Skip to content
  • 首页
  • PHP源码
  • html5网页模板
  • js特效
  • Window软件
  • Mac软件
  • 服务器
  • 其他
Search
源码巴士
  • Sample Page

cs231n学习记录--softmax梯度求导的详细推导过程

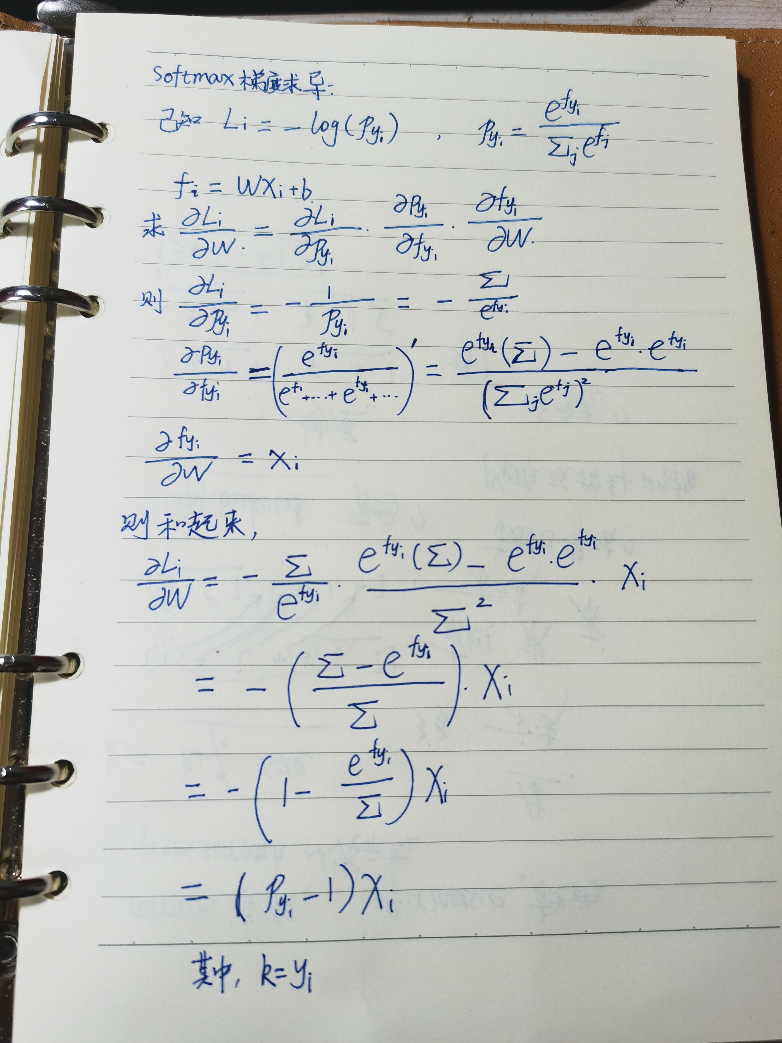
写在纸上了,将就着看吧。总结起来就是简单的链式求导法则
在这里插入图片描述


版权声明:本文为m0_38116269原创文章,遵循CC 4.0 BY-SA版权协议,转载请附上原文出处链接和本声明。
原文链接:https://blog.csdn.net/m0_38116269/article/details/104537480
文章导航
←【秋招纪实录】一篇特别正经的【腾讯】求职经验分享
bss、data和rodata区别与联系→

Copyright © 2022 源码巴士  鲁ICP备19024253号-1