Boosting
boosting一句话理解:三个臭皮匠,顶个诸葛亮。
在计算机学习理论里,强可学习和弱可学习是等价的。
弱可学习模型转化为强可学习模型方法:前向分布加法模型。
最简单前向分布加法模型
yk+1 = yk + ( y-yk )
( y-yk )即为残差,每一个新的弱分类器学习的目标都是残差
这么一个简单的模型,能否得到我们想要的结果?
理论上( y-yk )只有方向是准确的,具体是多少是模糊的。
进阶用梯度代替残差,即GB
理论上( y-yk )只有方向是准确的,具体是多少是模糊的。
用梯度代替( y-yk ):
yk+1 = yk + ( ak *梯度), ak为步长
这里的梯度就是我们常听说的伪残差,拟合伪残差得到方向,扫描搜索得到最好的步长。
使用指数函数为损失函数,即为Adaboost
使用决策树为分类器,即为GBDT
通过上述算法,我们(x,伪残差)得到方向g,(x,g)得到步长(单变量一元回归)
泰勒展开与GB


GBDT使用上述公式一阶泰勒展开
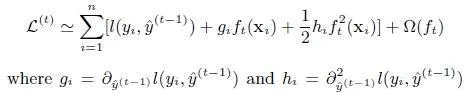
XGBoosting上述公式二阶泰勒展开
我们知道泰勒二阶展开就是牛顿法,直接求出了方向和步长,不需要线性搜索合适的步长。
XGBoosting
XGBoosting上述公式二阶泰勒展开
我们知道泰勒二阶展开就是牛顿法,直接求出了方向和步长,不需要线性搜索合适的步长。
实际上处理不会一步到位,避免过拟合
详细推导见:https://homes.cs.washington.edu/~tqchen/pdf/BoostedTree.pdf link.
从这里可以看出XGBoost基本还是集成前人的东西,考虑大数据处理,优化并行计算,形成工业级应用才是XGBoost最大作用。
参考学习资料:
https://homes.cs.washington.edu/~tqchen/pdf/BoostedTree.pdf link.
https://arxiv.org/abs/1603.02754