这是另一片写卡尔曼滤波的文章,亮点在与总结的卡尔曼滤波的五个公式,可通过上一篇理解卡尔曼滤波的推导原理,本篇用来理解卡尔曼滤波的计算实现
1.简介(Brief Introduction)
在学习卡尔曼滤波器之前,首先看看为什么叫“卡尔曼”。跟其他著名的理论(例如傅立叶变换,泰勒级数等等)一样,卡尔曼也是一个人的名字,而跟他们不同的是,他是个现代人!
卡尔曼全名Rudolf Emil Kalman,匈牙利数学家,1930年出生于匈牙利首都布达佩斯。1953,1954年于麻省理工学院分别获得电机工程学士及硕士学位。1957年于哥伦比亚大学获得博士学位。我们现在要学习的卡尔曼滤波器,正是源于他的博士论文和1960年发表的论文《A New Approach to Linear Filtering and Prediction Problems》(线性滤波与预测问题的新方法)。如果对这编论文有兴趣,可以到这里的地址下载: http://www.cs.unc.edu/~welch/kalman/media/pdf/Kalman1960.pdf
卡尔曼滤波器到底是干嘛的?我们来看下wiki上的解释:
卡尔曼滤波的一个典型实例是从一组有限的,包含噪声的,对物体位置的观察序列(可能有偏差)预测出物体的位置的坐标及速度。在很多工程应用(如雷达、计算机视觉)中都可以找到它的身影。同时,卡尔曼滤波也是控制理论以及控制系统工程中的一个重要课题。例如,对于雷达来说,人们感兴趣的是其能够跟踪目标。但目标的位置、速度、加速度的测量值往往在任何时候都有噪声。卡尔曼滤波利用目标的动态信息,设法去掉噪声的影响,得到一个关于目标位置的好的估计。这个估计可以是对当前目标位置的估计(滤波),也可以是对于将来位置的估计(预测),也可以是对过去位置的估计(插值或平滑)。
斯坦利.施密特(Stanley Schmidt)首次实现了卡尔曼滤波器。卡尔曼在NASA埃姆斯研究中心访问时,发现他的方法对于解决阿波罗计划的轨道预测很有用,后来阿波罗飞船的导航电脑便使用了这种滤波器。 关于这种滤波器的论文由Swerling (1958)、Kalman (1960)与 Kalman and Bucy (1961)发表。
目前,卡尔曼滤波已经有很多不同的实现.卡尔曼最初提出的形式现在一般称为简单卡尔曼滤波器。除此以外,还有施密特扩展滤波器、信息滤波器以及很多Bierman, Thornton 开发的平方根滤波器的变种。也许最常见的卡尔曼滤波器是锁相环,它在收音机、计算机和几乎任何视频或通讯设备中广泛存在。
简单来说,卡尔曼滤波器是一个“optimal recursive data processing algorithm(最优化自回归数据处理算法)”。对于解决很大部分的问题,他是最优,效率最高甚至是最有用的。他的广泛应用已经超过30年,包括机器人导航,控制,传感器数据融合甚至在军事方面的雷达系统以及导弹追踪等等。近年来更被应用于计算机图像处理,例如头脸识别,图像分割,图像边缘检测等等。
2.卡尔曼滤波器的介绍(Introduction to the Kalman Filter)
为了可以更加容易的理解卡尔曼滤波器,首先应用形象的描述方法来讲解,然后我们结合其核心的5条公式进行进一步的说明和探索。结合现代的计算机,其实卡尔曼的程序相当的简单,只要你理解了他的那5条公式。
在介绍他的5条公式之前,先让我们来根据下面的例子做个直观的解释。
假设我们要研究的对象是一个房间的温度。根据你的经验判断,这个房间的温度是恒定的,也就是下一分钟的温度等于现在这一分钟的温度(假设我们用一分钟来做时间单位)。假设你对你的经验不是100%的相信,可能会有上下偏差几度。我们把这些偏差看成是高斯白噪声(White Gaussian Noise),也就是这些偏差跟前后时间是没有关系的而且符合高斯分配(Gaussian Distribution)。另外,我们在房间里放一个温度计,但是这个温度计也不准确的,测量值会比实际值偏差。我们也把这些偏差看成是高斯白噪声。
