Skip to content
  • 首页
  • PHP源码
  • html5网页模板
  • js特效
  • Window软件
  • Mac软件
  • 服务器
  • 其他
Search
源码巴士
  • Sample Page

卡方分布、t分布 和F分布

统计学之重要分布介绍

一、卡方分布

这里写图片描述
这里写图片描述
这里写图片描述

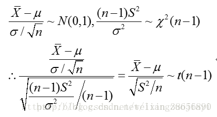
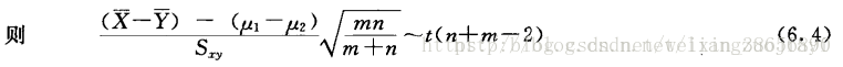
二、t分布

这里写图片描述

这里写图片描述
小样本分布:
这里写图片描述
这里写图片描述

推导:

这里写图片描述
这里写图片描述
三、F分布

这里写图片描述
这里写图片描述
这里写图片描述

内容转载自 https://blog.csdn.net/liangzuojiayi/article/details/77947797

文章导航
←python安装torch出现from torch._C import *ImportError: DLL load failed:报错解决方法
解决IE window.location.href不发送Referer的方法→

Copyright © 2022 源码巴士  鲁ICP备19024253号-1