目录
前面学过数字识别(单任务),这里基于CNN来实现验证码(多任务的识别)
一:验证码图片生成
(一)定义全局信息
(二)获取验证码数字序列
(三)生成验证码
(四)转灰度图像(3维转1维)
(五)标签转one_hot向量格式
(六)按批次生成数据
二:构建CNN结构
(一)实现公共函数
(二)定义变量占位符
(三)定义CNN结构,训练结构---重点
(四)模型训练、保存
补充:
三:模型调用
(一)模型调用
前面学过数字识别(单任务),这里基于CNN来实现验证码(多任务的识别)
全部代码见:github(Tensorflow/10多任务学习)
注:本文使用在线生成验证码进行训练,如果需要离线使用TFRECORD方法,见github(Tensorflow/10多任务学习)
一:验证码图片生成

from captcha.image import ImageCaptcha #生产验证码图片 from PIL import Image import numpy as np import matplotlib.pyplot as plt import random import sys import tensorflow as tf

(一)定义全局信息
numbers = ['0','1','2','3','4','5','6','7','8','9'] # a .. z A .. Z max_captcha = 4 char_set_len = 10 image_height = 60 image_width = 160
(二)获取验证码数字序列

def random_captcha_text(charSet=numbers,charLen=4):
"""
charSet:候选字符串
charLen:验证码长度
"""
cs = ""
for i in range(charLen):
cs+=random.choice(charSet)
return cs

(三)生成验证码

def gen_captcha_image():
image = ImageCaptcha()
captcha_text = random_captcha_text()
captcha = image.generate(captcha_text)
#print(captcha) #<_io.BytesIO object at 0x7f87d2a343b8>
#image.write(captcha_text,"./1.png")
captcha_image = Image.open(captcha) #获取图片数据
#print(captcha_image.convert("L")) #转灰度
captcha_image = np.array(captcha_image)
return captcha_text,captcha_image

(四)转灰度图像(3维转1维)

#图片转灰度图
def convert2gray(img):
if len(img.shape)>2:
r,b,g=img[:,:,0],img[:,:,1],img[:,:,2]
gray = 0.2989*r+0.5870*g+0.1140*b
return gray
return img
(五)标签转one_hot向量格式

#处理标签,转40维one_hot
def text2vec(text):
vec = np.zeros(max_captcha*char_set_len)
for i,ch in enumerate(text):
idx = i*char_set_len+int(ch)
vec[idx] = 1
return vec

(六)按批次生成数据

#按批次生成数据
def get_next_batch(batch_size=128):
batch_x = np.zeros((batch_size,image_height*image_width))
batch_y = np.zeros((batch_size,max_captcha*char_set_len))
def correct_gen_captcha_text_image():
while True:
text,image = gen_captcha_image()
if image.shape == (60,160,3):
return text,image
for i in range(batch_size):
text,image = correct_gen_captcha_text_image()
image = convert2gray(image)
batch_x[i,:] = image.flatten()/255
batch_y[i,:] = text2vec(text)
return batch_x,batch_y

二:构建CNN结构
(一)实现公共函数

#初始化权值
def weight_variable(shape):
init = tf.truncated_normal(shape,stddev=0.1)
return tf.Variable(init)
#初始化偏执单元对应权值
def bias_variable(shape):
init = tf.constant(0.1,shape=shape)
return tf.Variable(init)
#实现卷积层
def conv2d(x,W):
#input : 输入的要做卷积的图片,要求为一个张量,shape为 [ batch, in_height, in_weight, in_channel ],其中batch为图片的数量,in_height 为图片高度,in_weight 为图片宽度,in_channel 为图片的通道数,灰度图该值为1,彩色图为3。(也可以用其它值,但是具体含义不是很理解)
#filter: 卷积核,要求也是一个张量,shape为 [ filter_height, filter_weight, in_channel, out_channels ],其中 filter_height 为卷积核高度,filter_weight 为卷积核宽度,in_channel 是图像通道数 ,和 input 的 in_channel 要保持一致,out_channel 是卷积核数量。
#strides: 卷积时在图像每一维的步长,这是一个一维的向量,[ 1, strides, strides, 1],第一位和最后一位固定必须是1
#padding: string类型,值为“SAME” 和 “VALID”,表示的是卷积的形式,是否考虑边界。"SAME"是考虑边界,不足的时候用0去填充周围,"VALID"则不考虑
#use_cudnn_on_gpu: bool类型,是否使用cudnn加速,默认为true
return tf.nn.conv2d(x,W,strides=[1,1,1,1],padding="SAME")
#实现池化层
def max_pool_2x2(x):
#value : 需要池化的输入,一般池化层接在卷积层后面,所以输入通常是feature map,依然是[batch_size, height, width, channels]这样的shape
#k_size : 池化窗口的大小,取一个四维向量,一般是[1, height, width, 1],因为我们不想在batch和channels上做池化,所以这两个维度设为了1
#strides : 窗口在每一个维度上滑动的步长,一般也是[1, stride,stride, 1]
#padding: 填充的方法,SAME或VALID
return tf.nn.max_pool(x,[1,2,2,1],strides=[1,2,2,1],padding="SAME")
(二)定义变量占位符
X = tf.placeholder(tf.float32,[None,image_height*image_width]) Y = tf.placeholder(tf.float32,[None,char_set_len*max_captcha]) keep_drop = tf.placeholder(tf.float32)
(三)定义CNN结构,训练结构---重点

