进行分类,就像上面说的那样。这里是先求出P(X,Y)才得到P(Y|X)的,然后这个过程还得先求出P(X)。P(X)就是你的训练数据的概率分布。需要你的数据样本非常多的时候,你得到的P(X)才能很好的描述你数据真正的分布。例如你投硬币,你试了100次,得到正面的次数和你的试验次数的比可能是3/10,然后你直觉告诉你,可能不对,然后你再试了500次,哎,这次正面的次数和你的试验次数的比可能就变成4/10,这时候你半信半疑,不相信上帝还有一个手,所以你再试200000次,这时候正面的次数和你的试验次数的比(就可以当成是正面的概率了)就变成5/10了。这时候,你就觉得很靠谱了。
生成式模型求得P(Y,X),对于未见示例X,你要求出X与不同标记之间的联合概率分布,然后大的获胜,如上图右边所示,并没有什么边界存在,对于未见示例(红三角),求两个联合概率分布(有两个类),比较一下,取那个大的。机器学习中朴素贝叶斯模型、隐马尔可夫模型HMM等都是生成式模型,熟悉Naive Bayes的都知道,对于输入X,需要求出好几个联合概率,然后较大的那个就是预测结果~(根本原因个人认为是对于某示例X_1,对正例和反例的标记的联合概率不等于1,即P(Y_1,X_1)+P(Y_2,X_1)<1,要遍历所有的X和Y的联合概率求和,即sum(P(X,Y))=1。
还有一个问题就是,在机器学习领域有个约定俗成的说法是:不要去学那些对这个任务没用的东西。例如,对于一个分类任务:对一个给定的输入x,将它划分到一个类y中。那么,如果我们用生成模型:p(x,y)=p(y|x).p(x)
那么,我们就需要去对p(x)建模,但这增加了我们的工作量,(除了上面说的那个估计得到P(X)可能不太准确外)。实际上,因为数据的稀疏性,导致我们都是被强迫地使用弱独立性假设去对p(x)建模的,所以就产生了局限性。所以我们更趋向于直观的使用判别模型去分类。
这样的方法之所以称为生成方法,是因为模型表示了给定输入X产生输出Y的生成关系。用于随机生成的观察值建模,特别是在给定某些隐藏参数情况下。典型的生成模型有:朴素贝叶斯和隐马尔科夫模型等。
2.2 判别方法
判别方法:由数据直接学习决策函数Y=f(X)或者条件概率分布P(Y|X)作为预测的模型,即判别模型。基本思想是有限样本条件下建立判别函数,不考虑样本的产生模型,直接研究预测模型。典型的判别模型包括k近邻法、感知机、决策树、逻辑回归、最大熵、SVM、AdaBoost和条件随机场等。
对于判别式模型来说求得P(Y|X),对未见示例X,根据P(Y|X)可以求得标记Y,即可以直接判别出来,如上图的左边所示,实际是就是直接得到了判别边界,所以传统的、耳熟能详的机器学习算法如线性回归模型、支持向量机SVM等都是判别式模型,这些模型的特点都是输入属性X可以直接得到Y(对于二分类任务来说,实际得到一个score,当score大于threshold时则为正类,否则为反类)~(根本原因个人认为是对于某示例X_1,对正例和反例的标记的条件概率之和等于1,
P(Y_1|X_1)+P(Y_2|X_1)=1)
3 特点及对比
在监督学习中,两种方法各有优缺点,适合于不同条件的学习问题。
3.1 生成模型
优点:
1)生成给出的是联合分布,不仅能够由联合分布计算条件分布(反之则不行),还可以给出其他信息,比如可以使用P(x)=求和(P(x|ci))来计算边缘分布P(x)。如果一个输入样本的边缘分布P(x)很小的话,那么可以认为学习出的这个模型可能不太适合对这个样本进行分类,分类效果可能会不好,这也是所谓的outlier detection。生成方法可以算出联合概率分布分布P(X,Y),而判别方法不能。
2)生成模型收敛速度比较快,即当样本数量较多时,生成模型能更快地收敛于真实模型。
3)生成模型能够应付存在隐变量的情况,比如混合高斯模型就是含有隐变量的生成方法。此时判别方法就不能用。
缺点:
1)天下没有免费午餐,联合分布是能提供更多的信息,但也需要更多的样本和更多计算,尤其是为了更准确估计类别条件分布,需要增加样本的数目,而且类别条件概率的许多信息是我们做分类用不到,因而如果我们只需要做分类任务,就浪费了计算资源。
2)另外,实践中多数情况下判别模型效果更好。
3.2 判别模型
优点:
1)由于直接学习P(Y|X)或f(X),可以对数据进行各种程度上的抽象、定义特征并使用特征,因此可以简化学习问题。与生成模型缺点对应,首先是节省计算资源,另外,需要的样本数量也少于生成模型。
