题目:Partial Multi-view Learning
作者:Shao-Yuan Li Yuan Jiang Zhi-Hua Zhou
来源:AAAI 2015
不完整多视图聚类的经典代表作
思路:
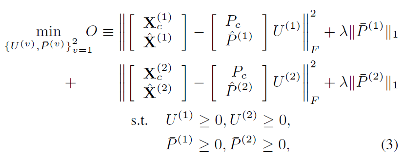
同时对两个视图分别进行非负矩阵分解,得到潜在表示,认为同一个example的不同view的潜在表示P是相等的。目标函数:

存在的问题:
不适用于nonlinear latent subspace cases
仅使用于两个视图的情况
版权声明:本文为WXLLOVESX原创文章,遵循CC 4.0 BY-SA版权协议,转载请附上原文出处链接和本声明。