好了,现在对于某一分钟我们有两个有关于该房间的温度值:你根据经验的预测值(系统的预测值)和温度计的值(测量值)。下面我们要用这两个值结合他们各自的噪声来估算出房间的实际温度值。
假如我们要估算k时刻的是实际温度值。首先你要根据k-1时刻的温度值,来预测k时刻的温度。因为你相信温度是恒定的,所以你会得到k时刻的温度预测值是跟k-1时刻一样的,假设是23度,同时该值的高斯噪声的偏差是5度(5是这样得到的:如果k-1时刻估算出的最优温度值的偏差是3,你对自己预测的不确定度是4度,他们平方相加再开方,就是5)。然后,你从温度计那里得到了k时刻的温度值,假设是25度,同时该值的偏差是4度。
由于我们用于估算k时刻的实际温度有两个温度值,分别是23度和25度。究竟实际温度是多少呢?相信自己还是相信温度计呢?究竟相信谁多一点,我们可以用他们的covariance来判断。因为Kg2=52/(52+42),所以Kg=0.78,我们可以估算出k时刻的实际温度值是:23+0.78*(25-23)=24.56度。可以看出,因为温度计的covariance比较小(比较相信温度计),所以估算出的最优温度值偏向温度计的值。
现在我们已经得到k时刻的最优温度值了,下一步就是要进入k+1时刻,进行新的最优估算。到现在为止,好像还没看到什么自回归的东西出现。对了,在进入k+1时刻之前,我们还要算出k时刻那个最优值(24.56度)的偏差。算法如下:((1-Kg)*52)0.5=2.35。这里的5就是上面的k时刻你预测的那个23度温度值的偏差,得出的2.35就是进入k+1时刻以后k时刻估算出的最优温度值的偏差(对应于上面的3)。
就是这样,卡尔曼滤波器就不断的把covariance递归,从而估算出最优的温度值。他运行的很快,而且它只保留了上一时刻的covariance。上面的Kg,就是卡尔曼增益(Kalman Gain)。他可以随不同的时刻而改变他自己的值,是不是很神奇!
下面就要言归正传,讨论真正工程系统上的卡尔曼。
3. 卡尔曼滤波器算法(The Kalman Filter Algorithm)
在这一部分,我们就来描述源于Dr Kalman 的卡尔曼滤波器。下面的描述,会涉及一些基本的概念知识,包括概率(Probability),随即变量(Random Variable),高斯或正态分配(Gaussian Distribution)还有State-space Model等等。但对于卡尔曼滤波器的详细证明,这里不能一一描述。
首先,我们先要引入一个离散控制过程的系统。该系统可用一个线性随机微分方程(Linear Stochastic Difference equation)来描述,我们结合下面PPT截图进行说明
上两式子中,x(k)是k时刻的系统状态,u(k)是k时刻对系统的控制量。A和B是系统参数,对于多模型系统,他们为矩阵。y(k)是k时刻的测量值,H是测量系统的参数,对于多测量系统,H为矩阵。q(k)和r(k)分别表示过程和测量的噪声。他们被假设成高斯白噪声(White Gaussian Noise),他们的covariance分别是Q,R(这里我们假设他们不随系统状态变化而变化)。
对于满足上面的条件(线性随机微分系统,过程和测量都是高斯白噪声),卡尔曼滤波器是最优的信息处理器。先给出KF算法的流程和五个核心更新方程如下:
KF算法
五个更新方程为:
编写公式不方便,所以写成了PDF然后做了截图粘在了下面,下面就上面的例子和五个核心的公式对Kalman算法进行下说明:
就这样,算法就可以自回归的运算下去。
