排队论起源于 1909 年丹麦电话工程师 A. K.爱尔朗的工作,他对电话通话拥挤问 题进行了研究。1917 年,爱尔朗发表了他的著名的文章—“自动电话交换中的概率理 论的几个问题的解决”。排队论已广泛应用于解决军事、运输、维修、生产、服务、库 存、医疗卫生、教育、水利灌溉之类的排队系统的问题,显示了强大的生命力。
排队是在日常生活中经常遇到的现象,如顾客到商店购买物品、病人到医院看病常 常要排队。此时要求服务的数量超过服务机构(服务台、服务员等)的容量。也就是说, 到达的顾客不能立即得到服务,因而出现了排队现象。这种现象不仅在个人日常生活中 出现,电话局的占线问题,车站、码头等交通枢纽的车船堵塞和疏导,故障机器的停机 待修,水库的存贮调节等都是有形或无形的排队现象。由于顾客到达和服务时间的随机 性。可以说排队现象几乎是不可避免的。
排队论是研究排队系统(又称随机服务系统)的数学理论与方法。 它的研究目的是要回答如何改进服务机构或组织被服务的对象,使得某种指标达到最优的问题。比如一个港口应该有多少个码头,一个工厂应该有多少维修人员等。
01 排队论背景与发展介绍
排队论最早起源于对电话通讯排队接线的研究,早在1909年,丹麦数学家A. K. Erlang 发表了The Theory of Probabilities and Telephone Conversations 初步产开了对由于随机需求的出现而产生非稳态队列的现象的研究。
在他后期的工作中,他发现了几个重要结论: 自动电话通讯系统可以以两种基本概率模型模拟:
- 泊松输入,指数分布服务时间,多服务流
- 泊松输入, 稳定常态服务时间,单服务流。
Erlang亦提出队列稳态平衡的概念与排队系统的初步优化办法。Erlang 之后,多名学者将其工作做进一步的衍生拓展:Thornton Fry: Probabilities and Its Engineering Uses, Felix Pollaczek 进一步整理了泊松输入,广义输出的单/多服务流模型,同时俄罗斯数学家Kolmogorov, Khintchine也涉足该领域。
排队论本源自对实际现象的研究,而后接近半个世纪,排队论主要为理论模型发展,(生灭理论,嵌入马尔可夫模型) 。直到二战以后,学者开始为该理论赋予应用价值,大量研究开始导向如何精确求解先前学者留下的复杂数学模型,并直接应用于现实的管理决策中。主要如复杂排队模型,排队网络的近似解与数值模拟办法等。近现代排队论主要为管理决策软件的开发提供理论与模拟支持。
排队论(Queuing Theory)也称随机服务系统理论,就是为解决上述问题而发展 的一门学科。它研究的内容有下列三部分:
(i)性态问题,即研究各种排队系统的概率规律性,主要是研究队长分布、等待时间分布和忙期分布等,包括了瞬态和稳态两种情形。
(ii)最优化问题,又分静态最优和动态最优,前者指最优设计。后者指现有排队系统的最优运营。
(iii)排队系统的统计推断,即判断一个给定的排队系统符合于哪种模型,以便根据排队理论进行分析研究。
这里将介绍排队论的一些基本知识,分析几个常见的排队模型。
02 排队机制与基本模型办法
2.0 排队模型
2.0.1 过程的一般表示
下图是排队论的一般模型。
图中虚线所包含的部分为排队系统。各个顾客从顾客源出发,随机地来到服务机构,按 一定的排队规则等待服务,直到按一定的服务规则接受完服务后离开排队系统。
凡要求服务的对象统称为顾客,为顾客服务的人或物称为服务员,由顾客和服务员组成服务系统。对于一个服务系统来说,如果服务机构过小,以致不能满足要求服务的 众多顾客的需要,那么就会产生拥挤现象而使服务质量降低。 因此,顾客总希望服务 机构越大越好,但是,如果服务机构过大,人力和物力方面的开支也就相应增加,从而 会造成浪费,因此研究排队模型的目的就是要在顾客需要和服务机构的规模之间进行权衡决策,使其达到合理的平衡。
2.0.2 排队系统的组成和特征
一般的排队过程都由输入过程、排队规则、服务过程三部分组成,现分述如下:
2.0.2.1 输入过程
输入过程是指顾客到来时间的规律性,可能有下列不同情况:
(i)顾客的组成可能是有限的,也可能是无限的。
(ii)顾客到达的方式可能是一个—个的,也可能是成批的。
(iii)顾客到达可以是相互独立的,即以前的到达情况对以后的到达没有影响; 否则是相关的。
(iv)输入过程可以是平稳的,即相继到达的间隔时间分布及其数学期望、方差等数字特征都与时间无关,否则是非平稳的。
2.0.2.2 排队规则
排队规则指到达排队系统的顾客按怎样的规则排队等待,可分为损失制,等待制和混合制三种。
(i)损失制(消失制)。当顾客到达时,所有的服务台均被占用,顾客随即离去。
(ii)等待制。当顾客到达时,所有的服务台均被占用,顾客就排队等待,直到接 受完服务才离去。
例如出故障的机器排队等待维修就是这种情况。
(iii)混合制。介于损失制和等待制之间的是混合制,即既有等待又有损失。有队列长度有限和排队等待时间有限两种情况,在限度以内就排队等待,超过一定限度就 离去。
排队方式还分为单列、多列和循环队列。
2.0.2.2.3 服务过程
(i)服务机构。
主要有以下几种类型:单服务台;多服务台并联(每个服务台同 时为不同顾客服务);多服务台串联(多服务台依次为同一顾客服务);混合型。
(ii)服务规则。
按为顾客服务的次序采用以下几种规则:
①先到先服务,这是通常的情形。
②后到先服务,如情报系统中,最后到的情报信息往往最有价值,因而常被优先处 理。
③随机服务,服务台从等待的顾客中随机地取其一进行服务,而不管到达的先后。
④优先服务,如医疗系统对病情严重的病人给予优先治疗。
2.1 基本排队机制
在绝大多数情况下,以下6个基础属性可以较完善地描述一个排队等待现象。
(1)顾客的抵达分布情况
顾客可以指实体的顾客,如银行排队等待的客人,亦可代指等待安排维修的机器;
抵达分布情况是指如何用概率模型模拟相邻顾客抵达服务台的时间间隔
(2) 服务台的服务情况
银行窗口服务不同业务的时间分布,生产线中每道工序所用时间的时间分布等。
(3) 排队原则
(4) 系统容纳量
(5) 服务台数量
(6) 服务流程数量





2.1.1 顾客的抵达分布情况
在大部分队列中,顾客的抵达都是随机现象(非随机现象如完美平衡的生产流水线)。因此需要用一个概率模型模拟各个相邻顾客的抵达时间间隔。常见模型如指数分布。
关于为何指数分布与泊松过程能较好地模拟随机现象,参见本节2.3。
同时一些特殊的客户表现亦需要参考,比如:如果一个客户遇到较长队列,他可能会拒绝加入(balked);现有队列的客户由于排队时间过长而离开(impatience, reneged). 当出现多条服务流时,顾客会在不同队列之间流动,导致从理论上讲的绝对完美等长多服务流(jockey)。
最后,如果顾客抵达时间的概率分布不随时间而变化,称之为稳态抵达分布(stationary), 反之非稳态(non-stationary)。
2.1.2 服务台的服务情况
亦称之为服务机构。不同服务台的服务时间亦需要用一个概率模型来表示。比如医院急诊室每个医生诊疗时间的时间分布,维修车间对每台等待维修的机器的处理时间分布等。
以下几个特殊现象亦需特殊考虑: 服务时间的长短与队列的长短有关,这个很好理解,当一个柜员看到顾客较多时,自然会加快业务处理速度 (state-dependent). 同样,服务时间亦可随时间变化而变化(维修工逐渐积累经验),出现stationary 和 non-stationary。
2.1.3 排队原则
先到先服务, first come first service ( FCFS).
后到先服务原则(LCFS). 比如从仓库里取货,后到的货物由于堆在最外围,往往先被取走。
随机服务原则,比如车牌号摇号,不随从任何先来后到的原则……
优先排队原则: 如果军人抵达的话,可以直接排到队列首位(priority discipline)。
2.1.4 系统容纳量,服务台数量,服务流程数量
这三兄弟相对好理解, 系统容纳量: 火车站排队大厅最多容纳一千人队列,服务台数量: 某银行总行有12个窗口,而郊区支行只有4个,服务流程数(会形成复杂排队网络): 体检项目顺序依次一个有10项,某产线共有24道工序,为消除排队需要平衡产线。
图1. 某多服务台,多服务流程队列网络
2.2 常见术语与Notation
排队模型用六个符号表示,在符号之间用斜线隔开,即 X /Y / Z / A/ B /C 。
第一 个符号 X 表示顾客到达流或顾客到达间隔时间的分布;
第二个符号Y 表示服务时间的分布;
第三个符号 Z 表示服务台数目;
第四个符号 A 是系统容量限制;
第五个符号 B 是 顾客源数目;
第六个符号C 是服务规则,
如先到先服务 FCFS,后到先服务 LCFS 等。并约定,如略去后三项,即指 X /Y / Z / ∞ / ∞ / FCFS的情形。
我们只讨论先到先服务 FCFS 的情形,所以略去第六项。

对于常见的大部分模型,我们均假设顾客抵达时间的分布,服务台服务时间的分布为独立同分布(independent and identically distributed), 通用队列模型表达式如下:
表示顾客到达间隔时间和服务时间的分布的约定符号为:
M — 指数分布( M 是 Markov 的字头,因为指数分布具有无记忆性,即 Markov 性);
D — 确定型(Deterministic);
E k E_kEk — k 阶爱尔朗(Erlang)分布;
G — 一般(general)服务时间的分布;
GI — 一般相互独立(General Independent)的时间间隔的分布。
例如, M / M /1表示相继到达间隔时间为指数分布、服务时间为指数分布、单服 务台、等待制系统。
D / M / c 表示确定的到达时间、服务时间为指数分布、 c 个平行 服务台(但顾客是一队)的模型。

表1:通用队列模型表达式符号汇总
值得注意的是,我们会常常省去后两个位置,默认为系统无容纳上限,先到先服务原则。如非常经典又基础的 M/M/1 及 M/M/S 模型 (顾客抵达与服务时间均为指数分布,一个或多个服务台).

Utilization Factor(暂译为占用率),是一个排队系统顾客抵达速率与总共多个平行服务速率的比值。很好理解,这个值如果大于1的话,队列会无限变长,而这个值小于1的话,队列系统会从一开始的过渡状态 (transient condition) 逐渐趋于稳态 (steady-state condition) 关于这个状态的过渡与转换的讨论,不在本文章讨论之中,笔者在此呈现的各种有趣结论,均以稳态队列为对象:

2.3 排队系统的运行指标
为了研究排队系统运行的效率,估计其服务质量,确定系统的最优参数,评价系统 的结构是否合理并研究其改进的措施,必须确定用以判断系统运行优劣的基本数量指标,这些数量指标通常是:
(i) 平均队长:指系统内顾客数(包括正被服务的顾客与排队等待服务的顾客)的数学期望,记作 Ls 。
(ii) 平均排队长:指系统内等待服务的顾客数的数学期望,记作 Lq 。
(iii) 平均逗留时间:顾客在系统内逗留时间(包括排队等待的时间和接受服务的 时间)的数学期望,记作Ws 。
(iv) 平均等待时间:指一个顾客在排队系统中排队等待时间的数学期望,记作 Wq 。
(v) 平均忙期:指服务机构连续繁忙时间(顾客到达空闲服务机构起,到服务机构再次空闲止的时间)长度的数学期望,记为Tb 。
还有由于顾客被拒绝而使企业受到损失的损失率以及以后经常遇到的服务强度等, 这些都是很重要的指标。
计算这些指标的基础是表达系统状态的概率。所谓系统的状态即指系统中顾客数, 如果系统中有n 个顾客就说系统的状态是n ,它的可能值是
2.4 输入过程与服务时间的分布
排队系统中的事件流包括顾客到达流和服务时间流。由于顾客到达的间隔时间和服 务时间不可能是负值,因此,它的分布是非负随机变量的分布。最常用的分布有泊松分布、确定型分布,指数分布和爱尔朗分布。
2.4.1 泊松流与指数分布

在上述条件下,我们研究顾客到达数n 的概率分布。


对于泊松流, λ \lambdaλ 表示单位时间平均到达的顾客数,所以 1 λ \frac{1}{\lambda }λ1 就表示相继顾客到达平均 间隔时间,而这正和 ET 的意义相符。 对一顾客的服务时间也就是在忙期相继离开系统的两顾客的间隔时间,有时也服从 指数分布。这时设它的分布函数和密度函数分别是

2.4.2 常用的几种概率分布及其产生
2.4.2.1 常用的连续型概率分布
我们只给出这些分布的参数、记号和通常的应用范围,更详细的内容参看专门的概 率论书籍。
(i)均匀分布
区间 (a,b) 内的均匀分布记作U(a,b) 。服从U(0,1) 分布的随机变量又称为随机 数,它是产生其它随机变量的基础。如若 X 为U(0,1) 分布,则Y = a + (b − a)X 服从 U(a,b) 。
(ii)正态分布

