经过前几期的学习,想必大家对线性规划的对偶问题有了详细的了解。本期,小编带大家学习对偶问题解的经济解释——影子价格。
01 影子价格的含义
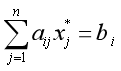
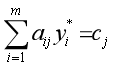
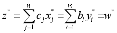
从23期对偶问题的基本性质可以看出,当线性规划原问题求得最优解
时,其对偶问题也得到最优解
,且代入各自目标函数后有
,式中
是线性规划原问题约束条件的右端项,代表第i种资源的拥有量。
描述了原始线性规划问题达到最优时,第i种资源的“估价”。这种估价不是资源的市场价格,而是单位第i种资源在所给问题的最优方案中作出的贡献的估价,称为影子价格(shadow price)。它反映了在最优经济结构中,在资源得到最优配置前提下资源的边际使用价值。
02 影子价格的性质
将互补松弛性质(在线性规划问题的最优解中,如果对应某一约束条件的对偶变量值为非零,则该约束条件取严格等式;反之如果约束条件取严格不等式,则其对应的对偶变量一定为0)应用于对偶问题,可得:
1、在某项经济活动中,在资源得到最优配置条件下
若
,则
若
,则
该性质的经济意义:
若产生一个单位的第j种产品按消耗资源的影子价格计算的支出等于销售一个单位该产品所得收入,则可生产此产品。
若生产一个单位的第j种产品按所消耗资源的影子价格计算的支出大于销售一个单位该产品得到的收入,则不宜生产此产品。
单纯形表中检验数的经济意义
从中可考察单纯形表中检验数的经济意义
代表第j种产品的利润,
是生产该产品所消耗各项资源的影子价格的总和,即产品的隐含成本。 当产品利润大于隐含成本时,表明生产该产品有利可图; 当产品利润小于隐含成本时,表明用资源生产别的产品更为有利。
2、在某项经济活动中,在资源得到最优配置条件下
若资源供大于求,即
,则该项资源的影子价格为0;
若该项资源的影子价格大于0,则
,即资源供求平衡。
该性质的经济意义:
影子价格越大,说明这种资源越是相对紧缺。(根据影子价格确定资源采购,当市场价格低于影子价格,就买进资源,当市场价格高于影子价格时,就卖出资源)。
影子价格越小,说明这种资源相对不紧缺。 如果最优生产计划下某种资源有剩余,这资源的影子价格一定等于0。
03 影子价格的经济意义和特点
通过以上介绍,大家是不是对影子价格有了初步的了解。接下来小编将通过案例让大家更好地理解影子价格。
案例





市场价格VS影子价格

通过小编的整理,大家是否对影子价格有了更清晰的了解和认识呢?那么,快快加入到我们的学习中来吧!下次小编将分享对偶单纯形法和灵敏度分析,敬请关注!
作者 | 郑鑫 陈优
责编 | 何洋洋
审核 | 徐小峰