一. 关于算法
程序=算法+数据结构。
懂算法,才能写出更优秀的程序。
二. 算法的应用场景
算法的应用场景十分广泛,几乎涵盖各行各业。
懂算法,可以协助自己优化工作和生活中遇到的问题。
三. 数据结构

四. 算法实例-排序
4.1 排序需求

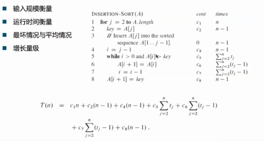
4.2 插入排序
插入排序算法:

算法分析:
4.3 分治法
分治法:
归并排序:
归并排序和快速排序都是分治法的一种,当数据量特别大的时候,使用分治法,可以大大提升效率。
递归:
如下图所示,归并排序使用了递归,先将所有的数据拆分成单个,然后在合并的时候进行排序。
参考:
- http://www.dataguru.cn/article-5747-1.html
版权声明:本文为u010520724原创文章,遵循CC 4.0 BY-SA版权协议,转载请附上原文出处链接和本声明。