正态分布还可以作为二项分布一定条件下的近似。
(iii)指数分布

(iv)Gamma 分布、爱尔朗分布
Gamma 分布又称爱尔朗分布。
Gamma 分布是双参数α,β 的非对称分布,记作G(α,β ) ,期望是αβ 。α = 1时蜕 化为指数分布。 n 个相互独立、同分布(参数 λ )的指数分布之和是 Gamma 分布 (α = n, β = λ) 。Gamma 分布可用于服务时间,零件寿命等。
(v)Weibull 分布
Weibull 分布是双参数α,β 的非对称分布,记作W(α, β ) 。α = 1时蜕化为指数分 布。作为设备、零件的寿命分布在可靠性分析中有着非常广泛的应用。
(vi)Beta 分布
Beta 分布是区间(0,1) 内的双参数、非均匀分布,记作 B(α, β ) 。
2.4.2.2 常用的离散型概率分布
(i)离散均匀分布
(ii)Bernoulli 分布(两点分布)
Bernoulli 分布是 x = 1,0 处取值的概率分别是 p 和1− p 的两点分布,记作 Bern( p) 。用于基本的离散模型。
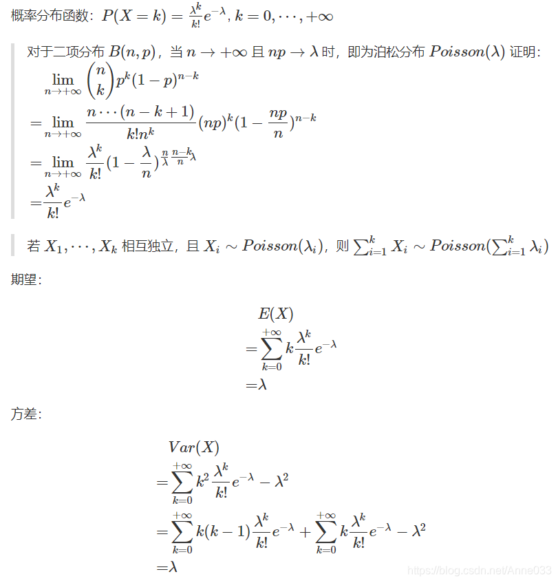
(iii)泊松(Poisson)分布
泊松分布与指数分布有密切的关系。当顾客平均到达率为常数 λ 的到达间隔服从 指数分布时,单位时间内到达的顾客数 K 服从泊松分布,即单位时间内到达 k 位顾客 的概率为
记作 Poisson(λ) 。泊松分布在排队服务、产品检验、生物与医学统计、天文、物理等 领域都有广泛应用。
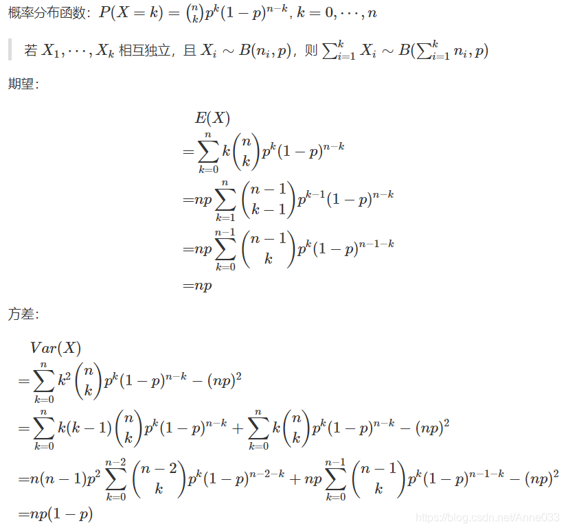
(iv)二项分布
在独立进行的每次试验中,某事件发生的概率为 p ,则 n 次试验中该事件发生的 次数 K 服从二项分布,即发生k 次的概率为
记作 B(n, p) 。二项分布是n 个独立的 Bernoulli 分布之和。它在产品检验、保险、生 物和医学统计等领域有着广泛的应用。
当n,k 很大时, B(n, p) 近似于正态分布 N(np,np(1− p)) ;
当n 很大、 p 很小, 且np 约为常数λ 时, B(n, p) 近似于 Poisson(λ)。
2.4 关于泊松输入源的一些讨论


本节我们讨论一个问题: 为什么泊松过程/指数分布能成为基础的模拟顾客的随机到达与服务的完成时间分布?
2.4.0 补充知识
a. 常见离散概率分布
二项分布 X∼B(n,p)

泊松分布 X∼Poisson(λ)
λ表示单位时间(面积或体积等)该事件平均发生次数(到达率),则p(x=k)表示单位时间(面积或体积等)该事件发生k次的概率

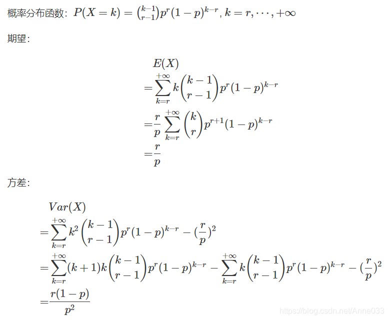
负二项分布 X∼NB(r,p)

几何分布 X∼Ge§

超几何分布 X∼HyG(N,M,n)

b. 常见连续概率分布
均匀分布 X∼U(a,b)

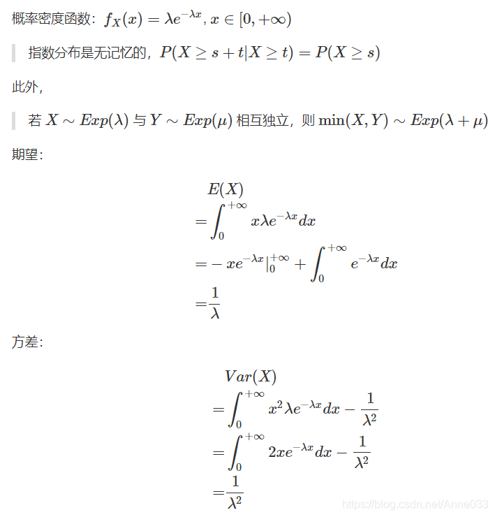
指数分布 X∼Exp(λ)

Erlang分布

爱尔郎分布与指数分布一样多用来表示独立随机事件发生的时间间隔。相比于指数分布,爱尔郎分布更适用于多个串行过程,或无记忆性假设不显著的情况下。除非退化为指数分布,爱尔郎分布不具有无记忆性,一次对其分析相对困难。一般通过将爱尔郎过程分解为多个指数过程的技巧来对爱尔郎分布进行分析。
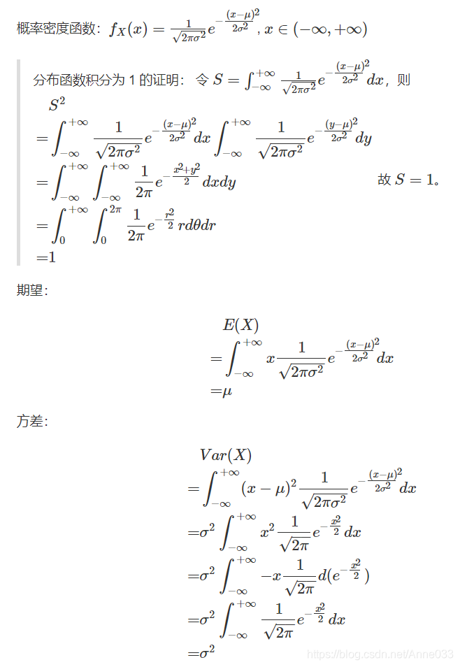
一维正态分布 X∼N(μ,σ2)

多维正态分布 X∼N(μ,Σ)

c. 概率论常用分布期望与方差总结

d. 泊松分布、二项分布、爱尔朗分布的推导与关系
①二项分布:
重复n次伯努利实验,且每次实验只有两种相互对立结果,每次实验相互独立,这样的实验叫做n重伯努利实验,得到事件发生的次数的分布叫二项分布。
概率分布:
数字特征:将n重伯努利实验分解为n个二项分布易得,期望为np,方差为np(1-p)。
伯努利试验(Bernoulli experiment)是在同样的条件下重复地、相互独立地进行的一种随机试验,其特点是该随机试验只有两种可能结果:发生或者不发生。我们假设该项试验独立重复地进行了n次,那么就称这一系列重复独立的随机试验为n重伯努利试验,或称为伯努利概型。单个伯努利试验是没有多大意义的,然而,当我们反复进行伯努利试验,去观察这些试验有多少是成功的,多少是失败的,事情就变得有意义了,这些累计记录包含了很多潜在的非常有用的信息。
②二项分布到泊松分布
考虑对于一段时间(或面积、体积),即单位时间,将其分为n段(n->∞),因为每段对应时间级短,那么p也应该接近0,。那么此时事件发生的次数就服从泊松分布,而原二项分布的期望,即np, 就是事件的平均发生次数,即λ=np。
注:第二行到第三行,因为n趋于无穷大,那么n(n-1)…(n-k+1)=n^k
③泊松分布到指数分布:
如果下次事件发生间隔为t,那么等同于t时间内事件发生次数为0,即从泊松分布推导到指数分布:
④指数分布与爱尔郎分布:

⑤指数分布无后效性的推导:
无后效性(马尔科夫性):
当一个随机过程在给定现在状态及所有过去状态情况下,其未来状态的条件概率分布仅依赖于当前状态,即在现在状态时,他与过去状态是条件独立的,即该过程是马尔科夫过程,即具有马尔科夫性质。
e. 应用与举例
①泊松分布
在实际事例中,当一个事件以固定的平均速率出现时随机且独立地出现时,那么这个时间在单位时间(面积或体积等)内出现的次数或个数近似服从泊松分布。
如:
某医院平均每小时出生3个婴儿;(单位时间)
某公司平均每小时接到3.5个电话;(单位时间)
采用0.05J/m2紫外线照射大肠杆菌时,每个基因组平均产生3个嘧啶二体。(单位基因组)
②指数分布
指数分布表示两次事件(服从泊松分布)发生间隔为t的概率。
可用来表示:
婴儿出生的时间间隔;
服从泊松分布的服务的时间间隔;
③指数分布的无记忆性:
如果一个随机变量服从指数分布,那么对于s,t>0,有P(T>t+s|T>t)=P(T>s)。
例如:若果某原件寿命为T,已知使用了t小时,那么它总共使用了s+t小时和其从开始起来使用s小时概率相同。
2.4.1 指数分布

下面我们讨论指数分布的性质与其在基础排队模型中的作用。
a. 单调性

b. 无记忆性

c. 几个独立的指数分布变量的最小者亦为指数分布


d. 泊松过程与指数分布

e. 不受聚合/离散的影响

03 常见模型 M/M/1 及 M/M/S
M/M/1 模型简单介绍
- 到达时间是泊松过程(Poisson process);
- 服务时间是指数分布(exponentially distributed);
- 只有一部服务器(server)
- 队列长度无限制
- 可加入队列的人数为无限
这种模型是一种出生-死亡过程,此随机过程中的每一个状态代表模型中人数的数目。因为模型的队列长度无限且参与人数亦无限,故此状态数目亦为无限。例如状态0表示模型闲置、状态1表示模型有一人在接受服务、状态2表示模型有二人(一人正接受服务、一人在等候),如此类推。 此模型中,出生率(即加入队列的速率)λ在各状态中均相同,死亡率(即完成服务离开队列的速率)μ亦在各状态中相同(除了状态0,因其不可能有人离开队列)。故此,在任何状态下,只有两种事情可能发生:
有人加入队列。如果模型在状态k,它会以速率λ进入状态k + 1
有人离开队列。如果模型在状态k(k不等于0),它会以速率μ进入状态k − 1
由此可见,模型的隐定条件为λ < μ。如果死亡率小于出生率,则队列中的平均人数为无限大,故此这种系统没有平衡点。
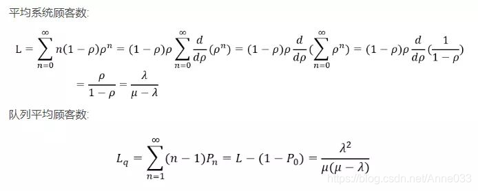
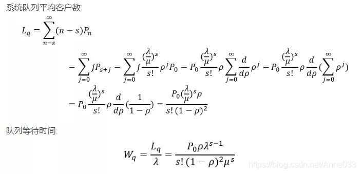
对于M /M /1 模型有如下公式
µ: 单位时间服务的顾客数,平均( 期望) 服务率;
λ: 单位时间前来的顾客数。
Ls :队长 ,系统中的顾客数(n)期望值
Lq:排队长 ,系统中排队等待服务的顾客数; 期望值记为Lq
Ws:逗留时间:—— 指一个顾客在系统中的全部停留时间 为 期望值,记为 Ws
Wq: 等待时间: —— 指一个顾客在系统中的排队等待时间为 期望值,记为 Wq
Ws=Wq + E[ 服务时间]
s : 服务台数目
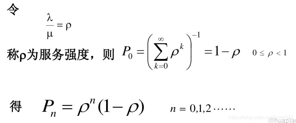
服务强度:ρ = λ/sµ
M/M/1 模型例子
某医院急诊室同时只能诊治一个病人,诊治时间服从指数分布,每个病人平均需要 15 分钟。病人按泊松分布到达,平均每小时到达3 3 人。试对此排队队系统进行分析。
解: 对此排队队系统分析如下:



代码:
% =================================================================需要改的地方
s=1; %服务台个数
mu=4; %单个服务台单个时间内能服务的个数
lambda=3; %单位时间到达的顾客数
% =================================================================需要改的地方
ro=lambda/mu;
ros=ro/s;
sum1=0;
for i=0:(s-1)
sum1=sum1+ro.^i/factorial(i);
end
sum2=ro.^s/factorial(s)/(1-ros);
p0=1/(sum1+sum2);
p=ro.^s.*p0/factorial(s)/(1-ros);
Lq=p.*ros/(1-ros);
L=Lq+ro;
W=L/lambda;
Wq=Lq/lambda;
fprintf('排队等待的平均人数为%5.2f人\n',Lq)
fprintf('系统内的平均人数为%5.2f人\n',L)
fprintf('平均逗留时间为%5.2f分钟\n',W*60)
fprintf('平均等待时间为%5.2f分种\n',Wq*60)
结果
排队等待的平均人数为 2.25人
系统内的平均人数为 3.00人
平均逗留时间为60.00分钟
平均等待时间为45.00分种
3.1 为什么选择这两个模型
很简单,这两个模型假设顾客抵达与服务时间为指数分布,时间流程为泊松过程,任何复杂队列模型都是由他们衍生出来的…….由于篇幅受限,本文往后都会集中在这两个基础模型上。关于更多衍生参考模型,请参阅文末reference list.
3.2 生灭过程
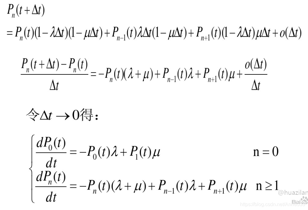
The Birth-and-Death Process. 为了得出M/M/1 及 M/M/S的一般公式,笔者认为有必要简单推导下…… 该模型为连续时间马尔可夫过程(continuous time Markov chain),要介绍全很困难,这里就给一个简易推导。
取决于两个时间的长短。
另,上述过程可有下图来表示.
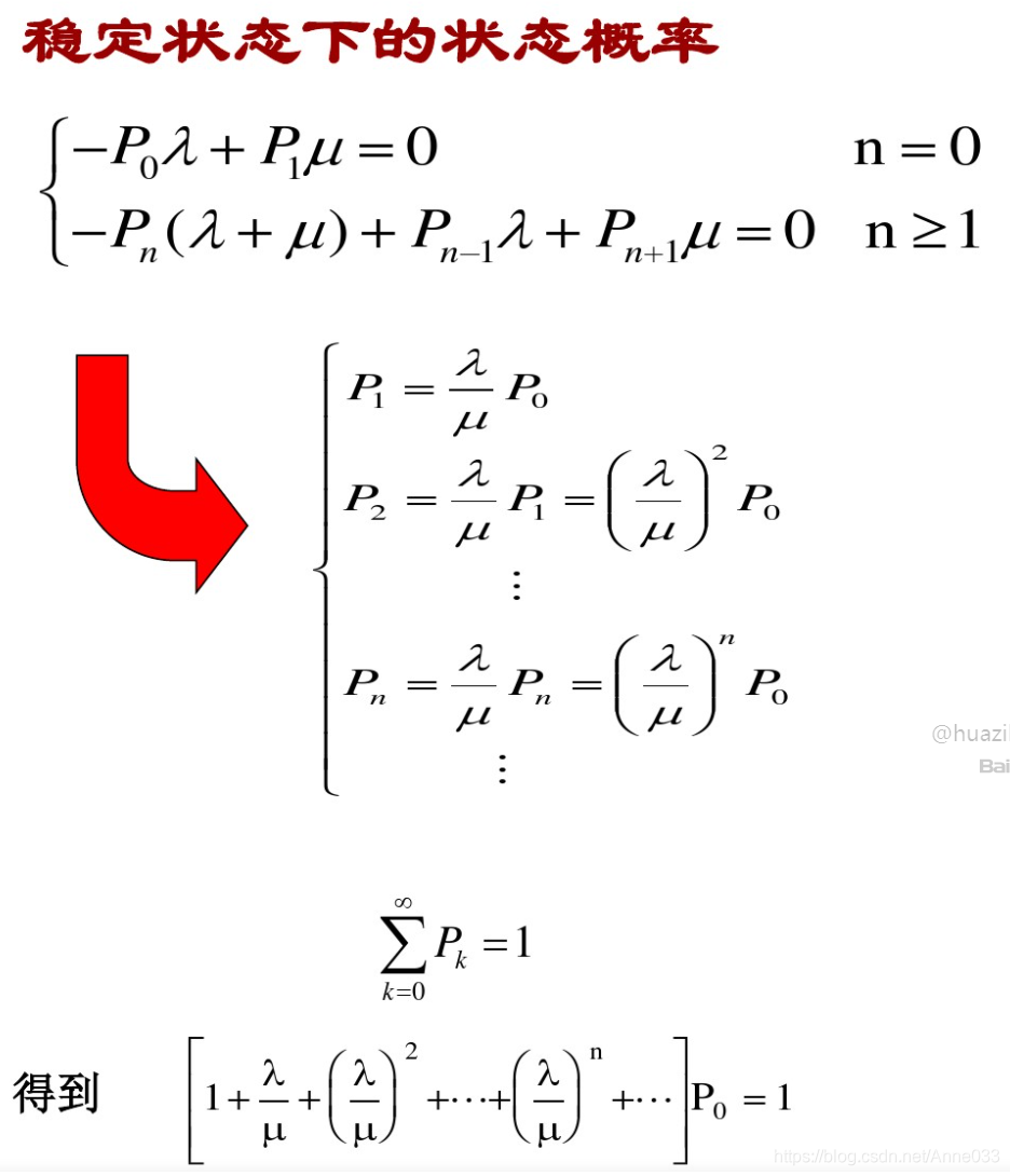
在稳态队列的情况下: 任何系统状态的进出速率应该相当。举一个例子,系统在状态0的情况下: 从状态0转移到状态1(没有顾客到一个顾客)时,离开与进入相等:
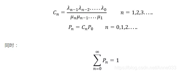
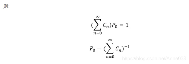
通过迭代法计算(步骤省去,直接给结论):


