习题三
3.1
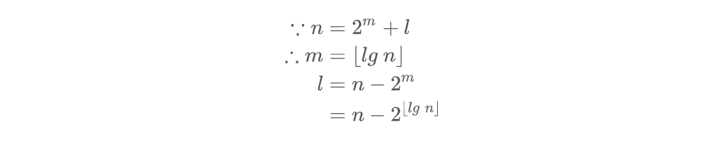
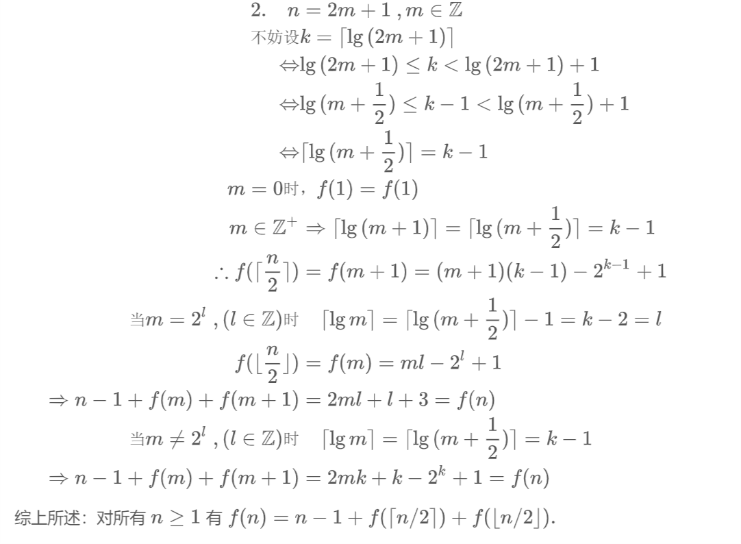
在第一章分析约瑟夫问题时,将任意的一个正整数 n nn 表示成了 n = 2 m + l n=2^m+ln=2m+l 的形式,其中 0 ≤ l < 2 m 0 \le l < 2^m0≤l<2m 。请利用底括号或顶括号,给出将 l ll 和 m mm 表示成为 n nn 的函数的显式公式
3.2
与一个给定实数 x xx 距离最近的整数的公式是什么?在对等情况下,x xx 恰好在两个整数的中间位置,请给出一个表达式,它( a aa )往上舍入成整数,即成为 ⌈ x ⌉ \lceil x \rceil⌈x⌉ ;( b bb )向下舍入成整数,即成为 ⌊ x ⌋ \lfloor x \rfloor⌊x⌋ 。
不失一般性,假设 x xx 位于 n nn 和 n + 1 n+1n+1 之间。
a aa 种情况下,仅当 x ∈ [ n , n + 0.5 ) x \in [n,n+0.5)x∈[n,n+0.5) 时,答案是 n nn ,否则为 n + 1 n+1n+1 ,因此将 x xx 加上0.5再向下取整。
b bb 种情况下,仅当x ∈ [ n , n + 0.5 ] x \in [n,n+0.5]x∈[n,n+0.5] 时,答案是 n nn ,否则为 n + 1 n+1n+1 ,因此将 x xx 减去0.5再向上取整。
a . ⌊ x + 0.5 ⌋ b . ⌈ x − 0.5 ⌉ a. \lfloor x + 0.5 \rfloor \\ b. \lceil x - 0.5 \rceila.⌊x+0.5⌋b.⌈x−0.5⌉
3.3
当 m mm 和 n nn 是正整数,且 α \alphaα 是大于 n nn 的无理数时,计算 ⌊ ⌊ m α ⌋ n / α ⌋ \lfloor \lfloor m \alpha \rfloor n / \alpha \rfloor⌊⌊mα⌋n/α⌋
3.5
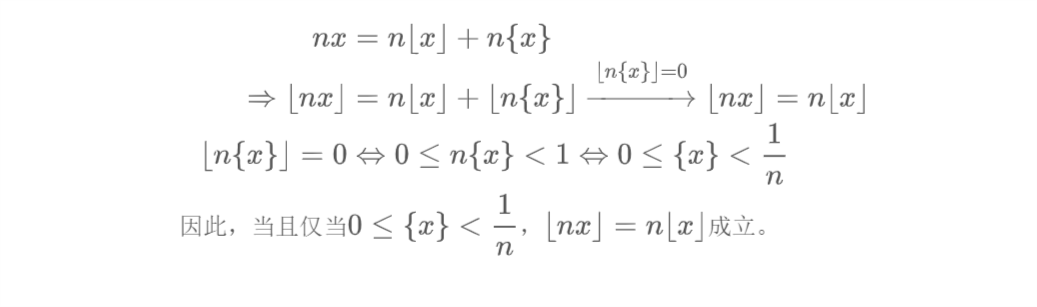
当 n nn 是正整数时,求使得 ⌊ n x ⌋ = n ⌊ x ⌋ \lfloor n x \rfloor = n \lfloor x \rfloor⌊nx⌋=n⌊x⌋ 成立的必要充分条件。(你的条件应该包含 { x } \{x\}{x} )
3.6
当 f ( x ) f(x)f(x) 是仅当 x xx 为整数时才取整数值的连续单调递减函数时,关于 ⌊ f ( x ) ⌋ \lfloor f(x) \rfloor⌊f(x)⌋ 有什么可谈的吗?
