一·http 模块
1.1 什么是 http 模块
回顾:什么是客户端、什么是服务器?
在网络节点中,负责消费资源的电脑,叫做客户端;负责对外提供网络资源的电脑,叫做服务器。
http 模块是 Node.js 官方提供的、用来创建 web 服务器的模块。通过 http 模块提供的 http.createServer() 方法,就能方便的把一台普通的电脑,变成一台 Web 服务器,从而对外提供 Web 资源服务。
如果要希望使用 http 模块创建 Web 服务器,则需要先导入它:
const http = require('http');
1.2 进一步理解 http 模块的作用
服务器和普通电脑的区别在于,服务器上安装了 web 服务器软件,例如:IIS、Apache 等。通过安装这些服务器软件,就能把一台普通的电脑变成一台 web 服务器。
在 Node.js 中,我们不需要使用 IIS、Apache 等这些第三方 web 服务器软件。因为我们可以基于 Node.js 提供的 http 模块,通过几行简单的代码,就能轻松的手写一个服务器软件,从而对外提供 web 服务。
1.3 服务器相关的概念
1.IP地址
IP 地址就是互联网上每台计算机的唯一地址,因此 IP 地址具有唯一性。如果把“个人电脑”比作“一台电话”,那么“IP地址”就相当于“电话号码”,只有在知道对方 IP 地址的前提下,才能与对应的电脑之间进行数据通信。
IP 地址的格式:通常用“点分十进制”表示成(a.b.c.d)的形式,其中,a,b,c,d 都是 0~255 之间的十进制整数。例如:用点分十进表示的 IP地址(192.168.1.1)
注意:
①互联网中每台 Web 服务器,都有自己的 IP 地址,例如:大家可以在 Windows 的终端中运行 ping www.baidu.com 命令,即可查看到百度服务器的 IP 地址。
②在开发期间,自己的电脑既是一台服务器,也是一个客户端,为了方便测试,可以在自己的浏览器中输入 127.0.0.1 这个 IP 地址,就能把自己的电脑当做一台服务器进行访问了。
2. 域名和域名服务器
尽管 IP 地址能够唯一地标记网络上的计算机,但IP地址是一长串数字,不直观,而且不便于记忆,于是人们又发明了另一套字符型的地址方案,即所谓的域名(Domain Name)地址。
IP地址和域名是一一对应的关系,这份对应关系存放在一种叫做域名服务器(DNS,Domain name server)的电脑中。使用者只需通过好记的域名访问对应的服务器即可,对应的转换工作由域名服务器实现。因此,域名服务器就是提供 IP 地址和域名之间的转换服务的服务器。
注意:
①单纯使用 IP 地址,互联网中的电脑也能够正常工作。但是有了域名的加持,能让互联网的世界变得更加方便。
②在开发测试期间, 127.0.0.1 对应的域名是 localhost,它们都代表我们自己的这台电脑,在使用效果上没有任何区别。
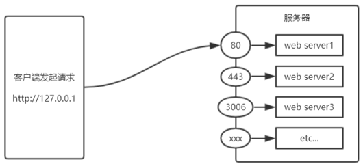
3. 端口号
计算机中的端口号,就好像是现实生活中的门牌号一样。通过门牌号,外卖小哥可以在整栋大楼众多的房间中,准确把外卖送到你的手中。
同样的道理,在一台电脑中,可以运行成百上千个 web 服务。每个 web 服务都对应一个唯一的端口号。客户端发送过来的网络请求,通过端口号,可以被准确地交给对应的 web 服务进行处理。

注意:
- 每个端口号不能同时被多个 web 服务占用。
- 在实际应用中,URL 中的 80 端口可以被省略。
1.4 创建最基本的 web 服务器
1. 创建 web 服务器的基本步骤:
①导入 http 模块
②创建 web 服务器实例
③为服务器实例绑定 request 事件,监听客户端的请求
④启动服务器
2.代码:
// 1.导入 http 模块。
const http = require('http');
// 2.创建 web 服务器实例。
const server = http.createServer();
// 3.为服务器实例绑定 request 事件,监听客户端请求。
server.on('request', function(req, res) {
console.log('someone visit our web server');
});
// 4.启动服务器
server.listen(8080, function() {
console.log('server runing at http://127.0.0.1:8080');
});
3. req 请求对象
只要服务器接收到了客户端的请求,就会调用通过 server.on() 为服务器绑定的 request 事件处理函数。
如果想在事件处理函数中,访问与客户端相关的数据或属性,可以使用如下的方式:
const http = require('http');
const server = http.createServer();
// req请求对象,包含了与客户的相关的数据和属性
server.on('request', req => {
// req.url 是客户端请求的 URL地址
const url = req.url;
// req.method 是客户端请求的 method 类型
const method = req.method;
const str = `Your request url is ${url},and request url is ${method}`;
console.log(str);
});
