

1. 真有效值RMS定义及推导
1.1 RMS的概念
RMS即真有效值,是对交流信号幅度的基本量度,可以分别从实用角度和数学角度予以定义。
从实用角度定义是:一个交流信号的真有效值等于在同一电阻性负载上产生同等热量所需的直流量。例如,1V真有效值交流信号与1V直流信号在同一电阻上产生的热量相同。
从数学角度定义是:真有效值定义如下:

真有效值等同于零平均值统计信号的标准偏差。这包括求信号的平方,取平均值,然后获得其平方根。取平均的时间和信号的特性相关,对于周期信号,则使用完整周期进行平均即可,但是对于非周期信号,取平均值的时间必须足够长,以便能在所需的近似最低工作频率进行滤波。
1.2 数学定义推导
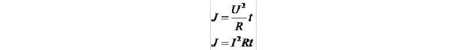
按照RMS的定义,一个交流信号的RMS值等于在同一电阻性负载上产生同等热量所需的直流量。所以真有效值是从热量角度定义的,根据热量的定义,有以下公式:

所以根据RMS定义,有以下公式:

消去R值,可以得到

两个等式的模型一样,等效为一个等式:

交流信号的幅度值是时刻变化的,但是我们将时间t细分为Δt,由于Δt很小,可以认为在Δt时间内交流信号的幅度值不变化,值为e(i),并且热量是可以累积的,所以有:
版权声明:本文为weixin_33238848原创文章,遵循CC 4.0 BY-SA版权协议,转载请附上原文出处链接和本声明。