3.7
解递归式
X n = n , 0 ≤ n < m X n = X n − m + 1 , n ≥ m X_n = n \ , \quad 0 \le n < m \\ X_n = X_{n-m}+1 \ , \quad n \ge mXn=n ,0≤n<mXn=Xn−m+1 ,n≥m
不妨列出部分 X n X_nXn 的值:
| n | 0 | 1 | 2 | 3 | … \dots… | m-1 | m | m+1 | … \dots… | 2m | 2m+1 | … \dots… |
|---|---|---|---|---|---|---|---|---|---|---|---|---|
| X n X_nXn | 0 | 1 | 2 | 3 | … \dots… | m-1 | 1 | 2 | … \dots… | 2 | 3 | … \dots… |
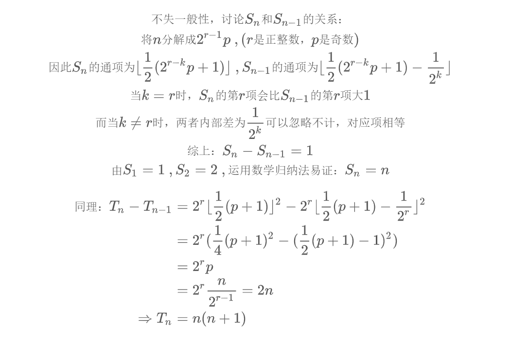
由此可以发现 X n X_nXn 的规律并写出表达式: X n = n m o d m + ⌊ n m ⌋ X_n = n\ mod\ m + \lfloor \frac{n}{m} \rfloorXn=n mod m+⌊mn⌋
3.8
证明狄利克雷抽屉原理:如果 n nn 个物体放进 m mm 个盒子中,那么某个盒子中必定含有 ≥ ⌈ n / m ⌉ \ge \lceil n/m \rceil≥⌈n/m⌉ 个物体,且有某个盒子中必定含有 ≤ ⌊ n / m ⌋ \le \lfloor n/m \rfloor≤⌊n/m⌋ 个物体。
反证法:假设所有盒子中含有 < ⌈ n m ⌉ < \lceil \frac{n}{m} \rceil<⌈mn⌉ 个物体,也即含有 ≤ ( ⌈ n m ⌉ − 1 ) \le ( \lceil \frac{n}{m} \rceil -1)≤(⌈mn⌉−1) 个物体,因此,总共 m mm 个盒子一共含有 ≤ m ( ⌈ n m ⌉ − 1 ) \le m (\lceil \frac{n}{m} \rceil -1)≤m(⌈mn⌉−1) 个物体,有: n m + 1 ≤ ⌈ n m ⌉ \frac{n}{m} + 1 \le \lceil \frac{n}{m} \rceilmn+1≤⌈mn⌉ ,矛盾,假设不成立,即证某个盒子中必定含有 ≥ ⌈ n / m ⌉ \ge \lceil n/m \rceil≥⌈n/m⌉ 个物体。
同理可证某个盒子中必定含有 ≤ ⌊ n / m ⌋ \le \lfloor n/m \rfloor≤⌊n/m⌋ 个物体。
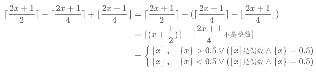
3.10
证明,表达式
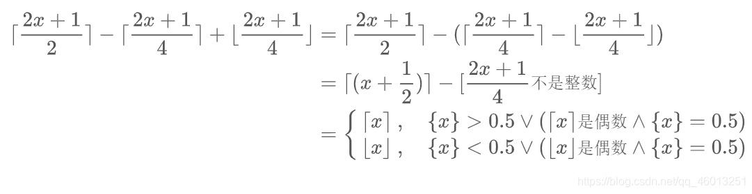
⌈ 2 x + 1 2 ⌉ − ⌈ 2 x + 1 4 ⌉ + ⌊ 2 x + 1 4 ⌋ \lceil \frac{2x+1}{2} \rceil - \lceil \frac{2x+1}{4} \rceil + \lfloor \frac{2x+1}{4} \rfloor⌈22x+1⌉−⌈42x+1⌉+⌊42x+1⌋
总是等于 ⌊ x ⌋ \lfloor x \rfloor⌊x⌋ 或者 ⌈ x ⌉ \lceil x \rceil⌈x⌉ ,每一种情形在何时会出现?

3.11
给出正文中提及的证明细节:当 α < β \alpha < \betaα<β 时,开区间 ( α , β ) (\alpha , \beta)(α,β) 恰好包含 ⌈ β ⌉ − ⌊ α ⌋ − 1 \lceil \beta \rceil - \lfloor \alpha \rfloor -1⌈β⌉−⌊α⌋−1 个整数。为使证明正确,为什么 α = β \alpha = \betaα=β 的情形必须排除在外?

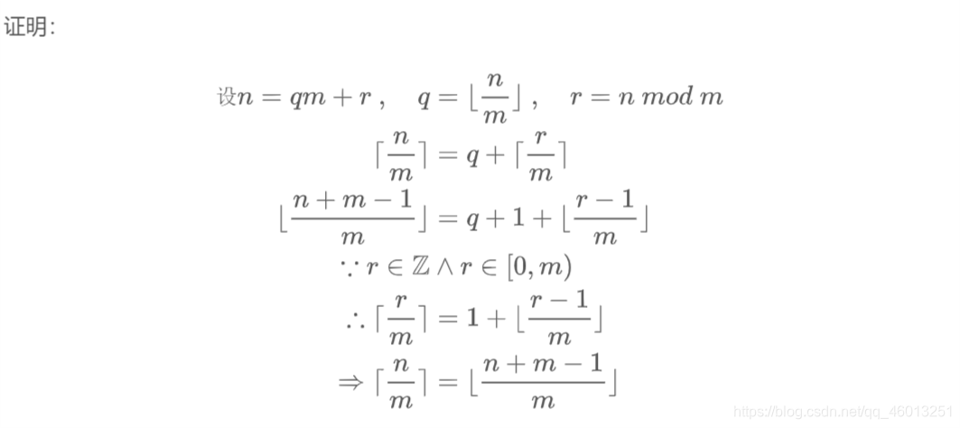
3.12
证明,对所有整数 n nn 和所有正整数 m mm 有
⌈ n m ⌉ = ⌊ n + m − 1 m ⌋ \lceil \frac{n}{m} \rceil = \lfloor \frac{n+m-1}{m} \rfloor⌈mn⌉=⌊mn+m−1⌋
(这个恒等式给出了另一种将顶与底相互转化的方法,它用不到反射律)


3.14
证明或推翻: ( x m o d n y ) m o d y = x m o d y , n 为 整 数 (x \ mod \ ny) \ mod \ y =x \ mod \ y \ , \quad n为整数(x mod ny) mod y=x mod y ,n为整数

3.15
存在与
⌊ m x ⌋ = ⌊ x ⌋ + ⌊ x + 1 m ⌋ + ⋯ + ⌊ x + m − 1 m ⌋ \lfloor mx \rfloor = \lfloor x \rfloor + \lfloor x + \frac{1}{m} \rfloor + \dots + \lfloor x + \frac{m-1}{m} \rfloor⌊mx⌋=⌊x⌋+⌊x+m1⌋+⋯+⌊x+mm−1⌋
类似的用顶替代底的恒等式吗?
已 知 : n = ⌈ n m ⌉ + ⌈ n − 1 m ⌉ + ⋯ + ⌈ n − m + 1 m ⌉ 用 ⌈ m x ⌉ 替 换 n , 得 到 : ⌈ m x ⌉ = ⌈ x ⌉ + ⌈ x − 1 m ⌉ + ⋯ + ⌈ x − m − 1 m ⌉ 已知:n = \lceil \frac{n}{m} \rceil + \lceil \frac{n-1}{m} \rceil + \dots + \lceil \frac{n-m+1}{m} \rceil \\ 用 \lceil mx \rceil 替换 n ,得到:\\ \lceil mx \rceil = \lceil x \rceil + \lceil x - \frac{1}{m} \rceil + \dots + \lceil x - \frac{m-1}{m} \rceil已知:n=⌈mn⌉+⌈mn−1⌉+⋯+⌈mn−m+1⌉用⌈mx⌉替换n,得到:⌈mx⌉=⌈x⌉+⌈x−m1⌉+⋯+⌈x−mm−1⌉
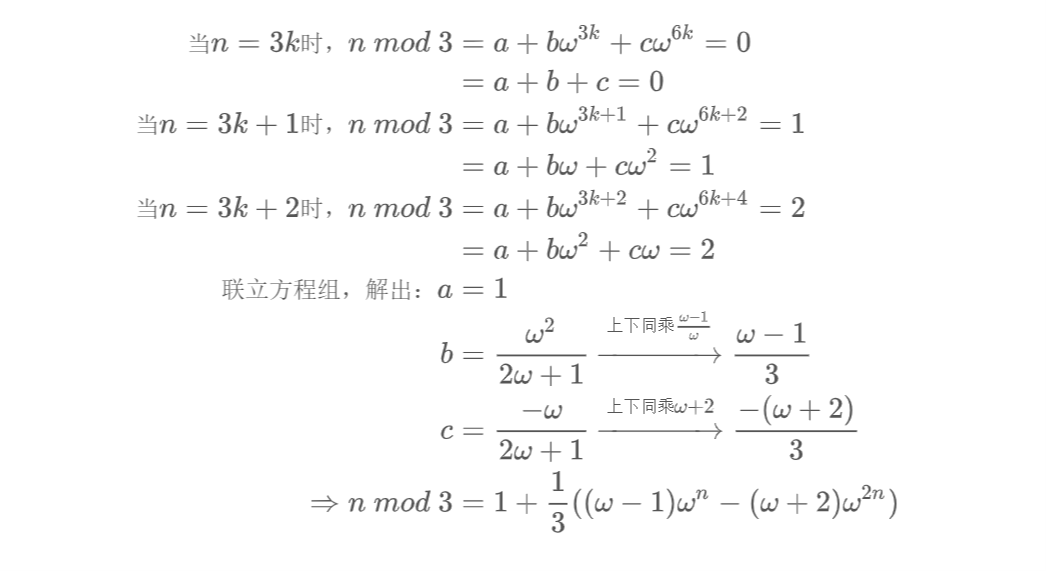
3.16
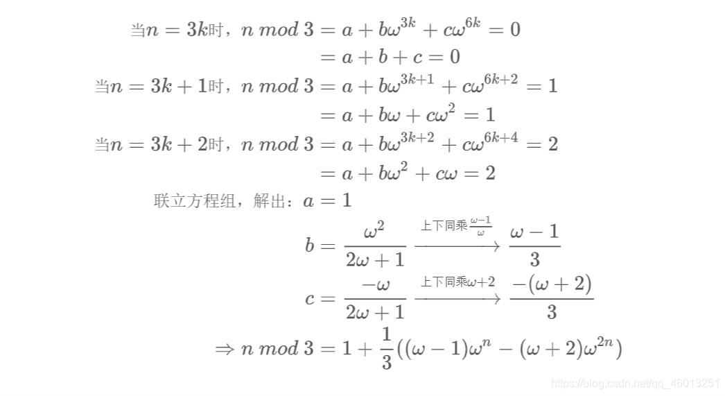
证明 n m o d 2 = ( 1 − ( − 1 ) n ) / 2. n \ mod \ 2 = (1 - (-1)^n )/2.n mod 2=(1−(−1)n)/2. 对 n m o d 3 n \ mod \ 3n mod 3 求出并证明类似的形如 a + b ω n + c ω 2 n a + b \omega^n + c \omega^{2n}a+bωn+cω2n 的表达式,其中 ω \omegaω 是复数 ( − 1 + i 3 ) / 2 (-1 + i \sqrt{3} ) / 2(−1+i3)/2 。提示: ω 3 = 1 \omega^3 = 1ω3=1 且 1 + ω + ω 2 = 0 1 + \omega + \omega^2 = 01+ω+ω2=0
n 无 非 是 两 种 情 况 : n = 2 k 或 n = 2 k + 1 , 其 中 k ∈ Z 如 果 n = 2 k , 则 n m o d 2 = 1 − ( − 1 ) 2 k 2 = 0 如 果 n = 2 k + 1 , 则 n m o d 2 = 1 − ( − 1 ) 2 k + 1 2 = 1 无 论 哪 种 情 况 等 式 均 成 立 。 n 无非是两种情况:n = 2k 或 n = 2k+1 , 其中 k \in \mathbb{Z} \\ 如果 n = 2k ,则 n \ mod \ 2 = \frac{1-(-1)^{2k}}{2} = 0 \\ 如果 n = 2k+1 ,则 n \ mod \ 2 = \frac{1-(-1)^{2k+1}}{2} = 1 \\ 无论哪种情况等式均成立。n无非是两种情况:n=2k或n=2k+1,其中k∈Z如果n=2k,则n mod 2=21−(−1)2k=0如果n=2k+1,则n mod 2=21−(−1)2k+1=1无论哪种情况等式均成立。
同理:
3.17
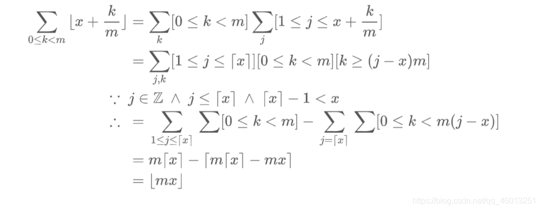
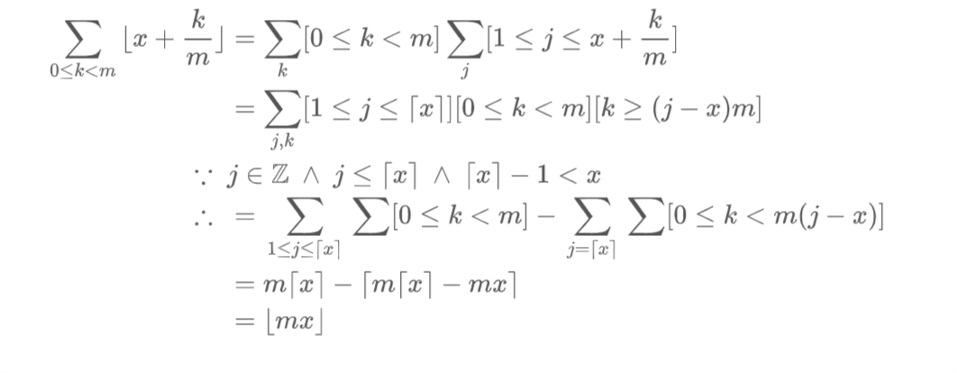
在 x ≥ 0 x \ge 0x≥0 的情况下,通过用 ∑ j [ 1 ≤ j ≤ x + k / m ] \sum_{j} [1 \le j \le x + k/m]∑j[1≤j≤x+k/m] 替换 ⌊ x + k / m ⌋ \lfloor x + k/m \rfloor⌊x+k/m⌋ 并首先对 k kk 求和,来计算和式 ∑ 0 ≤ k < m ⌊ x + k / m ⌋ \sum_{0 \le k < m} \lfloor x + k/m \rfloor∑0≤k<m⌊x+k/m⌋ 。你的答案与 ⌊ m x ⌋ = ⌊ x ⌋ + ⌊ x + 1 m ⌋ + ⋯ + ⌊ x + m − 1 m ⌋ \lfloor mx \rfloor = \lfloor x \rfloor + \lfloor x + \frac{1}{m} \rfloor + \dots + \lfloor x + \frac{m-1}{m} \rfloor⌊mx⌋=⌊x⌋+⌊x+m1⌋+⋯+⌊x+mm−1⌋吻合吗?

3.19
求出关于实数 b > 1 b > 1b>1 的一个必要充分条件,使得
⌊ log b x ⌋ = ⌊ log b ⌊ x ⌋ ⌋ \lfloor \log_b{x} \rfloor = \lfloor \log_b{\lfloor x \rfloor} \rfloor⌊logbx⌋=⌊logb⌊x⌋⌋
对所有实数 x ≥ 1 x \ge 1x≥1 都成立

3.20
当 x > 0 x>0x>0 时,求闭区间 [ α … β ] [\alpha \dots \beta][α…β] 中 x xx 的所有倍数之和
⌈ α x ⌉ 代 表 闭 区 间 中 首 个 x 的 倍 数 ⌊ β x ⌋ 代 表 闭 区 间 中 最 后 一 个 x 的 倍 数 因 此 有 : ∑ k = ⌈ α x ⌉ ⌊ β x ⌋ k x = x 2 ( ( ⌊ β x ⌋ ) 2 + ⌊ β x ⌋ − ( ⌈ α x ⌉ ) 2 + ⌈ α x ⌉ ) \lceil \frac{\alpha}{x} \rceil 代表闭区间中首个 x 的倍数 \\ \lfloor \frac{\beta}{x} \rfloor 代表闭区间中最后一个 x 的倍数 \\ 因此有:\sum_{k=\lceil \frac{\alpha}{x} \rceil}^{\lfloor \frac{\beta}{x} \rfloor} kx = \frac{x}{2} ((\lfloor \frac{\beta}{x} \rfloor)^2 + \lfloor \frac{\beta}{x} \rfloor -(\lceil \frac{\alpha}{x} \rceil)^2 + \lceil \frac{\alpha}{x} \rceil)⌈xα⌉代表闭区间中首个x的倍数⌊xβ⌋代表闭区间中最后一个x的倍数因此有:k=⌈xα⌉∑⌊xβ⌋kx=2x((⌊xβ⌋)2+⌊xβ⌋−(⌈xα⌉)2+⌈xα⌉)
3.21
对 0 ≤ m ≤ M 0 \le m \le M0≤m≤M ,有多少个数 2 m 2^m2m 的十进制表示中,其首位数字为1?
在 十 进 制 表 示 中 , 如 果 首 位 数 字 为 1 , 对 应 该 数 字 为 10 的 幂 而 在 [ 1 0 n , 2 ∗ 1 0 n ) 中 一 共 有 ( ⌈ lg 2 + n lg 10 ⌉ − ⌈ n lg 10 ⌉ ) 个 2 的 幂 , 即 一 个 2 的 幂 问 题 即 转 换 为 : 对 于 0 ≤ m ≤ M , 2 m 中 有 多 少 个 10 的 幂 ? 因 此 答 案 为 : ⌊ log 2 M ⌋ + 1 在十进制表示中,如果首位数字为1,对应该数字为10的幂 \\ 而在[10^n, 2*10^n)中一共有(\lceil \lg{2} + n \lg{10} \rceil - \lceil n \lg{10} \rceil)个2的幂,即一个2的幂 \\ 问题即转换为:对于0 \le m \le M,2^m中有多少个10的幂? \\ 因此答案为:\lfloor \log{2^M} \rfloor + 1在十进制表示中,如果首位数字为1,对应该数字为10的幂而在[10n,2∗10n)中一共有(⌈lg2+nlg10⌉−⌈nlg10⌉)个2的幂,即一个2的幂问题即转换为:对于0≤m≤M,2m中有多少个10的幂?因此答案为:⌊log2M⌋+1
3.22
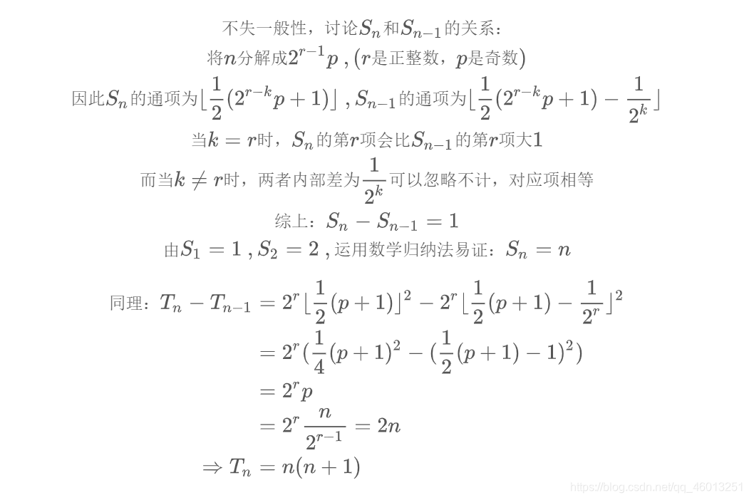
计算和式 S n = ∑ k ≥ 1 ⌊ n / 2 k + 1 2 ⌋ S_n = \sum_{k \ge 1} \lfloor n/2^k + \frac{1}{2} \rfloorSn=∑k≥1⌊n/2k+21⌋ 以及 T n = ∑ k ≥ 1 2 k ⌊ n / 2 k + 1 2 ⌋ 2 . T_n = \sum_{k \ge 1} 2^k \lfloor n/2^k + \frac{1}{2} \rfloor^2.Tn=∑k≥12k⌊n/2k+21⌋2.

3.23
证明序列
1 , 2 , 2 , 3 , 3 , 3 , 4 , 4 , 4 , 4 , 5 , 5 , 5 , 5 , 5 , … 1,2,2,3,3,3,4,4,4,4,5,5,5,5,5, \dots1,2,2,3,3,3,4,4,4,4,5,5,5,5,5,…
的第 n nn 个元素是 ⌊ 2 n + 1 2 ⌋ \lfloor \sqrt{2n} + \frac{1}{2} \rfloor⌊2n+21⌋ (这个序列恰好包含 m mm 个 m mm)

3.25
证明或推翻:对所有非负的 n nn ,由
K 0 = 1 K n + 1 = 1 + m i n ( 2 K ⌊ n / 2 ⌋ , 3 K ⌊ n / 3 ⌋ ) , n ≥ 0 K_0 = 1 \\ K_{n+1} = 1 + min(2K_{\lfloor n/2 \rfloor},3K_{\lfloor n/3 \rfloor}) \ , n \ge 0K0=1Kn+1=1+min(2K⌊n/2⌋,3K⌊n/3⌋) ,n≥0
所定义的高德纳数满足 K n ≥ n K_n \ge nKn≥n.

