分类问题是我们在各个行业的商业业务中遇到的主要问题之一。在本文中,我们将从众多技术中挑选出三种主要技术展开讨论,逻辑回归(Logistic Regression)、决策树(Decision Trees)和支持向量机(Support Vector Machine,SVM)。
上面列出的算法都是用来解决分类问题(SVM和DT也被用于回归,但这不在我们的讨论范围之内)。我多次看到有人提问,对于他的问题应该选择哪一种方法。经典的也是最正确的回答是“看情况而定!”,这样的回答却不能让提问者满意。确实让人很费神。因此,我决定谈一谈究竟是看什么情况而定。
这个解释是基于非常简化的二维问题,但足以借此来理解读者棘手的更高维度数据。
我将从最重要的问题开始讨论:在分类问题中我们究竟要做什么?显然,我们是要做分类。(这是个严肃的问题?真的吗?)我再来复述一遍吧。为了做分类,我们试图寻找决策边界线或是一条曲线(不必是直线),在特征空间里区分两个类别。
特征空间 这个词听起来非常高大上,容易让很多新人犯迷糊。我给你展示一个例子来解释吧。我有一个样本,它包含三个变量:x1, x2和target。target有0和1两种值,取决于预测变量x1和x2的值。我将数据绘制在坐标轴上。

这就是特征空间,观测值分布于其中。这里因为我们只有两个预测变量/特征,所有特征空间是二维的。你会发现两个类别的样本用不同颜色的点做了标记。我希望我们的算法能计算出一条直线/曲线来分离这个类别。
通过目测可知,理想的决策边界(分割曲线)是一个圆。实际决策边界形状的差异则是由于逻辑回归、决策树和支持向量机算法的差异引起的。
先说 逻辑回归,很多人对逻辑回归的决策边界都有误解。这种误解是由于大多数时候提到逻辑回归,人们就见到那条著名的S型曲线。

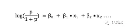
上图所示的蓝色曲线并不是决策边界。它是逻辑回归模型的二元响应的一种变形。逻辑回归的决策边界总是一条直线(或者一个平面,在更高维度上是超平面)。让你信服的最好方法,就是展示出大家都熟知的逻辑回归方程式。

我们做一个简单的假设,F是所有预测变量的线性组合。
上面的等式也可以写作:
当你进行预测的时候,对概率值做一个分数截断,高于截断值的概率为1,否则为0。假设截断值用c表示,那么决策过程就变成了这样:
Y=1 if p>c, 否则0。最后给出的决策边界是F>常数。
F>常数,无非就是一个线性决策边界。我们样本数据用逻辑回归得到的结果将会是这样。

你会发现效果并不好。因为无论你怎么做,逻辑回归方法得到的决策边界总是线性的,并不能得到这里需要的环状边界。因此,逻辑回归适用于处理接近线性可分的分类问题。(虽然可以对变量做变换得到线性可分的结果,但我们在此不讨论这类情况。)
接着我们来看 决策树 如何处理这类问题。我们都知道决策树是按照层次结构的规则生成的。以我们的数据为例。

如果你仔细思考,这些决策规则x2 || const OR x1 || const 只是用平行于轴线的直线将特征空间切分,如下图所示。
我们可以通过增加树的大小使它生长得更复杂,用越来越多的分区来模拟环状边界。

哈哈!趋向于环状了,很不错。如果你继续增加树的尺寸,你会注意到决策边界会不断地用平行线围成一个环状区域。因此,如果边界是非线性的,并且能通过不断将特征空间切分为矩形来模拟,那么决策树是比逻辑回归更好的选择。
然后我们再来看看 SVM 的结果。SVM通过把你的特征空间映射到核空间,使得各个类别线性可分。这个过程更简单的解释就是SVM给特征空间又额外增加了一个维度,使得类别线性可分。这个决策边界映射回原特征空间后得到的是非线性决策边界。下图比我的解释更清楚。

你可以看到,一旦样本数据以某种方式增加了一个维度,我们就能用一个平面来分割数据(线性分类器),这个平面映射回原来的二维特征空间,就能得到一个环状的决策边界。
SVM在我们数据集上的效果多棒啊:

