目录
一、数据处理基本原理
1-指标类型及规范化作用
对于多属性决策变量,一般需要数据预处理,一般会给出指标,常见的指标类型如下:
常见的综合评价的指标有四种,分别极大型,极小型,中间型,区间型。如下图所示,对于不同的指标类型,我们需要进行一致化处理(正向化),所谓一致化处理就是将评价指标的类型进行统一,使得表中任意属性下性能越优秀的方案变换后属性值越大(极大型)。
无量纲化处理:不同指标,不同单位需要进行无量纲化处理。
归一化处理:对于不同指标,不同数值大小,使所有指标类型落在[0,1]之间。
规范化可以起到三个作用,即正向化,无量纲化,归一化。
2-数据规范化的常用方法
注:其中方法2和方法6最常用。
方法1:线性变换法
线性变换法适用于极大型和极小型的指标,线性变换过程如下所示。
需要注意的是:
1-经过变换后的bij最优值不一定为1,最差值不一定为0.
2-bij的取值范围是0到1.
3-所有指标均为正向指标。
方法2:极差变换法(使变换后的每个属性的最优值为1,最差值为0)
极差变换化所有指标均为正向指标。
方法3:区间型属性的变换
对于区间型的指标,对区间型数据进行规范化处理,使用分段函数,其中[c,d]区间是最优区间,落在其中是最优的,赋值为1,超出最大和最小容忍范围则赋值为0.
方法4:中间型属性的变换
假设生产零件的合格长度是12cm,则属于中间型,距离中间属性越近,变换后则越接近1,说明越好,属性越优。
方法5:向量归一化法(使每列的平方和为1)
正负向指标方向没有发生变化。
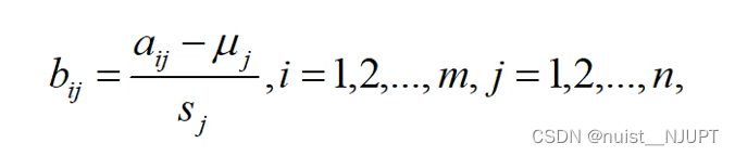
方法6:标准样本变化法
数理统计的方法,每一列的数减取该列的平均值,然后除以该列的标准差。经过标准化样本法变换后标准化样本矩阵的均值为1,方差为0。MATLAB中zscore()方法实现,用SPSS等工具也能计算。
版权声明:本文为nuist_NJUPT原创文章,遵循CC 4.0 BY-SA版权协议,转载请附上原文出处链接和本声明。






