微积分的本质01
1、圆形的面积
为什么圆的面积公式是Area = πr^2
可以将圆分为无数个宽度相同的同心圆环,这保留了圆的对称性。
将其中一个圆环拉直并思考他的面积

拉直后的图形可以近似看做一个长方形,宽为2πr(根据圆的定义周长公式)高为dr(每一个圆环的宽度),当dr趋近于无限小时,这个图形越趋近于长方形。
所以这个圆环的面积可以近似看做2πrdr(dr越小越准确)
以圆环的半径r为横坐标已圆环的周长为纵坐标,将每个圆环从小到大排布在坐标系上
当dr无限小时,所有圆环的面积之和也就是这个圆形的面积可以看做这些圆环所形成的的三角形的面积0.532pi3也就是piR^2
数学中的很多难题都可以分解为许多小数量的和
2抛物线形成的面积如何计算
找到一个函数A(x),当抛物线X^2的x变化时,函数A(X)就是抛物线形成的面积,这个函数A(x)就是这个抛物线的积分。
3导数

导数就是dx越来越小时这个比值所趋向的值,表示函数对取值的微小变化的敏感程度。
4微积分的基本定理
某图像下方面积函数的导数,就是能够还原定义这个图像的函数。
微积分的本质02导数悖论
1学习导数
导数是瞬时变化率,但变化率是在一段时间内的变化率,而瞬时没有变化。
想象一辆车先加速后减速在3秒内移动了10米,一下是关于距离和时间的图像。

在上面画出车速和时间的关系
速度时间函数随着距离时间函数的变化而产生变化。
速度代表什么
计算速度需要两个时间点,但在坐标轴上每个时间点都对应一个速度值。
所以要计算速度可以取很小的时间差dt,计算每个点的速度就可以写作
这样对于每个时间t带入公式都可以得到该时间点的速度。
2导数的含义
导数并不是在dt为某个具体值比如0.01时ds和dt的比值而是当dt无限逼近于0时这个比值的极限。
从图像上看,在t点和t+dt上做一条直线,当dt逼近无限小时这个直线越和曲线在这个点的切线重合。
导数是某个点的变化率的最佳近似。
3导数的推导
假设距离时间的关系是
当t = 2时
即:
简化后得到:
当dt逼近于0时,后面的项目可以简化,并把2换成横轴的变量t
那么函数s(t) = t3的导数就是3(t)2
最佳近似
导数测量的是某个点的变化率的最佳近似值。
微积分的本质03用几何来求导
微小变化量才是导数的本质
1、x2 导数
可以将x2 看做一个正方形的面积。
当x增大dx时,整个正方形的面积增大有三个部分。
1、x3 导数
f(x) = x3 可以看做一个立方体的体积
当x变化dx个单位时f(x)的体积变化可以看成多个小体积的变化
当dx趋近于0时,f(x)的增量可以看做三个大的长方体的体积和
所以df = 3x2* dx
df/dx = 3x2
微积分的本质03直观理解链式法则和成绩法则
1、加法法则
两个函数的和的导数就是他们导数的和
g(x) + h(x) = dg/dx + dh/dx
推导:
f(x) = sin(x) + x2
当x = 0.5时,f(x) = sin(0.5) + (0.5)2
x增加dx
f(x) = sin(0.5 + dx) + (0.5+dx)2
根据图像:
df = d(sin(x)) + d(x2)
= cos(x)dx + 2xdx
df/dx = cos(x) + 2x
2、两个函数相乘
处理两个东西的乘积,通过面积理解会更好

根据图像当x变化时
f(x) = sin(x)X2为正方形的面积
df = sin(x)d(x2) + x2dsin(x)
df /dx= 2sin(x) + cos(x)x2
左乘右导,右乘左导
3、复合函数
fx = sin(x2)
链式法则

当x变化dx时
h(x) = x2变化的值为dh
sin(x2)变化的值为d(sin(h))
d(sin(h)) = cos(h)dh
d(sin(x2)) = cos(x2)d(x2)
= cos(x2)2xdx
sin(x2)/dx = 2cos(x2)x
任意两个函数g(x)和h(x) ,函数g(h(x))的导数就是g的导数在h处的值,乘以h的导数。
加法法则乘法法则和链式法则
5、指数函数求导
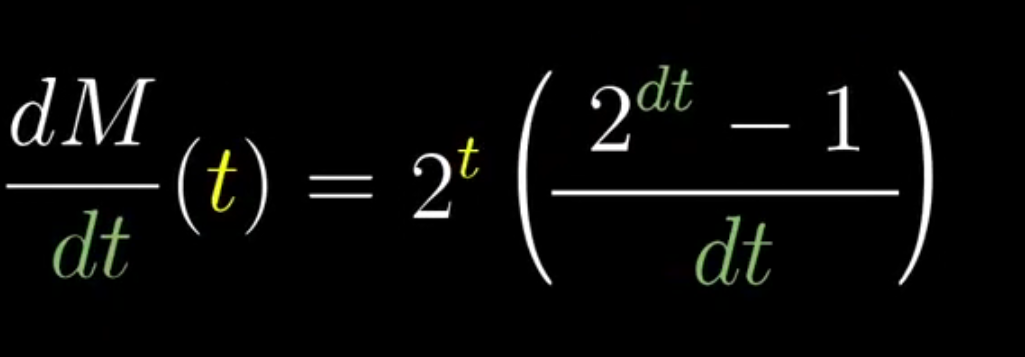
4、f(x) = 2t

如果时间t以整数变化,那么后一天的数量就是前一天数量的两倍,这样2t每天的增长率就是它本身,但当我们把t取值缩小时。
2t的导数就是
对于2t+dt来说可以拆分成2t * 2dt于是可以将2t的导数变为
可以看到右边的式子,dt和t本身完全剥离开,同时我们可以假定一个最小值dt从而计算出右边的式子的值,当dt的值越来越小时这个式子的值就会不断向一个特定值靠近0.6931472…
所以对于指数函数,他在一定时间内的变化率是它自身乘以一个常数,比如对于3t的导数,这个常数就是1.09868.
有没有那个底数能使这个常数为1
e就可以使这个常数为1,e≈2.71828
观察et的图像,在此图像上任意一点切线的斜率都等于这一点到横轴的距离。
运用链式法则考虑其他的指数函数。
比如e3t的导数
就是3e3t
所以对于所有的ect的导数就是cect即是常数乘以函数本身
因为2可以写作eln(2)
所以2t = eln(2)t
即d(2t)/dt = ln(2)eln(2)t
= 0.69314 * 2t
所以对于任意的ct的导数都是
ln©*ct
所有变化率和数量本身成正比的函数的图像看起来都像是指数函数。
6、隐函数求导
1、对于函数X2 + y2 = 52

考虑对于圆上任意一点切线的斜率的计算
这个函数不存在取值的微小变化所造成的函数值得微小变化,也不存在输入一个x对应输出一个y,x和y是同时由一个等式定义,并相互联系的在,这种就是隐函数曲线。
所以对于函数X2 + y2 = 52,我们要对函数两端同时求导数
2xdx + 2ydy = 0
这个过程称为隐函数求导,隐微分。
2、相关变化率
一把五米长梯子斜靠墙上,梯子顶端离地4米那么梯子底端离墙就是3米,当梯子顶端以1m/s的速度下滑时。在开始的一瞬间,梯子底端的速度是?
可以表示为x(t)2+y(t)2 = 52
若要求速度首先可以把x(t)单独表示出来即
x(t) = (52-y(t)2)1/2
然后对这个式子求导即可得出底部的速度。
但换个角度理解
等式x(t)2+y(t)2 = 52是一个关于时间t的函数,这个函数的值并不随这时间改变,可以把等式左边看作关于时间t的函数。
这时候如果我们对等式左边求导数
也就是说当时间t变化dt时,函数x(t)2+y(t)2变化了多少,但函数x(t)2+y(t)2恒等于52所以这个函数的变化率恒等于0即
根据链式法则
比较梯子和求圆切线问题的关系
我们可以给X2 + y2取个名字S
如果给函数S求导就是在问当点在平面上移动了dx和dy之后函数s的值变化了多少
在X方向上变化了2xdx各单位在y上变化了2ydy个单位
所以
dS = 2xdx + 2ydy
但当每个微小变化都落在圆上的时候,等于时保持s的值不变,那么ds就是0
即
2xdx + 2ydy = 0
3、对于函数sin(x)y2 = x

想象从曲线上移动一小段距离(dx,dy)
对表达式的两边求导就可以算出函数在每一边的变化值是多少
sin(x)2ydy + dxcos(x)y2 = dx
如果等式成立那么,移动的(dx.dy)一定落在原来的曲线上
对于函数ex的导数是它本身,那么他的反函数
的导函数是多少。
y = ln(x)
ey = x
eydy = dx
7、极限
1、导数的正式定义

当x = 2时x变化dx各单位,函数值的变化df,在这两个点之间连线,当x逼近0时,这个支线的斜率df/dx才是函数在这个点的导数。
2、极限(ε,δ)的定义
对于下图的函数
当变量h=0时,函数变成0/0函数在这一点上并没有明确的值,但当x取值逼近于0时,函数的值也是逼近于12的,且这个结果和x从哪边逼近并无关系。
逼近的意思。
当函数的取值在0的附近时,函数值也在12的附近,随着x的取值接近于0,函数的取值范围也就越来越缩小到12上。
但如果对于一个函数,将x的取值范围缩小,函数值不会缩小到特定值上时说明函数在该点的极限不存在。
将函数的取值范围在极限点收缩,然后观察函数值是否收缩,以及其收缩后的范围的方法就是极限(ε,δ)的定义
对于函数上任意点到极限值的距离,习惯用希腊字母ε来代表这个距离
总能在极限点的附近,离0点的距离为δ的取值范围内找到一系列的点,使得它的函数值都处在距离为ε的范围之内,这对于任意ε都成立
用导数帮助求解极限
对于函数
分别画出这些函数的图像
当x = 1时
上下两个函数值都是0
当x 变化dx时,sin(πx)会减小d(sin(πx))个单位即
cos(πx)πdx,所以
当x=1时,x变化dx,函数值的变化为-πdx
同样对于函数x2-1
当x=1时,x变化dx,函数值的变化为x2-1的导数的值即
2xdx = 2*dx
所以
考虑任意两个函数f(x)和函数g(x)在x = a这个点的值都是0
因为两个函数在x = a时都为0所以对于f(x)/g(x)不可计算,但可以取x为离a十分相近的值,求解x逼近于a时的极限值。
dfdx与dgdx的比值即
df/dg的值
3、洛必达法则
对于那些0型的极限可以对分子分母分别求导,然后带入x的值就是极限值。
8、积分与微积分的基本定理
1、积分
在只知道每个时间点t一辆汽车的速度的情况下如何找到一个距离函数t描述你在这个时间内行驶的距离。
假设速度和时间的函数为t(8-t)那么他的图像就是
要想求速度和距离的关系,其实就是求在一段时间内速度时间函数围成的面积,这就是积分问题。
首先车速为匀速时,那么车驶过的距离就是速度乘以时间,反应在图像上也就是面积
因为途中横轴的单位时秒,而纵轴的单位时米每秒,所以这个面积的单位自然是米。
但速度不恒定,我们可以假定速度是阶梯状变化的。
将0到8秒的时间轴切成等大的小份
所有长方形的面积之和可以写作
S = ∫ 0 8 v ( t ) d t S = \int_0^8 v(t)dtS=∫08v(t)dt
当dt趋近于0时,这个匀速但速度不连续跳跃的运动就越和实际情况相同,所以这个曲线所围成的面积也就越接近于实际的行驶的距离。
这就是速度时间函数v(t)的积分。
在这个问题中吧右端点当做一个变量T,所以我们考虑的就是速度函数v(t)在0到T之间的积分,也就是这个曲线在(0,T)这个区间内下方的面积。可以写作
S ( T ) = ∫ 0 T v ( t ) d t S(T) = \int_0^T v(t)dtS(T)=∫0Tv(t)dt
那么函数S(T)的导数是什么
d S d T ( T ) \frac{dS}{dT}(T)dTdS(T)
速度等于距离除时间,函数S(T)的导数就是速度,这只是当前速度时间函数的推论,对于其他函数,我们只考虑图像和面积。
T增加dT个单位,那么图像的面积也因此而增加ds,如下图。
当dT足够小的时,可以认为增加的面积是长方形,增加的面积ds就可以近似等于v(T)dT,随着dT减小而精确
那么面积函数的导数
d s d T = v ( T ) \frac{ds}{dT} = v(T)dTds=v(T)
所以任意函数图像下方的面积的导数等于原先函数的本身。
回到汽车行驶的问题函数t(8-t)可以写成 8t-t2
那么可以推算出原函数为
4 t 2 − t 3 3 4{t^2}-\frac {{t^3}}{3}4t2−3t3
但常量的导数是0所以仅仅根据公式,还应该在原函数后面加C即
4 t 2 − t 3 3 + C 4{t^2}-\frac {{t^3}}{3} + C4t2−3t3+C
所以实事上有无数个原函数。
但对于我们的公式
S = ∫ 0 8 v ( t ) d t S = \int_0^8 v(t)dtS=∫08v(t)dt
是存在下限0的所以
∫ 0 T t ( 8 − t ) d t = ( 4 T 2 − T 3 3 ) − ( 4 0 2 − 0 3 3 ) \int_0^T t(8-t)dt = (4{T^2}-\frac{T^3}{3}) - (4{0^2}-\frac{0^3}{3})∫0Tt(8−t)dt=(4T2−3T3)−(402−303)
比如我们求解函数在(1,7)区间上的积分
可以写作
∫ 0 7 t ( 8 − t ) d t = ( 4 7 2 − 7 3 3 ) − ( 4 1 2 − 1 3 3 ) \int_0^7 t(8-t)dt = (4{7^2}-\frac{7^3}{3}) - (4{1^2}-\frac{1^3}{3})∫07t(8−t)dt=(472−373)−(412−313)
这样就算原函数存在一个C也在运算中被消掉了
求积分的第一步是求解原函数。
09面积与斜率有什么关系
1、求一个连续变量的平均值
对于在0到π之间的函数sin(x)可以画出下图。
但在0到π区间上有无数个值,无法做到把所有值相加再除以值的数量。
在这个区间上假设取有限个点
当总数有限时可以把这些值相加然后除以总数从而得到平均值。
这可能与sin(x)在0到π区间的积分之间有联系
∫ 0 π s i n ( x ) d x \int_0^π sin(x)dx∫0πsin(x)dx
当我们取的点的间距为dx时点的数量就是
π d x \frac{π}{dx}dxπ
用总数除以数量即
∫ 0 π s i n ( x ) d x π \frac{\int_0^π sin(x)dx}{π}π∫0πsin(x)dx
对于sin(x)可以求它的原函数
d ( − c o s ( x ) ) d x = s i n ( x ) \frac{d(-cos(x))}{dx} = sin(x)dxd(−cos(x))=sin(x)
所以
∫ 0 π s i n ( x ) d x = ( − c o s ( π ) ) − ( − c o s ( 0 ) ) = 2 \int_0^π sin(x)dx = (-cos(π))-(-cos(0)) = 2∫0πsin(x)dx=(−cos(π))−(−cos(0))=2
所以sin(x)在0到π区间上的平均值是2/π
2为何积分和求导时互逆的运算
过sin(x)原函数cos(x)在x=0和x=π两点上做一条直线。
这个斜率即代表平均值。
sin(x)是原函数的导数,给出了-cos(x)在每个点上的斜率,所以sin(x)的平均值就等于原函数在0到π之间所有切线斜率的平均值。
在某一区间上所有切线的平均斜率就等于起点和终点连线的斜率。
因为要求函数- cos(x)在某一区间的平均斜率就是求函数sin(x)在这一区间的平均值,根据上面的推导过程,sin(x)的平均值的计算和计算起点和终点间的平均斜率的计算方式相同。
对于任意函数如图,想要计算他在a到b之间的平均值。
那么有如下式子
∫ a b f ( x ) d x b − a \frac{\int_a^b f(x)dx}{b-a}b−a∫abf(x)dx
计算积分需要用到原函数写作F(x),所以我们就计算的是F(b)-F(a)这可以看作原函数从起点到终点的高度差,对于函数在一定区间的平均值的问题就可以看作他的原函数在a到b之间的高度变化除以a到b的长度
也就是原函数在起点和终点之间的斜率。
当计算函数在区间上的平均值可以转换为求另一个函数在区间上的平均斜率时,可以只考虑起点和终点而不用考虑任何中间点。.
什么情况想到积分
1 当手上的问题可以用细分再相加的方式估算的话可以使用积分。
2 如果再总数有限时,懂得用相加的方法解决问题,当推广到无限数量时,可以试试积分。
3、高阶导数
设函数为f(x)
那么导数就可以解释为函数在这个点的斜率
如果图像很陡说明导数的值很大,图像向下说明导数是负数
二阶导数表示了斜率的变化
当f(x)向上弯曲说明斜率在增加说明二阶导数是正的
10泰勒级数
一、泰勒多项式
在某个点附近用多项式函数去近似其他函数
对于函数cos(x)可以用
1 − x 2 2 1 - \frac{x^2}{2}1−2x2
来近似
先画出函数图像
如何用一个多项式来近似cos(x)?
P ( x ) = c 0 + c 1 x + c 2 x 2 P(x) = c_0 + c_1x +c_2x^2P(x)=c0+c1x+c2x2
首先可以看到在x等于0时cos(x) 等于1
所以要近似这个函数那么这个近似函数在x为0时值也应该为1
所以c0的值为1
同时要保证这两个函数在该点的切线斜率相同
所以要求原函数在该点的导数
d ( c o s ) d x ( 0 ) = − s i n ( 0 ) \frac{d(cos)}{dx}(0) = -sin(0)dxd(cos)(0)=−sin(0)
同时计算p(x)在x等于0时的导数
d p ( x ) d 0 = c 1 + 2 c 2 0 \frac{dp(x)}{d0} = c_1+2c_20d0dp(x)=c1+2c20
可以得出c1 = 0即常数c1控制着在x等于0时原函数导数的近似程度。
现在近似函数在x等于0这个点的函数值和斜率都已经固定,接下来我们可以使用弯度来推导。
在x为0时cosx的斜率为0,函数向下弯曲,说明此时斜率在不断减小,函数的二阶导数为负值,cos(x)的二阶导数为-Cos(x)在x为0时二阶导函数的值为-1
同样也要保证P(x)的二阶导数的值也为-1
P(x)的二阶导数为
2 c 2 2c_22c2
所以c2的值为-1/2
所以cosx在x=0时的近似函数为
P ( x ) = 1 − 1 2 x 2 P(x)=1-\frac{1}{2}x^2P(x)=1−21x2
以上考虑的是x在0点时的情况,在x为非零点时,例如a点可以将x替换为(x-a)
对于任意函数,也可以对他取一阶、二阶、三阶等任意高阶的导数,计算他在x为0时的值,然后在构建多项式时,x的n次方项的系数就是x=0时函数的n阶导数值除以n的阶乘。这就是这个任意函数的泰勒多项式
P ( x ) = f ( 0 ) + d f ( x ) d x ( 0 ) x 1 1 ! + d 2 f ( x ) d x 2 ( 0 ) x 2 2 ! + d 3 f ( x ) d x 3 ( 0 ) x 3 3 ! + . . . P(x) = f(0)+\frac{df(x)}{dx}(0)\frac{x^1}{1!}+\frac{d^2f(x)}{dx^2}(0)\frac{x^2}{2!}+\frac{d^3f(x)}{dx^3}(0)\frac{x^3}{3!} +...P(x)=f(0)+dxdf(x)(0)1!x1+dx2d2f(x)(0)2!x2+dx3d3f(x)(0)3!x3+...
对于函数ex可以画出图像
ex的高阶导数都是它本身,所以他的所有阶的导数在x等于0时的导数都为1
所以对于他的泰勒多项式的每一项的系数都是1/n!
二、几何与泰勒多项式

考虑一个函数,如何近似这个函数下方的面积
微积分的基本定理,图像所表示的函数本身就是面积函数的导数。
当dx逼近0时函数增加的面积可以看作一个长方形,用函数在该点的值乘dx就可以
担当dx不逼近0时,函数下方变化的面积就需要看作一个长方形加一个三角形。
设a为取值起点,变化后的x的值为x那么dx= x-a
那么长方形的面积就是
d f x − a ( a ) ( x − a ) \frac{df}{x-a}(a)(x-a)x−adf(a)(x−a)
三角形的面积为
1 d 2 f x 2 d x 2 ( a ) ( x − a ) 2 \frac{1d^2fx}{2dx^2}(a)(x-a)^22dx21d2fx(a)(x−a)2
所以fx在x点的近似面积就是
f ( a ) + d f x − a ( a ) ( x − a ) + 1 d 2 f x 2 d x 2 ( a ) ( x − a ) 2 f(a)+\frac{df}{x-a}(a)(x-a)+\frac{1d^2fx}{2dx^2}(a)(x-a)^2f(a)+x−adf(a)(x−a)+2dx21d2fx(a)(x−a)2
二、泰勒级数
将近似函数的多项式累加无限多项
收敛如果一个级数累加的越多,就越接近一个值的话就可以说这个级数收敛到那个值
比如指数函数sin cos 函数都可以在x为任意值时收敛
但有的函数只能在附近的范围内收敛
比如ln(x)
在x取值在0到二之间时,随着项数的增加,就越接近这个函数的真实结果,但当x取值越过2
时,级数就不再接近任何值了
所以在lnx中在x等于1时获得的导数信息并不能拓展到更广的取值范围
像这种累加多个项,但他的和并不能逼近一个确定值的级数我们称之为发散的
把用在近似原始函数的那个点的周围能够让多项式的和收敛的最大取值范围,称作这个泰勒级数的收敛半径。