冯言冯语说DSP(二) 序列的z变换
第2章 z变换与离散时间傅里叶变换
<一> 序列的z变换
第2章的内容比较多,故将其分为两篇来讲。第一篇,主要说序列的z变换。关于z变换,主要说以下几个方面:z变换的定义,z变换的收敛域,z反变换,z变换的性质与定理,利用z变换求解差分方程,s平面到z平面的映射关系。
一、z变换的定义
百度百科中讲,Z变换(Z-transform)是将离散系统的时域数学模型——差分方程转化为较简单的频域数学模型——代数方程,以简化求解过程的一种数学工具。离散信号系统的系统函数(或者、称传递函数)一般均以该系统对单位抽样信号的响应的Z变换表示。由此可见,Z变换在离散系统中的地位与作用,类似于连续系统中的拉氏变换。
Z变换和z反变换的定义式如下:
需要注意的是,z变换公式中只有幂级数收敛时,z变换才有意义,因而必须研究z变换的收敛域;z反变换实际上是求z变换式的幂级数展开的系数,也必须在收敛域内求解。因此,z变换的收敛域极为重要。
二、z变换的收敛域
对于给定序列x(n),能使X(z)收敛的所有z值的集合称为X(z)的收敛域。注意,对于一个确定的序列x(n),它的z变换X(z)的表达式及X(z)的收敛域二者共同才能唯一确定这一序列。
不同形式的序列其收敛域是不同的,4种典型序列的z变换的收敛域:
(1)有限长序列。即x(n)只在[n1,n2]有值。其收敛域至少是(0,∞),也称有限z平面。在n是我特殊选择下,收敛域还可以扩大。应注意,不论什么序列,若n>0时序列有值,则在z=0处不收敛;若n<0时序列有值,则在z=∞处不收敛。
**(2)右边序列。**即n≥n1时,x(n)有值,其余为0.其收敛域为Rx-<|z|<∞。另外,当此序列是因果序列(即n≥0时有值)时,收敛域还将包括|z|=∞
**(3)左边序列。**即n≤n2时,x(n)有值,其余为0. 其收敛域为0<|z|<Rx+。另外,当此序列为反因果序列或非因果序列时,收敛域还将包括|z|=0.
**(4)双边序列。**收敛域是环状区域,即Rx-≤|z|≤Rx+。
总结来说,右边序列的z变换收敛域在模值最大的有限极点所在圆之外,左边序列z变换收敛域在模值最小的有限极点所在圆之内,双边序列z变换收敛域是一个环状区域的内部,内边界取为此序列中n≥0的序列的模值最大的有限极点所在的圆,外边界取为此序列中n<0的序列的模值最小的有限极点所在的圆,均不包括圆周。
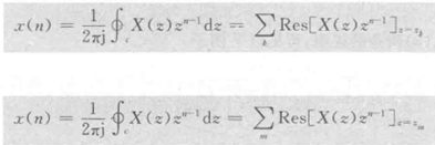
三、z反变换
求z反变换主要有三种方法:围线积分法(留数法)、部分分式法、长除法(幂级数法)
1、围线积分法(留数法):
由于直接计算围线积分比较麻烦,所以一般用留数定理计算围线积分。

对于留数的计算,须分两种情况讨论
应注意,这些极点是和n有关的,求解时,应将n划成不同区域求解。
2、部分分式法
将X(z)展开为部分分式的形式,然后求每一个部分分式的z反变换,再将各个反变换加起来就得到所求的x(n)。由于过程叙述起来较为麻烦,故不进行详述,仅以一个例题进行说明。

3、幂级数展开法(长除法)。
(1)X(z)用有理分式表示的情况下
对于单边序列,可以用长除法直接展开成幂级数的形式。若X(z)的收敛域为|z|>Rx-,则x(n)为右边序列,应将X(z)展成z的负幂级数,为此,X(z)的分子分母应按z的降幂排列;若X(z)的收敛域为|z|<Rx+,则x(n)为左边序列,应将X(z)展成z的正幂级数,为此,X(z)的分子分母应按z的升幂排列。
幂级数法除非求出x(n)很明显外,一般不一定能给出x(n)的显式表达。且幂级数法一般不适于求解双边序列,否则要分成两个单边序列进行求解。
(2)X(z)是有限长序列。展开后,直接观察确定。
(3)X(z)用超越函数表示。查数学手册解决。
四、z变换的性质与定理
**1、线性。**即满足比例性和可加性。相加后z变换的收敛域一般为两个相加序列的收敛域的重叠部分。
2、序列的移位。
(1)双边z变换情况下
序列移位,只是在X(z)上乘了一个因子。对于单边序列或有限长序列,移位后在z=0或z=∞处收敛域可能会有变化。
(2)单边z变换情况下
因果序列右移后的单边z变换与右移后的双边z变换是相同的,而因果序列左移后的单边z变换与左移后的双边z变换是不同的。
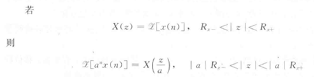
3、z域尺度变换(乘以指数序列)性
非零的a是z平面的尺度变换因子或称为压缩扩张因子。若a为非零实数,则表示z平面的缩扩;若a为复数,且|a|=1,则表示z平面上的旋转;若a为一般复数,则表面z平面上既有幅度伸缩,又有角度旋转。
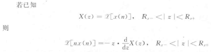
4、序列的线性加权(z域求导数)性
若n有乘方,则多次进行求导,(-z d /dz)本质上是一个算子。
5、序列共轭性
共轭序列z变换是原z变换式对z取共轭、计算结果再取共轭。实序列的z变换的非零复数极点(或零点)一定是以共轭对的形式存在的。
6、序列翻褶性
序列n取相反数,z取倒数,收敛域的两边界也取倒数。
7、初值定理
对于因果序列x(n),即x(n)=0,n<0,有X(z)在z取到∞的极限值为x(0)
8、终值定理
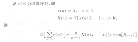
9、因果序列的累加性
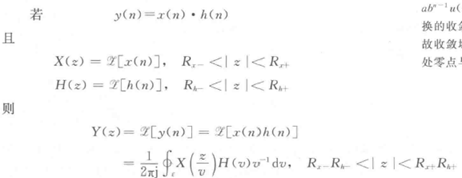
10、序列的卷积和定理(时域卷积和定理)
时域卷积,z变换域相乘。收敛域是两收敛域的重叠部分。
11、序列相乘(z域复卷积定理)
时域相乘,z变换域复卷积。复卷积公式可用留数定理求解,关键在于正确决定围线所在收敛域。
12、帕塞瓦定理
说明序列在时域的能量等于其在频域呃能量
z变换的主要性质和定理汇总:
五、利用z变换求解差分方程
利用z变换求解差分方程是利用z变换的移位性和线性把差分方程转换成代数方程,以便简化求解过程。
下以一例题说明。
六、s平面到z平面的映射关系
S平面的虚轴对应于z平面的单位圆上,S平面的左半平面对应于z平面的单位圆内,S平面的右半平面对应于z平面的单位圆外。S平面的原点s=0对应于z平面单位圆上z=1这一点。