2)直接面对预测,准确率往往较生成模型高。
3)判别方法直接学习的是决策函数Y=f(X)或者条件概率分布P(Y|X),不能反映训练数据本身的特性。但它寻找不同类别之间的最优分类面,反映的是异类数据之间的差异。所以允许我们对输入进行抽象(比如降维、构造等),从而能够简化学习问题。
缺点:
1)没有生成模型的上述优点。
3.3 总结
判别式模型举例:要确定一个羊是山羊还是绵羊,用判别模型的方法是从历史数据中学习到模型,然后通过提取这只羊的特征来预测出这只羊是山羊的概率,是绵羊的概率。
生成式模型举例:利用生成模型是根据山羊的特征首先学习出一个山羊的模型,然后根据绵羊的特征学习出一个绵羊的模型,然后从这只羊中提取特征,放到山羊模型中看概率是多少,在放到绵羊模型中看概率是多少,哪个大就是哪个。
细细品味上面的例子,判别式模型是根据一只羊的特征可以直接给出这只羊的概率(比如logistic regression,这概率大于0.5时则为正例,否则为反例),而生成式模型是要都试一试,最大的概率的那个就是最后结果。
在机器学习中任务是从属性X预测标记Y,判别模型求的是P(Y|X),即后验概率;而生成模型最后求的是P(X,Y),即联合概率。从本质上来说:
判别模型之所以称为“判别”模型,是因为其根据X“判别”Y;而生成模型之所以称为“生成”模型,是因为其预测的根据是联合概率P(X,Y),而联合概率可以理解为“生成”(X,Y)样本的概率分布(或称为 依据);具体来说,机器学习已知X,从Y的候选集合中选出一个来,可能的样本有(X,Y_1), (X,Y_2), (X,Y_3),……,(X,Y_n),实际数据是如何“生成”的依赖于P(X,Y),那么最后的预测结果选哪一个Y呢?那就选“生成”概率最大的那个吧。
由生成模型可以得到判别模型,但由判别模型得不到生成模型。
生成算法尝试去找到底这个数据是怎么生成的(产生的),然后再对一个信号进行分类。基于你的生成假设,那么那个类别最有可能产生这个信号,这个信号就属于那个类别。判别模型不关心数据是怎么生成的,它只关心信号之间的差别,然后用差别来简单对给定的一个信号进行分类。
4 对于跟踪算法
跟踪算法一般来说可以分为两类:基于外观模型的生成模型或者基于外观模型的判别模型。
生成模型:一般是学习一个代表目标的模型,然后通过它去搜索图像区域,然后最小化重构误差。类似于生成模型描述一个目标,然后就是模式匹配了,在图像中找到和这个模型最匹配的区域,就是目标了。
判别模型:将跟踪问题看成一个二分类问题,然后找到目标和背景的决策边界。它不管目标是怎么描述的,那只要知道目标和背景的差别在哪,然后你给一个图像,它看它处于边界的那一边,就归为哪一类。
5 问题 常见的概率图模型中,哪些是生成式模型,哪些是判别式模型?
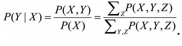
要想正确回答这个问题首先要弄清楚生成式模型和判别式模型的区别。假设可观测到的变量集合为X,需要预测的变量集合为Y,其他的变量集合为Z。
- 生成式模型是对联合概率分布P(X,Y,Z)进行建模,在给定观测集合X的条件下,通过计算边缘分布来得到对变量集合Y的推断,即

- 判别式模型是直接对条件概率分布P(Y,Z|X)进行建模,然后消掉无关变量Z就可以得到对变量集合Y的预测,即

常见的概率图模型有朴素贝叶斯、最大熵模型、贝叶斯网络、隐马尔可夫模型、条件随机场、pLSA、LDA等。
朴素贝叶斯、贝叶斯网络、pLSA、LDA等模型都是先对联合概率分布进行建模,然后再通过计算边缘分布得到对变量的预测,所以它们都属于生成式模型;而最大熵模型是直接对条件概率分布进行建模,因此属于判别式模型。隐马尔可夫模型和条件随机场模型是对序列数据进行建模的方法,将在后面的章节中详细介绍,其中隐马尔可夫模型属于生成式模型,条件随机场属于判别式模型。
因此总结如下:
- 生成式模型:
- 朴素贝叶斯
- 贝叶斯网络
- pLSA
- LDA
- 隐马尔可夫模型
- 高斯判别分析(GDA)
- 判别式模型
- 最大熵模型
- 条件随机场
- k近邻法
- 感知机
- 决策树
- 逻辑回归
- SVM
- AdaBoost
生成模型 VS 判别模型 (含义、区别、对应经典算法)_CAM-TAY的博客-CSDN博客_判别模型
生成模型与判别模型_zouxy09的博客-CSDN博客_生成模型和判别模型