以上为生灭原理下队列模型的通用结论。
3.3 M/M/1 模型与 M/M/S 模型
3.3.1 M/M/1 模型
















3.3.1.1 M/M/1/k 模型











3.3.2 M/M/S 模型




04 案例分析
这里我们给出一个小case study:
已知某生产线在执行某项特殊高危高精度工艺时,有10台机器共同运作。由于人员配置紧张,该产线只安排的8名工人同时操作8台机器,另外两台设备随时standby为替补更改工装/加工设备,工厂这样安排的目的是为了保持满负荷运作。目前该工厂只安排了1名工人更改工装与加工设备。
已知该工艺流设备平均每20天需要下线更改工装,而更改工装工人平均需2天的时间完成设备的重新设置。由于队列等待现象,产线经常出现不满8台生产的情况。目前管理层正在考率是否要再雇佣一名工人执行机器下线操作。已知每个线下工人公司给的酬薪大约是每天280RMB,而每天由于产线未满负荷运作而产生的利润损失为每台额外下线机器400RMB。你作为工业工程师被指派study这个问题,请问你会对管理层作出怎样的决策推荐以求公司利润最大化?
首先我们用数学语言翻译下上述条件:



所以我们可以计算出下表:

所以,通过排队论模型分析,尽管公司添加工人的话产线能够保持最大化利用,但是此时的运营成本大于只雇佣一名工人的情况,我们向管理层推荐的决策为不要雇佣第二个工人。
05 插一句话

5.1 文章总结
本文初步介绍了排队论的理论发展历史背景。并简单回顾了泊松过程与指数分布在广义一般化排队模型中的应用必要性。又详细地基于连续时间状态马尔可夫过程归纳出了M/M/1与M/M/S模型几个基本结论并配以一个工业界地实际应用案例分析。读者应该可以大致初步掌握排队论的应用范围与方法。其他衍生模型,如非指数分布,混线,排队网络,队列数量限制等,篇幅受限,不再赘述,感兴趣地读者可以翻阅文末的参考资料。
参考文献
1.J.D.C. Little, “A Proof for the Queueing Formula: L=W”, Operations Research, 9(3):383-387, 1961.
2.“Introduction to Operation Research”, 7th edition, Hillier & Lieberman, McGraw-Hill.
3.“Elements of Queueing Theory, Palm Martingale Calculus and Stochastic Recurrences”, 2nd edition, Francois Baccelli, Pierre Bremaud, Springer.
4.“Fundamentals of Queueing Theory”, 4th edition, Donald Gross, John F. Shortle, James M. Thompson, Carl M. Harris, Wiley.
5.“Introduction to Probability Models”, 11th edition, Sheldon M. Ross.
6.“Stochastic Modelling and Optimization”, University of Toronto, Viliam Makis.
7.“Probability and Statistics for Engineers and Scientists”, 9th edition, Ronald E. Walpole, Raymond H. Myers, Sharon L. Myers, Keying Ye.
https://zhuanlan.zhihu.com/p/99131787
http://xiang-chen.github.io/2015/06/11/%E5%B8%B8%E8%A7%81%E6%A6%82%E7%8E%87%E5%88%86%E5%B8%83%E7%9A%84%E5%88%86%E5%B8%83%E5%87%BD%E6%95%B0-%E6%9C%9F%E6%9C%9B-%E6%96%B9%E5%B7%AE/
https://www.jianshu.com/p/c05bafb52877
https://blog.csdn.net/zyx_bx/article/details/115219706
https://blog.csdn.net/qq_39481214/article/details/82185050
https://blog.csdn.net/qq_29831163/article/details/89735320