- 算法思想
为了判断图像的角点,可以利用卷积窗口滑动的思想,让以该点为中心的窗口在附近滑动。如下图是所有描述角点文章的初始图例,它表征的正是这一特性:当滑动窗口在所有方向移动时,窗口内的像素灰度出现了较大的变化,就可能是角点。
- 数学模型
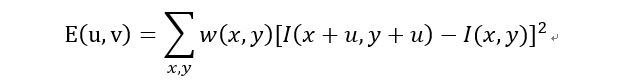
根据上述的算法思想,可以构建数学模型,图像窗口平移[u,v]产生灰度变化E(u,v)为:
版权声明:本文为qq_40851561原创文章,遵循CC 4.0 BY-SA版权协议,转载请附上原文出处链接和本声明。
为了判断图像的角点,可以利用卷积窗口滑动的思想,让以该点为中心的窗口在附近滑动。如下图是所有描述角点文章的初始图例,它表征的正是这一特性:当滑动窗口在所有方向移动时,窗口内的像素灰度出现了较大的变化,就可能是角点。
根据上述的算法思想,可以构建数学模型,图像窗口平移[u,v]产生灰度变化E(u,v)为: