142.环形链标II
题目地址:https://leetcode-cn.com/problems/linked-list-cycle-ii/
给定一个链表的头节点 head ,返回链表开始入环的第一个节点。 如果链表无环,则返回 null。
如果链表中有某个节点,可以通过连续跟踪 next 指针再次到达,则链表中存在环。 为了表示给定链表中的环,评测系统内部使用整数 pos 来表示链表尾连接到链表中的位置(索引从 0 开始)。如果 pos 是 -1,则在该链表中没有环。注意:pos 不作为参数进行传递,仅仅是为了标识链表的实际情况。
不允许修改链表。
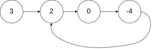
示例 1:
输入:head = [3,2,0,-4], pos = 1
输出:返回索引为 1 的链表节点
解释:链表中有一个环,其尾部连接到第二个节点。
示例 2:
输入:head = [3,2,0,-4], pos = 1
输出:返回索引为 1 的链表节点
解释:链表中有一个环,其尾部连接到第二个节点。
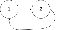
示例 3:
输入:head = [1], pos = -1
输出:返回 null
解释:链表中没有环。
思路
总体思路是快慢指针法,就是一个show指针一次走一步fast指针一次走两步,如果有环的话,当两个指针同时进入环后,他们之间的举例以一的次数减少,每次移动间隔减少一,他们必定会相遇,如果是三和五没有尝试读者可以尝试在评论区说一下可不可以。
下面就是他们如果相遇fast就是快指针走的路程 slow就是慢指针走的路程 环外的路程为a 环的长度为b当他们相遇的时候:
f a s t = 2 s l o w fast=2slowfast=2slow
f a s t = s l o w + n b fast=slow+nbfast=slow+nb(相遇的时候fast比slow多走环的整数倍)
所以:
s l o w = n b slow=nbslow=nb
f a s t = 2 n b fast=2nbfast=2nb
又因为:
链表长度的入口节点位置:s = a + n b s=a+nbs=a+nb
s l o w + a = s slow+a=sslow+a=s
所以ptr=head向前每次向前一其必和slow在入口节点相遇
相遇的地方就是a 再来一个双指针法,此指针和slow 一起向前走 a 步后,两者在入口节点重合。
代码实现(c语言版本)
struct ListNode *detectCycle(struct ListNode *head) {
if(!head)
{
return NULL;
}
struct ListNode *show=head;
struct ListNode *fast=head;
struct ListNode *ptr=head;
while(fast->next&&fast->next->next)
{
show=show->next;
fast=fast->next->next;
if(show==fast)
{
while(show!=ptr)
{
show=show->next;
ptr=ptr->next;
}
return show;
}
}
return NULL;
}


