附一个大佬的marlin讲解主页链接 http://shartoo.github.io/
abstract
可以实现实时、高质量的语音合成。比传统的系统速度快10倍以上,RTF(real time factor)表明它可以应用于实时系统。通过3个语音信号相关的参数合成语音–基频f0, 谱包络spectrum envelope, 非周期信号参数aperiodic parameter。
1. introduction
两个要求:
- 高质量
- 实时性
高质量的语音合成系统包括基频F0和谱包络估计算法,以及参数估计的合成算法。之前的研究:STRAIGHT可以合成高质量的语音,对语音很容易进行操作。为了满足实时性,提出简化版–Real time STRAIGHT,但是大大削弱了语音质量。
WORLD声码器用3个算法提取3个参数,然后用一个合成算法把他们当作输入,可以实现高质量的语音合成。
2. overview of WORLD
图1是处理的过程
- 输入wave通过DIO算法估计出F0 contour(基频)
- F0和wave作为输入,由cheap trick估计出spectral envelope(频谱包络)
- 输入F0/sp/wave,用PLATINUM将提取出来的信号进行估计,得到aperiodic parameter(非周期参数)。非周期参数的定义和之前的不一样。
WORLD不能和STRAIGHT的衍生系列一样操纵非周期参数,但是可以和它们一样操作F0和频率包络。

2.1 DIO: F0估计算法
F0是周期信号的最长持续时间的倒数(基频会产生二次谐波,三次谐波,周期是基频的整数分之一,最长的周期是基频的持续周期,所以理论上会对应频率最低的部分,在语谱图上对应最下边的亮线,频率能量最高的部分),提出很多算法以估计F0;它有两种特性:一个是时域特征,比如自相关,一个是频域特征,比如倒谱ceph。
WORLD用DIO估计F0,比YIN、SWIPE要快,但是性能依然很好。DIO分为三步:
1⃣️不同频带的低通滤波器:因为不知道F0的基频,所以这一步包含不同周期的sin低通滤波器;
2⃣️计算得到各个可能的F0的可靠性,因为由基波分量组成的sin信号包含四个间隔(两个顶点、两个过零点),如图2所示。如果滤波器得到的间隔长度是一致的,说明是同一个基波。
3⃣️选出置信度最高的基波。
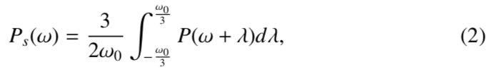
2.2 CheapTrick: Spectral Envelope Estimation Algorithm
谱包络也是一个重要的参数,如下图所示,是指在频率-振幅图中,用平滑的曲线将所有共振峰连接起来,这个平滑的曲线就是谱包络。预测它的典型算法有cepstrum和LPC(linear predictive coding)。难度在于估计的结果取决于the temporal position,很难消除它的影响。
WORLD用CheapTrick去做谱分析,它的思想来源于pitch synchronous analysis (音高同步分析),使用长度为3T0的hanning window。
- 首先计算窗口波形下的谱能量,对它窗口下的总能量按照公式(1)进行时域稳定。

