题目描述:
斐波那契数,通常用 F(n) 表示,形成的序列称为 斐波那契数列 。该数列由 0 和 1 开始,后面的每一项数字都是前面两项数字的和。也就是:
F(0) = 0,F(1) = 1
F(n) = F(n - 1) + F(n - 2),其中 n > 1
给你 n ,请计算 F(n) 。
解法一:递归
思路:
斐波那契数列的数学形式就是递归,当前项的和等于前两项的数字之和。
代码如下:
class Solution {
public int fib(int n) {
// 特殊情况
if (n == 0 || n == 1) {
return n;
}
// 递推关系
return fib(n - 1) + fib(n - 2);
}
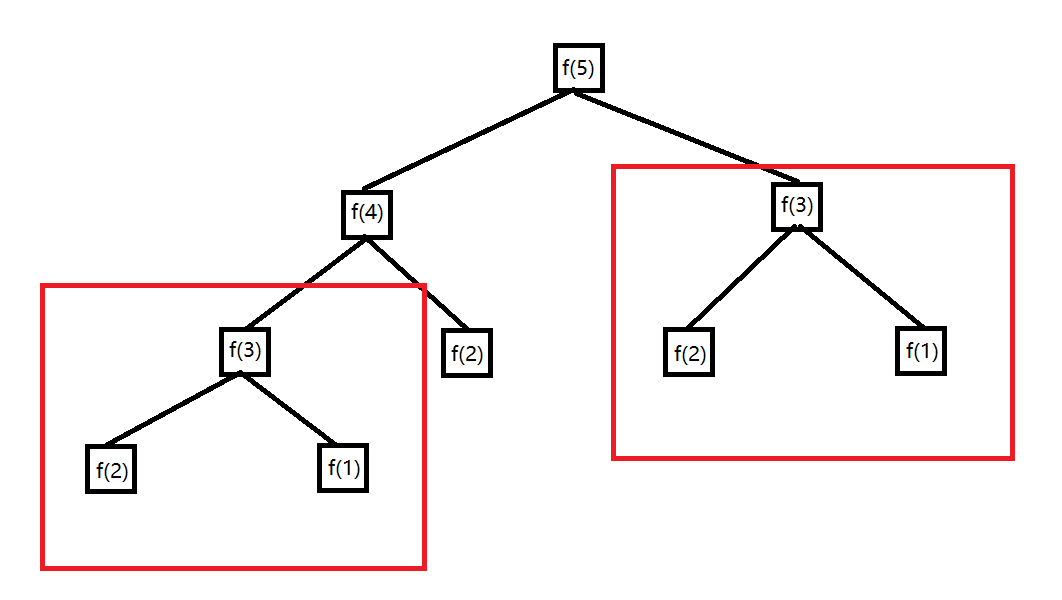
}不足:存在大量的重复计算,如下图:

解法二:带有备忘录的递归算法
思路:
既然递归存在大量重复计算,那就通过记忆的方式解决重复的问题。初始化一个数组值全部为0,判断当前位置的值是否为0,如果为0,则进行递归计算;如果不为0,则不用计算。
代码如下:
class Solution {
public int fib(int n) {
//备忘录数组
int[] nums = new int[n+1];
return memoryFib(nums, n);
}
public int memoryFib(int[] nums, int n){
//递归退出的条件
if(n == 0 || n == 1){
return n;
}
//如果nums[n]的值为0,则递归;如果不为0,则值为原值
return nums[n] == 0 ? memoryFib(nums, n-1) + memoryFib(nums, n-2) : nums[n];
}
}解法三:动态规划
思路:
如下图:

斐波那契额数列的数学形式如下:

状态转移方程: dp[i] = dp[i - 1] + dp[i - 2]
代码如下:
class Solution {
public int fib(int n) {
//处理n为0的情况
if(n == 0){
return 0;
}
//初始化dp数组
int[] dp = new int[n+1];
dp[0] = 0;
dp[1] = 1;
for(int i=2; i <= n; i++){
dp[i] = dp[i-1] + dp[i-2];
}
return dp[n];
}
}解法四:迭代算法
思路:
动态规划确实效率挺高,但是使用了额外的空间。迭代算法可以在不使用额外空间的前提下,完成斐波那契数列的计算。
代码如下:
class Solution {
public int fib(int n) {
//处理特殊情况
if(n == 0){
return 0;
}
if(n ==1 || n ==2){
return 1;
}
int num1 = 1, num2 = 1;
for(int i=2; i < n; i++){
//暂存num2
int temp = num2;
num2 = num1 + num2;
num1 = temp;
}
return num2;
}
}版权声明:本文为weixin_47382783原创文章,遵循CC 4.0 BY-SA版权协议,转载请附上原文出处链接和本声明。