看到这聪明的同学可能已经看出来了,问道卡尔曼增益为什么会是第三步中那样求,现在只大致说一下原理,具体推到比较复杂,有兴趣的同学可以参考这文献去推一推。
还记得前面我们说的误差协方差矩阵P k P_kPk么,即求第k次最优温度的误差协方差矩阵,对应于上例中的3和2.35…这些值。看下面PPT,我们最小化P即可得到卡尔曼增益K,对应上例求解K只最小化最优温度值的偏差,即最小化P(K):

原文链接:https://blog.csdn.net/woaizgw/article/details/73648578
UKF无迹卡尔曼滤波
UKF无迹卡尔曼滤波是在卡尔曼滤波和变换的基础上发展而来的,它是利用无损变换使线性假设下的卡尔曼滤波应用于非线性系统。
之前提到的EKF算法简单易操作,在工业中有广泛的应用。但是它也存在很多缺点:需要计算非线性模型的雅克比矩阵,计算大,易出错,难得到;忽略高阶项,估计精度大受影响;模型不确定性的鲁棒性很差;在系统达到平稳状态时,将丧失对突变状态的跟踪能力;如果系统的误差传播函数不能很好的用线性函数来逼近,可能会导致滤波器发散。
UT就是针对EKF算法的缺点提出的,UT的主要思想是“近似概率分布要比近似非线性函数更容易”。UT变换计算均值和协方差,通过含有均值和协方差的确定的点集(称作sigma points)来近似概率分布,通过系统的非线性模型,产生繁衍的sigma point,经过选择合适的权值估计均值和协方差。避免了求解雅克比矩阵。这种方法把系统当作“黑盒”来处理,因而不依赖于非线性的具体形式。UKF和EKF计算复杂度相当,但是UKF具有更高的估计精度,满足了具有各种特殊要求的非线性滤波和控制方面的应用,在实现上也比EKF更为简单。
UT变换是用固定数量的参数去近似一个高斯分布,其实现原理为:在原先分布中按某一规则取一些点,使这些点的均值和协方差与原状态分布的均值和协方差相等;将这些点代入非线性函数中,相应得到非线性函数值点集,通过这些点集可求取变换的均值和协方差。对任何一种非线性系统,当高斯型状态微量经由非线性系统进行传递,进而利用这组采样点能获取精确到三阶矩的后验均值和协方差。
UT变换的特点是对非线性函数的概率密度分布进行近似,而不是对非线性函数进行近似,即使系统模型复杂,也不增加算法实现的难度;而且所得到的非线性函数的统计量的准确性可以达到三阶;除此之外,它不需要计算雅可比矩阵,可以处理不可导非线性函数。
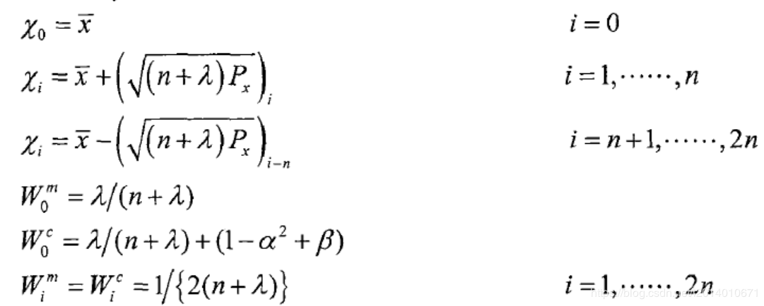
UT变换基本原理如下:假设一个非线性系统y=f(x),其中x为n维状态向量,并已知其平均值为,方差为,则可以经过UT变换构造2n+1个Sigma点,同时构造相应的权值,进而得到y的统计特性。
其中是比例因子。, 表示矩阵方根的第i列。
周围Sigma点的分布状态由决定,调节可以降低高阶项的影响,通常设为一个较小的正数,这里选取。的取值没有具体设定限制,但至少应当保证矩阵为半正定矩阵,通常设置,另外应为非负数。状态分布参数,通过设置,可以提高方差的精度。对于高斯分布,是最优的。是矩阵的第i列(当时,取A的第i行;当时,取A的第i列。)
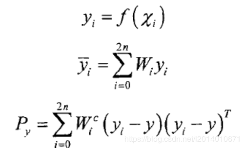
则通过以下公式可得到y的均值和方差:
UKF可以看作是基于UT技术的卡尔曼滤波器,在卡尔曼滤波算法中,对于一步预测方程,使用UT变换来处理均值和协方差的非线性传递。UKF是对非线性函数的概率密度分布进行近似,用一系列确定样本来逼近状态的后验概率密度,而不是对非线性函数进行近似,不需要求导计算雅可比矩阵。对非线性系统,UKF具有更高的精度和稳定性。但是其参数选择问题没有得到完全解决,而且滤波效果与EKF算法一样也受到滤波初值的影响。
原文链接:https://blog.csdn.net/l2014010671/article/details/93305871