原标题:PHY——内部接口协议
上周我们把MAC到PHY、PHY到PHY这两个子层之间的通信框架拎出来,把它们放在一个框图下,如下图所示:

图1 MAC与PHY框架
今天来讲讲这个PHY的内部、及其内部各个模块间的接口协议。PHY它包含了多个功能模块,功能模块的多少会因需要的不同而有所增减,比如:
只有10GBase-R、40GBase-R、100GBase-R的PCS需要FEC;
40GBase-R的PCS需要2个PMA、100GBase-R的PCS需要3个PMA;
只有≥1Gbps以上的背板应用场景才会用到AN。
1
功能模块介绍
我们知道PHY在OSI(开放式系统互连)参考模型下,属于物理层,PHY由多个模块组成,各个功能模块的作用如下:
PLS:PhysicalSublayer Signaling,对MAC给的信息进行传递,只在1Mb/s、10Mb/s的应用场景才出现;
PCS:Physical Coding Sublayer,对MAC给的信息进行编码,应用于≥100 Mb/s的应用场景,比如完成8B/10B、64B/66B、256B/257B编码;
FEC:Forward Error Correction,前向纠错,与10GBase-R、40GBase-R的PCS 搭配;
RS-FEC:Reed-Solomon前向纠错,比单纯的FEC纠错能力更强,与100GBase-R的PCS 搭配,采用256B/257B编码;
PMA:Physical Medium Attachment,
PMD:Physical Medium Dependent,
AN: Auto-Negotiation Function,自动协商,使背板两侧的Device能够互换信息以发挥出彼此最大的优势;
2
模块间的接口
PLS与PMA间的接口,称之为AUI(Attachment Unit Interface);
PCS与FEC间的接口,称之为XSBI:10Gigabit Sixteen Bit Interface;
PMA与PMA间的接口,可以是chip to chip,也可以是chip to module,有两种:
XLAUI:40 Gigabit Attachment Unit Interface,4条lane,每条lane的数率是10.3125Gbps;
CAUI:100 Gigabit Attachment Unit Interface,10条lane,每条lane的数率是10.31250Gbps;
PMA与PMD间的接口,称之为nPPI(Parallel Physcial Interface)。
nPPI特定出现在PMD所接的媒介是光纤的情况下,比如40GBase-SR4、100GBase-SR10、40GBase-LR4协议。也就是说这种情况下的PMD是光模块,nPPI就必然是一种chip to module间的接口,这也是IEEE802.3标准与OIF_CEI标准兼容的地方之一。nPPI按照通道数量的不同分成两种。
XLPPI:40 Gigabit Parallel Physcial Interface,4条lane,每条lane的数率是10.3125Gbps;
CPPI:100Gigabit Parallel Physcial Interface,10条lane,每条lane的数率是10.3125Gbps;
3
接口协议对通
我们了解了这么多PHY内部的接口,对于很多人,最关心的还是产品设计该怎么做?不同接口的通道(channel)衰减多少能满足要求?下面就用简单粗暴地方式来一一列举,都是干货啊!开始划重点了!
1) PLS与PMA间的AUI接口

2) PCS与FEC间的XSBI接口
对通道没有给出无源的要求,但对接收端的信号质量和时序有要求,测试工程师应该喜欢这张标准定义方式。

3) PMA与PMA间的XLAUI、 CAUI接口
如果是用于chip to chip的场景,则对channel的要求如下所示:




如果是用于chip to module的场景,则channel分为host、connector、module三部分,如下图所示:

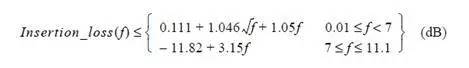
下面是对host插损的详细要求:


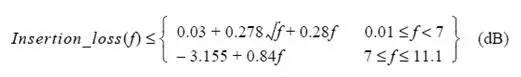
下面是对Module插损的详细要求:


4) PMA与PMD间的nPPI(XLPPI、CPPI) 接口
下面是对host部分的详细要求:


用插损、回损的表达方式对通道做要求,一部分工程师对于此感觉依然是云里雾里,看着这些所谓的dB完全不理解,那么下面还一种更为大家熟悉的方式:眼图,这也是在产品测试阶段最直观的标准。对于XLAUI、CAUI、nPPI接口眼图标准如下所示:

PHY子层内部接口今天就介绍到此,下周我们开始讲讲两个PHY之间的传输协议,通过背板、光纤传输的10G、25G信号有什么要求,比如10GBase-KR、100GBase-KR4等协议。
MAC需与其上层沟通,还需与其下层PHY沟通,其中MAC与上层沟通会完成以下两个任务:
问题来了
大家对今天讲到的PHY内部接口,在设计时有什么疑问、心得、好的经验?
— end —
关于一博
PCB设计、制板、贴片、物料无缝衔接,一博一站式平台致力于缩短客户研发周期,提供方便省心的柔性生产解决方案,已得到50余家五百强的认证通过。一博,值得信赖。
一博官方网站 www.edadoc.com
责任编辑: