线性变换与矩阵
一个线性变换与一个矩阵相对应
例如,设有线性空间V1和V2,T为V1到V2上的某个线性变换,则有一个矩阵A与变换T对应
如何确定这个线性变换对应的矩阵?方法如下:
设{e i {e_i}ei}为V1的n个基
设{f j f_jfj}为V2的m个基
T : V 1 ⟶ V 2 T: V_1\longrightarrow V_2T:V1⟶V2
对每个e i e_iei进行线性变换即
T e 1 = a 11 f 1 + a 21 f 2 + … + a m 1 f m T e 2 = a 12 f 1 + a 22 f 2 + … + a m 2 f m \begin{aligned} &T e_{1}=a_{11} f_{1}+a_{21} f_{2}+\ldots+a_{m 1} f_{m} \\ &T e_{2}=a_{12} f_{1}+a_{22} f_{2}+\ldots+a_{m 2} f_{m} \end{aligned}Te1=a11f1+a21f2+…+am1fmTe2=a12f1+a22f2+…+am2fm
⋮ \vdots⋮
T e n = a 1 n f 1 + a 2 n f 2 + … + a m n f m T e_{n}=a_{1 n} f_{1}+a_{2 n} f_{2}+\ldots+a_{m n} f_{m}Ten=a1nf1+a2nf2+…+amnfm
在经过如上的n次变化后,把每行写成一个列(column),从而可以得到如下矩阵
A m × n = [ a 11 a 12 … a 1 n a 21 a 22 … a 2 n ⋮ ⋮ ⋱ ⋮ a m 1 a m 2 … a m n ] A_{m \times n}=\left[\begin{array}{cccc} a_{11} & a_{12} & \ldots & a_{1 n} \\ a_{21} & a_{22} & \ldots & a_{2 n} \\ \vdots & \vdots & \ddots & \vdots \\ a_{m 1} & a_{m 2} & \ldots & a_{m n} \end{array}\right]Am×n=⎣⎢⎢⎢⎡a11a21⋮am1a12a22⋮am2……⋱…a1na2n⋮amn⎦⎥⎥⎥⎤
A is a matrix over C \mathbb{C}C
一些典型的基变换
考虑一个n维的线性空间V1,其基为{e i e_iei}。以及一个m维的线性空间V2,其基为{f j f_jfj}。矩阵A代表从V1到V2上的线性变换对应的矩阵
A = [ a i j ] ↦ T : C n → C m A=\left[a_{i j}\right] \mapsto T: \mathbb{C}^{n} \rightarrow \mathbb{C}^{m}A=[aij]↦T:Cn→Cm
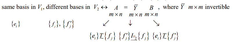
- 空间V1找另一组新基e ′ e'e′
A表示: V1的基为{e i e_iei}、V2的基为{f j f_jfj}时,变换T所对应的矩阵
B表示: V1的基为{e i ′ e_i'ei′}、V2的基为{f j f_jfj}时,变换T所对应的矩阵
X表示: V1从基{e i e_iei}到基{e i ′ e_i'ei′}的线性变换I V 1 I_{V_1}IV1对应的矩阵
则矩阵A=BX
其实很好理解,注意,矩阵的乘法是右边开始结合的。对等式A=BX考察等式右边: 先有X,X表示从{e i e_iei}指向{e i ′ e_i'ei′};然后是B,表示从{e i ’ e_i’ei’}指向{f j f_jfj};联合起来看,就是从{e i e_iei}指向{f j f_jfj},也就是等式左边矩阵A的含义

- 空间V2找一组新基{f j ′ f_j'fj′}

- V1和V2都换一组新基

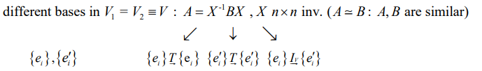
- 空间V1和V2为同一个空间的不同基,则

注: 此时矩阵A和矩阵B称为相似矩阵。换句话说,相似矩阵是同一个线性变换在不同基下的不同表示
下面讨论正交规范基(orthonormal bases)的形式,简写为o.n. bases
下面的5、6、7、8条分别与上面的1、2、3、4条有对应关系
- 对V1换基,则:
different o.n. bases in V 1 , same o.n. in V 2 ↔ A = B U , U n × n unitary \text { different o.n. bases in } V_{1} \text {, same o.n. in } V_{2} \leftrightarrow A=B U, U \quad n \times n \text { unitary } different o.n. bases in V1, same o.n. in V2↔A=BU,Un×n unitary
unitary矩阵即酉矩阵(或称幺正矩阵)
- 对V2换基,则
same o.n. in V 1 , different o.n. in V 2 ↔ A = V B , V m × m unitary \text { same o.n. in } V_{1} \text {, different o.n. in } V_{2} \leftrightarrow A=V B, V \quad m \times m \text { unitary } same o.n. in V1, different o.n. in V2↔A=VB,Vm×m unitary
- V1和V2都换基
different o.n. in V 1 & V 2 ↔ A = V B U \text { different o.n. in } V_{1} \& V_{2} \leftrightarrow A=V B U different o.n. in V1&V2↔A=VBU
- V1和V2为同一个线性空间
different o.n bases of V 1 = V 2 : A = U ∗ B U , U n × n unitary ( A ≅ B : A , B are unitarily equiv.) \text { different o.n bases of } V_{1}=V_{2}: A=U^{*} B U, U \quad n \times n \text { unitary }(A \cong B: A, B \text { are unitarily equiv.) } different o.n bases of V1=V2:A=U∗BU,Un×n unitary (A≅B:A,B are unitarily equiv.)
此时即矩阵A和矩阵B有酉等价(unitarily equiv.)关系。