1.基于小波域的小波阈值去噪
小波萎缩法是目前研究最为广泛的方法,小波萎缩法又分成如下两类:第1类是阈值萎缩,由于阈值萎缩主要基于如下事实,即比较大的小波系数一般都是以实际信号为主,而比较小的系数则很大程度是噪声。因此可通过设定合适的阈值,首先将小于阈值的系数置零,而保留大于阈值的小波系数;然后经过阈值函数映射得到估计系数;最后对估计系数进行逆变换,就可以实现去噪和重建;而另外一种萎缩方法则不同,它是通过判断系数被噪声污染的程度,并为这种程度引入各种度量方法(例如概率和隶属度等),进而确定萎缩的比例,所以这种萎缩方法又被称为比例萎缩。阈值萎缩方法中的两个基本要素是阈值和阈值函数。
阈值的选择:
阈值的确定在阈值萎缩中是最关键的。目前使用的阈值可以分成全局阈值和局部适应阈值两类。其中,全局阈值对各层所有的小波系数或同一层内的小波系数都是统一的;而局部适应阈值是根据当前系数周围的局部情况来确定阈值。目前提出的全局阈值主要有以下几种:
(1),Donoho和Johastone统一阈值(简称DJ阈值):
其中σ为噪声标准方差,N为信号的尺寸或长度。
(2),基于零均值正态分布的置信区间阈值:
3),Bayes Shrink阈值和Map Shrink阈值。在小波系数服从广义高斯分布的假设下,Chang等人得出了阈值:
其中,(R为噪声标准方差,RB为广义高斯分布的标准方差值)。
(4),最小最大化阈值:这是Donoho和John Stone在最小最大化意义下得出的阈值与上边的阈值不同,它是依赖于信号的,而且没有显式表达式,在求取时需要预先知道原信号。
(5),理想阈值:理想阈值是在均方差准则下的最优阈值,同最大最小化阈值一样,也没有显式的表达式,并且这个阈值的计算通常也需先知道信号本身。
阈值函数:
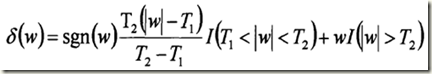
Bruce和Gao。提出了一种半软阈值函数:
该方法通过选择合适的阈值T1和12,可以在软阈值方法和硬阈值方法之间达到很好的折中。另外,zhang等人为了对SIJRE误差准则函数进行基于梯度的优化搜索,提出了另外一种阈值函数,这种阈值函数同上边闭值函数所不同的是它拥有更高的导数阶,故其重建图像更为平滑,但该文作者将去噪效果的提高归功于搜索方法,其实,Donoh。和 Johnstone提出的在当前小波系数集合中,搜索最优阈值的方法,对于当前已经是优的了,由此可见,该去噪效果的提高则应归功于阈值函数的选取。
2.全变分去噪
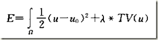
TV方法是由Rudin Osher and Fatemi提出,它基于变分法的思想,确定图像的能量函数,通过对图像能量函数最小化达到平滑去噪的目的。是现在比较流行的图像复原方法。图像的能量函数方程为:
在文献[2]中给出的全变分去噪能量泛函为:
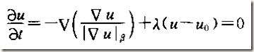
为了使得能量函数最小,其欧拉-拉格朗日方程为:
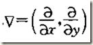
其中,梯度算子:
正则项:
用来减少平坦区域的退化。将整体左边转换成图像中任意像素点中的局部坐标系后,方程可以分解成边缘方向和边缘正交的两个方向,分解后个方向的系数控制着该方向的扩散强度。扩散方向实际上是一个分线性的各向异性的扩散方程,其扩散算子仅沿图像梯度的正交方向扩散,扩散系数为1/|▽μ|,而朝着梯度方向无扩散。这样可以通过图像的梯度来判断边缘位置,使得边缘扩散系数最小,从而降低对边缘的模糊程度,但是也由于边缘的扩散系数小,噪声得不到很好的抑制,而且当|▽μ|>λ的时候,势能函数是非凸的,使得边缘处处理表现不稳定。所以,如何确定扩散参数的值是一个问题。