注:决策边界并不是这么标准的圆形,但是非常接近了(可能是多边形)。我们为了操作简便,就用圆环代替了。
现在清楚各种区别了吧,但是还有一个问题。也就是说,在处理多维数据时,什么时候该选择何种算法?这个问题很重要,因为若是数据维度大于三,你就找不到简单的方法来可视化地呈现数据。事实上,这三个算法在其设计之初就赋予了一定的内部特性,我们将其分析透彻的主要目的在于:当你面临商业问题时,这些算法的特性可以让你在选择这些算法时得到一些灵感。
首先,我们来分析下逻辑回归(Logistic Regression),它是解决工业规模问题最流行的算法,尽管与其他技术相比,其在效率和算法实现的易用性方面并不出众。
逻辑回归
逻辑回归非常便利并且很有用的一点就是,它输出的结果并不是一个离散值或者确切的类别。相反,你得到的是一个与每个观测样本相关的概率列表。你可以使用不同的标准和常用的性能指标来分析这个概率分数,并得到一个阈值,然后使用最符合你业务问题的方式进行分类输出。在金融行业,这种技术普遍应用于记分卡中,对于同一个模型,你可以调整你的阈值【临界值】来得到不同的分类结果。很少有其它算法使用这种分数作为直接结果。相反,它们的输出是严谨的直接分类结果。同时,逻辑回归在时间和内存需求上相当高效。它可以应用于分布式数据,并且还有在线算法实现,用较少的资源处理大型数据。
除此之外,逻辑回归算法对于数据中小噪声的鲁棒性很好,并且不会受到轻微的多重共线性的特别影响。严重的多重共线性则可以使用逻辑回归结合L2正则化来解决,不过如果要得到一个简约模型,L2正则化并不是最好的选择,因为它建立的模型涵盖了全部的特征。
当你的特征数目很大并且还丢失了大部分数据时,逻辑回归就会表现得力不从心。同时,太多的类别变量对逻辑回归来说也是一个问题。逻辑回归的另一个争议点是它使用整个数据来得到它的概率分数。虽然这并不是一个问题,但是当你尝试画一条分离曲线的时候,逻辑回归可能会认为那些位于分数两端“明显的”数据点不应该被关注。有些人可能认为,在理想情况下,逻辑回归应该依赖这些边界点。同时,如果某些特征是非线性的,那么你必须依靠转换,然而当你特征空间的维数增加时,这也会变成另一个难题。所以,对于逻辑回归,我们根据讨论的内容总结了一些突出的优点和缺点。
逻辑回归的优点:
便利的观测样本概率分数;
已有工具的高效实现;
对逻辑回归而言,多重共线性并不是问题,它可以结合L2正则化来解决;
逻辑回归广泛的应用于工业问题上(这一点很重要)。
逻辑回归的缺点:
当特征空间很大时,逻辑回归的性能不是很好;
不能很好地处理大量多类特征或变量;
对于非线性特征,需要进行转换;
依赖于全部的数据(个人觉得这并不是一个很严重的缺点)。
决策树
决策树固有的特性是它对单向变换或非线性特征并不关心[这不同于预测器当中的非线性相关性>,因为它们简单地在特征空间中插入矩形[或是(超)长方体],这些形状可以适应任何单调变换。当决策树被设计用来处理预测器的离散数据或是类别时,任何数量的分类变量对决策树来说都不是真正的问题。使用决策树训练得到的模型相当直观,在业务上也非常容易解释。决策树并不是以概率分数作为直接结果,但是你可以使用类概率反过来分配给终端节点。这也就让我们看到了与决策树相关的最大问题,即它们属于高度偏见型模型。你可以在训练集上构建决策树模型,而且其在训练集上的结果可能优于其它算法,但你的测试集最终会证明它是一个差的预测器。你必须对树进行剪枝,同时结合交叉验证才能得到一个没有过拟合的决策树模型。
随机森林在很大程度上克服了过拟合这一缺陷,其本身并没有什么特别之处,但它却是决策树一个非常优秀的扩展。随机森林同时也剥夺了商业规则的易解释性,因为现在你有上千棵这样的树,而且它们使用的多数投票规则会使得模型变得更加复杂。同时,决策树变量之间也存在相互作用,如果你的大多数变量之间没有相互作用关系或者非常弱,那么会使得结果非常低效。此外,这种设计也使得它们更不易受多重共线性的影响。
决策树的优点:
直观的决策规则
可以处理非线性特征
考虑了变量之间的相互作用
决策树的缺点:
训练集上的效果高度优于测试集,即过拟合[随机森林克服了此缺点]
没有将排名分数作为直接结果
支持向量机
支持向量机的特点是它依靠边界样本来建立需要的分离曲线。正如我们 之间看到的那样,它可以处理非线性决策边界。对边界的依赖,也使得它们有能力处理缺失数据中“明显的”样本实例。支持向量机能够处理大的特征空间,也因此成为文本分析中最受欢迎的算法之一,由于文本数据几乎总是产生大量的特征,所以在这种情况下逻辑回归并不是一个非常好的选择。
对于一个行外人来说,SVM的结果并不像决策树那样直观。同时使用非线性核,使得支持向量机在大型数据上的训练非常耗时。总之:
SVM的优点:
能够处理大型特征空间
能够处理非线性特征之间的相互作用
无需依赖整个数据
SVM的缺点:
当观测样本很多时,效率并不是很高
有时候很难找到一个合适的核函数
为此,我试着编写一个简单的工作流,决定应该何时选择这三种算法,流程如下:
1、首当其冲应该选择的就是逻辑回归,如果它的效果不怎么样,那么可以将它的结果作为基准来参考;
2、然后试试决策树(随机森林)是否可以大幅度提升模型性能。即使你并没有把它当做最终模型,你也可以使用随机森林来移除噪声变量;
3、如果特征的数量和观测样本特别多,那么当资源和时间充足时,使用SVM不失为一种选择。
最后,大家请记住,在任何时候好的数据总要胜过任何一个算法。时常思考下,看看是否可以使用你的领域知识来设计一个好的特征。在使用创建的特征做实验时,可以尝试下各种不同的想法。此外,你还可以尝试下多种模型的组合。