server.listen(80, function() {
console.log('server runing at http://127.0.0.1');
});
4.res请求对象
// res是响应对象,它包含了与服务器相关的数据和属性
// 调用 res.end() 方法,向客户端响应一些内容。
res.end(str);
5. 解决中文乱码问题
当调用 res.end() 方法,向客户端发送中文内容的时候,会出现乱码问题,此时,需要手动设置内容的编码格式:
const http = require('http');
const { url } = require('inspector');
const server = http.createServer();
server.on('request', (req, res) => {
const url = req.url;
const method = req.method;
const str = `您请求的 url 地址是 ${url},请求的 method 类型是 ${method}`;
// 调用 res.setHeader() 方法,设置 Content-Type 响应头,解决中文乱码问题。
res.setHeader('Content-Type', 'text/html;charset=utf-8');
// 将内容响应给客户端
res.end(str);
});
server.listen(80, () => {
console.log('server running at http://127.0.0.1');
});
1.5 根据不同的 url 响应不同的 html 内容
1. 核心实现步骤:
①获取请求的 url 地址
②设置默认的响应内容为 404 Not found
③判断用户请求的是否为 / 或 /index.html 首页
④判断用户请求的是否为 /about.html 关于页面
⑤设置 Content-Type 响应头,防止中文乱码
⑥使用 res.end() 把内容响应给客户端
2. 动态响应内容
const http = require('http');
const server = http.createServer();
server.on('request', (req, res) => {
// 1.获取 url 地址
const url = req.url;
// 2.设置默认内容 404 Not Found
let content = '<h1>404 Not Found</h1>';
// 3.判断用户输入是否为 / 或 /index.html 首页
// 4.判断用户输入是否为 /about.html 关于页
if (url === '/' || url === '/index.html') {
content = '<h1>首页</h1>';
} else if (url === '/about.html') {
content = '<h1>关于页</h1>';
};
// 5.设置 Content-Type 响应头,防止中午乱码。
res.setHeader('Content-Type', 'text/html;charset=utf-8');
// 6.响应内容到客户端
res.end(content);
});
server.listen(80, () => {
console.log('server running at http://127.0.0.1');
});
1.6 案例 - 实现 clock 时钟的 web 服务器
// 1.1 导入 fs 模块
const fs = require('fs');
// 1.2 导入 path 模块
const path = require('path');
// 1.3 导入 http 模块
const http = require('http');
// 2.1 创建 web 服务器
const server = http.createServer();
// 2.2 监听服务器的 request 事件
server.on('request', (req, res) => {
// 3.1 获取到客户端请求的 url 地址
const url = req.url;
let fpath = '';
// const fpath = path.join(__dirname, url);
// 3.2 把请求的 url 地址,映射为本地存放路径。
if (url === '/' || url === '/index.html') {
fpath = path.join(__dirname, '/clock/index.html');
} else {
fpath = path.join(__dirname, 'clock', url);
}
// 4.1 根据映射过来的文件路径读取文件
fs.readFile(fpath, 'utf8', (err, dataStr) => {
console.log(fpath);
// 4.2 读取文件失败后,向客户端发送固定的错误消息
if (err) return res.end('404 Not Found!');
// 4.3 读取文件成功后,将读取的内容响应给客户端
res.end(dataStr);
})
});
// 2.3 启动服务器
server.listen(80, () => {
console.log('server running at http://127.0.0.1');
});