”明月如霜,好风如水,清景无限 “
好了,开始新的专题了。带大家尽量的把自控这门课给串一遍。
最开始要有一个自控的大的框架。咱们的自控还是以研究线性问题为主,在线性里研究有三种方法:时域,复域,频域。而每种方法都分为分析和校正,分析是为了研究系统的好坏,状态,确定指标。而校正则是让系统变好(让不稳定的系统稳定,让稳定系统的性能指标更好)
好了,知道了这个大框架后,咋们先来讲讲时域,有些基本功需要提前说一下,方框图和信号流图的(想一下信号流图中的圈对应方框图的什么)转换和梅逊公式。然后是开环增益指的是开环传递函数G(S)在尾1标准型下的K。(尾1即化为括号相乘时,括号内常数项为1),与之相对的根轨迹增益是首1标准型。(根轨迹增益时域不提)除此之外是理解开环和闭环,主要区别是有无反馈,把开环传函记为G(S),闭环传函记为Φ(S)(传递函数的定义是系统输出拉氏变换与输入拉氏变换之比)。最后则是拉氏变换的掌握,自己好好的把拉式变换理解一下。
壹
时域分析(主要三个方面:稳定性,动态/暂态性能和稳态性能)
首先是一阶惯性系统。G(S)=1/(TS+1)

相当清晰,ts=3T,δ%=0,tp=∞。(可以自行回忆一下这三个公式和图像的定义)咋们可以从两个思路走,即有图的情况下,直接观察出峰值的时间,超调的大小,到达0.95*c(∞)的时间。而另一个思路则更客观准确,数学上,求导得到最大值时的tp,顺便对应求出c(tp),根据公式
δ%=(c(tp)-c(∞))/c(∞)而最后的ts,则反解下列方程,再按照定义处理。
c(ts)=0.95*c(∞)但对于一阶系统,直接记结论他不香吗?
好了,讲一阶当然是为了二阶偷懒啊。看你举一反三了。(只要你思路够清晰,拉式变换不错(其实是反拉式变换),那么说到底只是多了两个参数,)你是不是觉得你行了呢?

当然你可以看看课本P66页的推导,如果你课本和文远不一样,而你又不能推导这机械但冗长的步骤,那就看看文远很久以前的步骤吧(强烈建议别看,当时写太丑了,最近的推导纸找不到了)

到了这一步,又要干嘛呢?当然是得到响应图像。

好了,在了解了二阶系统时域下输出的方程的情况下,来讨论一下稳定性,动态/暂态性能和稳态性能)
贰
判断稳定性用劳斯判据,同时我们也知道系统稳定最根本的一句话是:闭环传递函数的极点或者说是特征方程的解全部在复平面的左半平面时,系统稳定。
让我们来捋一捋啥是系统稳定,很好理解,系统有外来干扰了,响应有所偏离,干扰没了,系统能自动的回到原来的平衡状态。那么如何用公式描述这句话。最经典的模拟扰动信号当然是脉冲信号。
也就是当R(S)=1的情况下,C(S)=Φ(S)*1,如果c(∞)=0,说明对原系统的扰动最终将消失。这是如果你学过暂态和稳态响应,还有模态的概念,那么你可以记住极点和模态相关,而零点则和模态的系数有关。不了解模态也没关系,下面会讲:
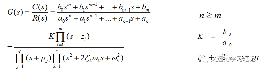
这是任意的线性定常系统的(闭环)传递函数:

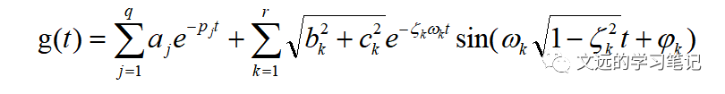
而在脉冲响应下,输出响应的反拉氏变换的结果如下:

其中的极点P影响的是模态: e^(-p*t)
如果我们想要g(t)-->0,因为后半部分在t-->∞已经为零,(我们的ζ一般大于等于0)。那么当所有的p>0时,(自己注意一下系统极点应该是-p),输出响应g(∞)-->0是必然的。也就是说:闭环传递函数的极点或者说是特征方程的解全部在复平面的左半平面时,系统稳定。
当然高阶系统的主导极点分析就跳过了,不实用,因为用频域分析更方便。
叁
动态/暂态性能的分析,也就是一组三个公式,其实是可推导的,因为我们上面已经有欠阻尼下的时域解。
最常考的三个,峰值时间超调量,调节时间。
如果你记得特征根:

那么,

如果你这样记忆,那么就好办了。你还需要了解(闭环极点位置和ζ,Wn,tp,Mp,ts的关系)如果可能,也分析一下闭环零点和这五个的关系:
极点p原为第二象限点。(不移出第二象限,保持欠阻尼)
极点左移,ζ增大,Wn未知,tp不变,Mp减小(与角度β正相关 ),ts减小。
极点右移,ζ减小,Wn未知,tp不变,Mp增大(与角度β正相关 ),ts增大。
极点上移,ζ减小,Wn增大,tp减小,Mp增大(与角度β正相关 ),ts不变(按照估算公式是不变的)。
极点下移,ζ增大,Wn减小,tp增大,Mp减小(与角度β正相关 ),ts不变(按照估算公式是不变的)。
极点左上移(正好反方向沿长过原点),ζ不变,Wn增大,tp减小,Mp不变(与角度β正相关 ),ts减小。
关于零点的读者自行研究。来一个题:

除此之外,你可能不需要记其他阻尼下的公式,但你得把其他阻尼的图形与之对应,咱们先弄清五种阻尼对应的极点位置(根据原始根的解法):

过阻尼,ζ>1。即两根无虚部,都在负实轴上。
临界阻尼阻尼,ζ=1。即两根重合,在负实轴上为-Wn。最终稳定,和过阻尼一样无超调。
欠阻尼,0<ζ<1。即两根为共轭复根,且Re<0,有超调,最终稳定。
零阻尼, ζ=0。即两根为纯虚数。对应下图的响应,是很特殊的等幅振荡。
负阻尼,ζ<0。你观察上式中的开方部分就发现,有些复杂,但毫无疑问,因为-ζWn>0,那么系统有正极点,系统不稳定。

肆
稳态分析。肯定是分析误差的。但是误差分为稳态误差和动态误差。
然而有个很重要的东西!!!!!!!!!!!!!!!
当系统不稳定时,研究系统误差没有意义,系统是否稳定和系统误差大小没有半毛钱关系。
先来一个一般性的系统。

很明显,稳态误差分两部分,根据线性系统可叠加,那么用梅逊公式会有两部分(正常输入R(S)的误差加上扰动N(S)的误差)
我们先给一个一般方法:

除此之外,给定误差系数法也很好用,但其实本身来自上面的一般方法:
先研究一般性的(开环)传递函数

三个静态误差系数就不介绍了,比较简单。
直接给对应的表格:

总结下来,静态误差系数受影响于:

当然还有动态误差,篇幅原因文远只能随便提一嘴。其实就是把误差的时域表达式求出来,具体做法是,把误差传递函数Φe(S)泰勒公式展开,直接求出E(S),反拉式变换后得到e(t)。因此任意时刻的误差都能求出。
伍
最后是时域校正和一些题目。
时域校正的样子:

二阶系统校正具体如何呢:


卢老师总结的特点:

最后本章附上时域的习题:





要答案可以私聊文远。
喜欢的话记得给公众号星标啊,接下来还有复域,频域,非线性,甚至还有现控。尽请期待。公众号回复自控即可,或者点击原文。
END

作者:不爱跑马的影迷不是好程序猿
喜欢的话请关注点赞? ?? ?


壹句: 月寒日暖,来煎人寿