- 然后用rectangular window对(1)得到的功率谱进行平滑,求得单个周期能量w0=2pai/T0

- 最后,进行specialized liftering
ps是功率谱pw的倒谱,
倒谱(cepstrum):一种信号的傅里叶变换谱经过对数运算后再进行傅里叶反变换。由于一般傅里叶谱是复数谱,因而又称复倒谱。
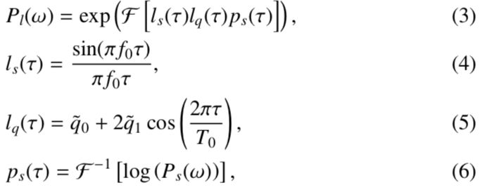
2.3 PLATINUM:提取非周期参数
mixed excitation和aperiodicity经常用在合成中。在Legacy-STRAIGHT 和 TANDEM-STRAIGHT中,aperiodicity被用于合成周期和非周期的信号。WORLD则直接用从波形、F0、和谱包络中得到的mixed excitation—PLATINUM。
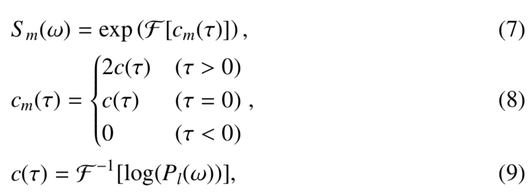
PLATINUM 窗长2T,窗函数X ( w ) X(w)X(w)被最小的相谱分割。相谱S m ( w ) Sm(w)Sm(w)可以计算为
提取的excitation function可以表示为
在PLATINUM中,每一个声带振动相关的temporal position(??)必须确定,它是由F0和波形共同决定的。步骤是:(1)确定出有声的部分;(2)确定这个部分时间上的中心位置ta;(3)时间间隔ta±T0,在这个区间的temporal position有最大值y(t)2,将这个数值定义为最大值,一旦初始值被确定,基于声码器的合成算法自动计算其他的vocal position(声带位置),定义为基于F0 contour脉冲响应的起源。这个过程在每一个有声段都被重复执行。
2.4 Synthesis Algorithm
Legacy-STRAIGHT and TANDEM-STRAIGHT依靠周期和非周期的response计算声带振动,TANDEM-STRAIGHT直接用周期响应,Legacy-STRAIGHT操纵group delay以避免嗡嗡声。
在WORLD中,声带的振动是基于最小相位响应和激励信号上计算的。从图3可以看出,WORLD比STRAIGHT的卷积要少,因此计算力的需求更少。F0被用于决定每一个声带振动的初始时间位置。
图4说明了WORLD和STRAIGHT从输入语音提取激励信号,并且合成语音的过程。最上边是输入的wav,中间是卷积之前的激励信号;下边是合成的wav。因为Legacy 和TANDEM的激励信号不仅取决于谱包络,也取决于非周期性,它从拉平的谱包络中计算。
2.5 implementation
作者的网站上可以获得C语言版和matlab版的代码实现,但是最新的Legacy-STRAIGHT只有matlab版,为了公平比较,下文都用matlab进行对比。
3. evaluation
所有系统都对用户可以设定的参数进行了优化,使其在特定情况下的性能更好;但是为了真是比较各个系统真正的合成性能,我们用的都是没有优化的系统。
WORLD的执行命令如下:x–input waveform; fs采样率; f0基频,最后合成的时候只用到f0和spec
&dmsp;TANDEM-STRAIGHT的执行命令:第1步提取的基频会在后续步进行优化,source表示f0和非周期信息(ap),
legacy-STRAIGHT,f0和ap的信息在同一步里边提取,
3.2 Characteristics of Speech Used in the Evaluation
用带有浊辅音的speech进行测试,之前的测试基本都只有元音,图5说明了F0的范围,基本都是100-300hz.
3.3 Subjective Evaluation of Sound Quality
基于MUSHRA做的测试,至少要给一个piece100分,分5个等级。
图7是测试结果,在女声上区别不大,WORLD和legacy非常接近;但是在男声上,WORLD要明显优于其他的系统。
3.4 Evaluation of Processing Speed
WORLD明显优于其他的,legacy主要加速了F0的处理速度(但是增大了sp的估计时间)。
4. discussion
4.1 Sound Quality of Synthesized Speech
world需要输入的语音帧有比较高的信噪比,如果有噪声的话很难合成高质量的语音。而且vuv(voice unvoice)的估计准确率也会很大程度影响语音的质量。改进目标–增强噪声鲁棒性。
WORLD和原始语音在音素的边界有区别,WORLD和其他系统的区别不仅在于音素边界,也在合成的元音质量;TANDEM-STRAIGHT比其他系统合成的男声元音差很多,主要是因为合成语音相位的区别。相比于high F0的系统,在low F0中人们可以更容易察觉到语音相位的不同,说明在low-pitch speech中使用最小相位是不合适的。Legacy-STRAIGHT中使用group delay manipulation改善low-pitch的语音质量,这也是legacy和TANDEM合成质量区别的一个原因。已经证明相位对于语音质量是有影响的,这也是WORLD下一步改进的目标。
4.2 Processing Speed
WORLD比其他的系统处理速度快很多,主要在(1)其他系统对每一帧做STFT,计算密集,WORLD使用DIO算法对整个wav滤波,计算过零间隔,速度快很多;(2)其他系统用两个系统估计sp,cheaptrick只需要一个;(3)估计ap的时候,WORLD没有post-preprocessing;(4)合成的时候, WORLD做一个简单的卷积就可以实现。
进一步提速的方式,改写matlab代码为C,换CPU到GPU。
WORLD提取到的是187维特征
| 0-59 | 60-119 | 120-179 | 180 | 181 | 182 | 183 | 184 | 185 | 186 |
|---|---|---|---|---|---|---|---|---|---|
| 60 | 60 | 60 | 1 | 1 | 1 | 1 | 1 | 1 | 1 |
| mgc | △mgc | △△mgc | uvu | lnf0 | △lnf0 | △△lnf0 | ln bap | △ln bap | △△ln bap |
△表示后一帧与前一帧 求一阶差分
△△表示后一帧与前一帧求2阶差分
目的是平滑处理
p.s.单独用make之后得到的analysis命令,16khz语音提取到的ap是一阶,44khz提取到的ap是5阶
对于f ( x ) f(x)f(x),一阶差分δ n = f ( x n ) − f ( x n − 1 ) \delta_n=f(x_{n})-f(x_{n-1})δn=f(xn)−f(xn−1)
二阶差分δ δ n = δ n − δ n − 1 \delta\delta_n=\delta_{n}-\delta_{n-1}δδn=δn−δn−1