3.26
证明:辅助的约瑟夫数满足:
( q q − 1 ) n ≤ D n ( q ) ≤ q ( q q − 1 ) n , n ≥ 0 (\frac{q}{q-1})^n \le D_n^{(q)} \le q (\frac{q}{q-1})^n \ , \quad n \ge 0(q−1q)n≤Dn(q)≤q(q−1q)n ,n≥0
辅助的约瑟夫数:
D 0 ( q ) = 1 D n ( q ) = ⌈ q q − 1 D n − 1 ( q ) ⌉ , n > 0 D_0^{(q)} = 1 \\ D_n^{(q)} = \lceil \frac{q}{q-1} D_{n-1}^{(q)} \rceil \ , \quad n > 0D0(q)=1Dn(q)=⌈q−1qDn−1(q)⌉ ,n>0
在辅助的约瑟夫数中,q qq 应该是正整数.
用数学归纳法证明:
第一个 ≤ \le≤ 号:
假 设 ( q q − 1 ) n − 1 ≤ D n − 1 ( q ) 则 : D n ( q ) = ⌈ q q − 1 D n − 1 ( q ) ⌉ ≥ ⌈ ( q q − 1 ) n ⌉ ≥ ( q q − 1 ) n 假设 (\frac{q}{q-1})^{n-1} \le D_{n-1}^{(q)} \\ 则: D_n^{(q)} = \lceil \frac{q}{q-1} D_{n-1}^{(q)} \rceil \ge \lceil (\frac{q}{q-1})^n \rceil \ge (\frac{q}{q-1})^n假设(q−1q)n−1≤Dn−1(q)则:Dn(q)=⌈q−1qDn−1(q)⌉≥⌈(q−1q)n⌉≥(q−1q)n
第二个 ≤ \le≤ 号:
假 设 D n − 1 ( q ) ≤ q ( q q − 1 ) n − 1 − ( q − 1 ) ≤ q ( q q − 1 ) n − 1 D n ( q ) = ⌈ q q − 1 D n − 1 ( q ) ⌉ ≤ ⌈ q ( q q − 1 ) n − q ⌉ ⇔ D n ( q ) ≤ q ( q q − 1 ) n + 1 − q ≤ q ( q q − 1 ) n 假设 D_{n-1}^{(q)} \le q (\frac{q}{q-1})^{n-1} - (q - 1) \le q (\frac{q}{q-1})^{n-1} \\ D_n^{(q)} = \lceil \frac{q}{q-1} D_{n-1}^{(q)} \rceil \le \lceil q (\frac{q}{q-1})^n - q \rceil \\ \Leftrightarrow D_n^{(q)} \le q(\frac{q}{q-1})^n + 1 - q \le q (\frac{q}{q-1})^n假设Dn−1(q)≤q(q−1q)n−1−(q−1)≤q(q−1q)n−1Dn(q)=⌈q−1qDn−1(q)⌉≤⌈q(q−1q)n−q⌉⇔Dn(q)≤q(q−1q)n+1−q≤q(q−1q)n
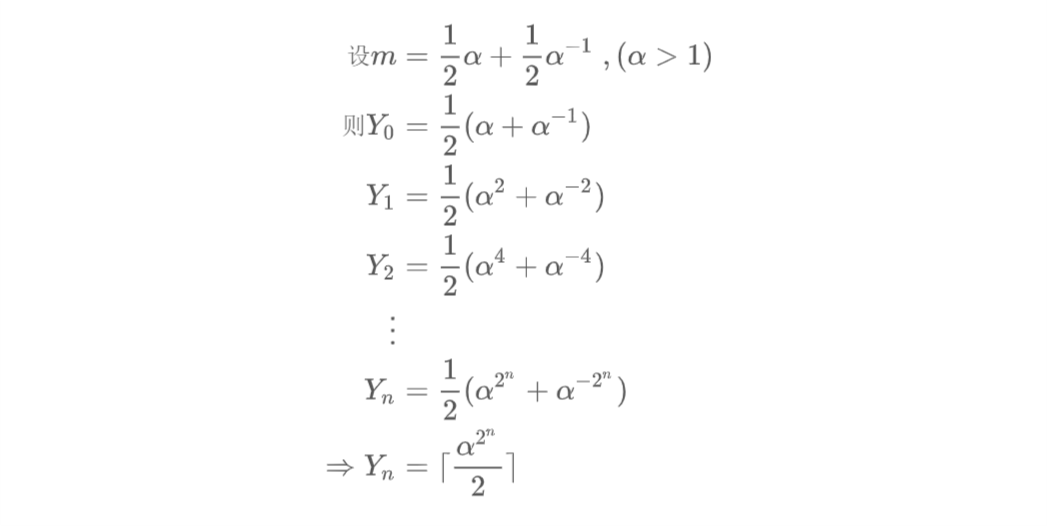
3.30
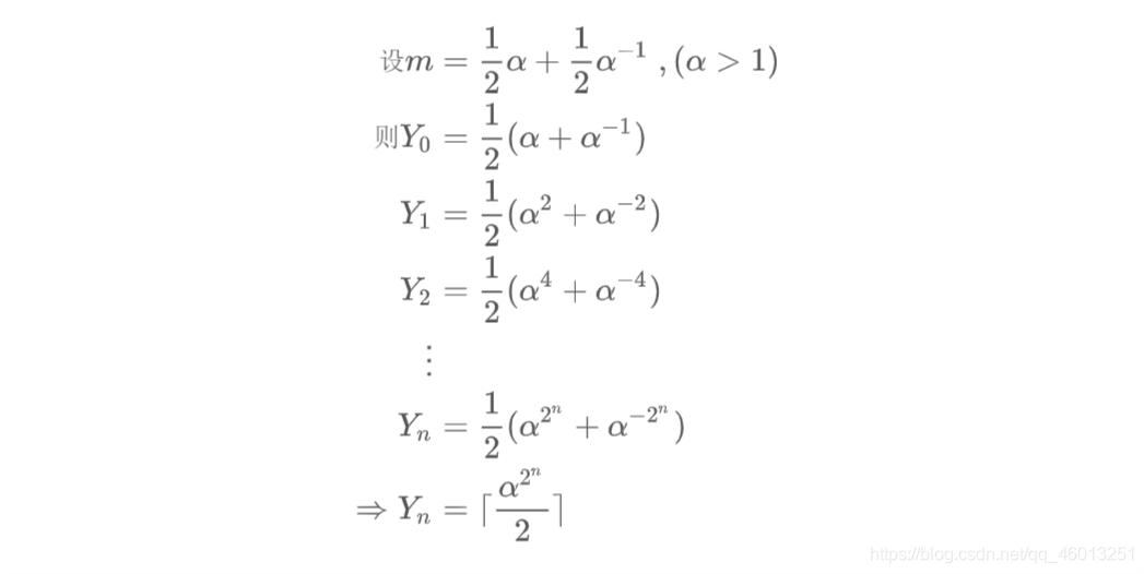
证明:如果 m mm 是一个大于2的整数,其中 α + α − 1 = m \alpha + \alpha^{-1} = mα+α−1=m 且 α > 1 \alpha > 1α>1,那么递归式
有解 X n = ⌈ α 2 n ⌉ . X_n = \lceil \alpha^{2^n} \rceil.Xn=⌈α2n⌉. 例如,如果 m = 3 m=3m=3, 则解为:
X n = ⌈ ϕ 2 n + 1 ⌉ , ϕ = 1 + 5 2 , α = ϕ 2 X_n = \lceil \phi^{2^{n+1}} \rceil \ , \quad \phi = \frac{1+\sqrt{5}}{2} \ , \quad \alpha = \phi^2Xn=⌈ϕ2n+1⌉ ,ϕ=21+5 ,α=ϕ2

3.31
证明或推翻: ⌊ x ⌋ + ⌊ y ⌋ + ⌊ x + y ⌋ ≤ ⌊ 2 x ⌋ + ⌊ 2 y ⌋ . \lfloor x \rfloor + \lfloor y \rfloor + \lfloor x+y \rfloor \le \lfloor 2x \rfloor + \lfloor 2y \rfloor.⌊x⌋+⌊y⌋+⌊x+y⌋≤⌊2x⌋+⌊2y⌋.

3.34
设 f ( n ) = ∑ k = 1 n ⌈ lg k ⌉ . f(n) = \sum_{k=1}^n \lceil \lg{k} \rceil.f(n)=∑k=1n⌈lgk⌉.



3.35
化简公式 ⌊ ( n + 1 ) 2 n ! e ⌋ m o d n \lfloor (n+1)^2 \ n! \ e \rfloor \ mod \ n⌊(n+1)2 n! e⌋ mod n.

3.45
如果 m mm 是一个正整数,推广习题30的技巧来求
的封闭形式的解

如有问题,欢迎大家指出,谢谢