题目
给你单链表的头指针 head 和两个整数 left 和 right ,其中 left <= right 。请你反转从位置 left 到位置 right 的链表节点,返回 反转后的链表 。示例 1:
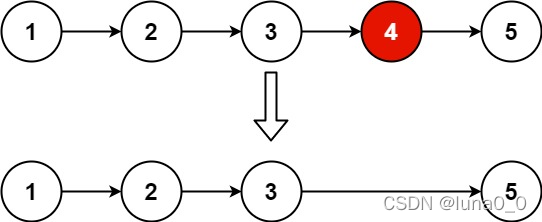
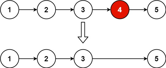
输入: head = [1,2,3,4,5], n = 2
输出: [1,2,3,5]
示例 2:
输入: head = [1], n = 1
输出: [ ]
示例 3:
输入: head = [1,2], n = 1
输出: [1]
使用指针
/**
* Definition for singly-linked list.
* public class ListNode {
* int val;
* ListNode next;
* ListNode() {}
* ListNode(int val) { this.val = val; }
* ListNode(int val, ListNode next) { this.val = val; this.next = next; }
* }
*/
class Solution {
public ListNode removeNthFromEnd(ListNode head, int n) {
if(head == null || head.next == null) return null;
ListNode pre = new ListNode(0,head);
ListNode q = pre;
ListNode p = pre;
while(n-- > 0){
q = q.next;
}
while(q.next != null){
p = p.next;
q = q.next;
}
q = p.next.next;
p.next.next = null;
p.next = q;
return pre.next;
}
}

版权声明:本文为luna0_0原创文章,遵循CC 4.0 BY-SA版权协议,转载请附上原文出处链接和本声明。