latex数学公式总结

全文下载:https://download.csdn.net/download/zongza/10687346

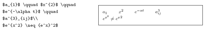
  1. 指数和下标可以用^和_后加相应字符来实现。比如:在这里插入图片描述
  2. 平方根(square root)的输入命令为:\sqrt,n 次方根相应地为: \sqrt[n]。方根符号的大小由LATEX自动加以调整。也可用\surd 仅给出符号。比如:在这里插入图片描述
  3. 命令\overline 和\underline 在表达式的上、下方画出水平线。比如:在这里插入图片描述
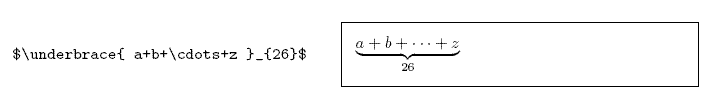
  4. 命令\overbrace 和\underbrace 在表达式的上、下方给出一水平的大括号在这里插入图片描述
  5. 向量(Vectors)通常用上方有小箭头(arrow symbols)的变量表示。这可由\vec 得到。另两个命令\overrightarrow 和\overleftarrow在定义从A 到B 的向量时非常有用在这里插入图片描述
  6. 分数(fraction)使用\frac{…}{…} 排版。一般来说,1/2 这种形式更受欢迎,因为对于少量的分式,它看起来更好些在这里插入图片描述
  7. 积分运算符(integral operator)用\int 来生成。求和运算符(sum operator)由\sum 生成。乘积运算符(product operator)由\prod 生成。上限和下限用^ 和_来生成,类似于上标和下标在这里插入图片描述
  8. 常用符号的表示方法:
    在这里插入图片描述
    在这里插入图片描述
    在这里插入图片描述
    在这里插入图片描述
    在这里插入图片描述
    在这里插入图片描述
    在这里插入图片描述

latex把下标置于文本正下方的方法: mathop+limits

\mathop{max}\limits_{a}^{b}

版权声明:本文为zongza原创文章,遵循CC 4.0 BY-SA版权协议,转载请附上原文出处链接和本声明。