x = tf.reshape(X,[-1,image_height,image_width,1]) #初始化的一个卷基层的权值和偏执 W_conv1 = weight_variable([3,3,1,32]) #3*3的采样窗口,1表示输入通道为1,黑白。32表示输出的通道数--表示使用了32个卷积核(最终会获得32个特征平面) b_conv1 = bias_variable([32]) #每一个卷积核都需要一个偏执,所以我们这里要32个偏置值 #获取第一层卷积之后的激活值,以及池化层处理以后的隐藏层信息 h_conv1 = tf.nn.relu(conv2d(x,W_conv1)+b_conv1) h_pool1 = max_pool_2x2(h_conv1) h_pool1_drop = tf.nn.dropout(h_pool1,keep_drop) #----conv (60,160,32)----max_pool (30,80,32) #第二层卷积池化 W_conv2 = weight_variable([3,3,32,64]) #3*3的采样窗口,1表示输入通道为1,黑白。64表示输出的通道数--表示使用了64个卷积核(最终会获得64个特征平面) b_conv2 = bias_variable([64]) #每一个卷积核都需要一个偏执,所以我们这里要64个偏置值 #获取第二层卷积之后的激活值,以及池化层处理以后的隐藏层信息 h_conv2 = tf.nn.relu(conv2d(h_pool1_drop,W_conv2)+b_conv2) h_pool2 = max_pool_2x2(h_conv2) h_pool2_drop = tf.nn.dropout(h_pool2,keep_drop) #----conv (30,80,64)----max_pool (15,40,64) #第三层卷积池化 W_conv3 = weight_variable([3,3,64,128]) #3*3的采样窗口,1表示输入通道为1,黑白。128表示输出的通道数--表示使用了128个卷积核(最终会获得128个特征平面) b_conv3 = bias_variable([128]) #每一个卷积核都需要一个偏执,所以我们这里要128个偏置值 #获取第二层卷积之后的激活值,以及池化层处理以后的隐藏层信息 h_conv3 = tf.nn.relu(conv2d(h_pool2_drop,W_conv3)+b_conv3) h_pool3 = max_pool_2x2(h_conv3) h_pool3_drop = tf.nn.dropout(h_pool3,keep_drop) #----conv (15,40,128)----max_pool (8,20,128) #开始全链接层 #先将第3池化层处理后的数据扁平化 h_pool3_flat = tf.reshape(h_pool3_drop,[-1,8*20*128]) #初始化第一个全链接层权值 W_fc1 = weight_variable([8*20*128,1024]) #设置第一个全链接层单元数量为1024 b_fc1 = bias_variable([1024]) #共有1024个目标单元 #求得第一个全链接层的输出 h_fc1 = tf.nn.relu(tf.matmul(h_pool3_flat,W_fc1)+b_fc1) h_fc1_drop = tf.nn.dropout(h_fc1,keep_drop) #初始化第二个全链接层权值 W_fc2 = weight_variable([1024,max_captcha*char_set_len]) #开始要进行输出了 b_fc2 = bias_variable([max_captcha*char_set_len]) #prediction = tf.nn.softmax(tf.matmul(h_fc1_drop,W_fc2)+b_fc2) #prediction = tf.nn.sigmoid(tf.matmul(h_fc1_drop,W_fc2)+b_fc2) prediction = tf.matmul(h_fc1_drop,W_fc2)+b_fc2 #交叉熵处理获取损失 loss = tf.reduce_mean(tf.nn.sigmoid_cross_entropy_with_logits(logits=prediction,labels=Y)) #根据损失函数进行优化 train_step = tf.train.AdamOptimizer(1e-3).minimize(loss) #转换结果格式,开始对比 pred = tf.reshape(prediction,[-1,max_captcha,char_set_len]) max_pred_idx = tf.argmax(pred,2) max_lable_idx = tf.arg_max(tf.reshape(Y,[-1,max_captcha,char_set_len]),2) #返回预测结果到bool列表 correct_pred = tf.equal(max_pred_idx,max_lable_idx) #返回准确率tf.cast强制转换 accuracy = tf.reduce_mean(tf.cast(correct_pred,tf.float32))

(四)模型训练、保存

saver = tf.train.Saver()
with tf.Session() as sess:
sess.run(tf.global_variables_initializer())
step = 0
while True:
batch_x,batch_y = get_next_batch()
#hpd = sess.run(h_pool2_drop,feed_dict={X:batch_x,Y:batch_y,keep_drop:0.75})
#print(hpd)
_,loss_ = sess.run([train_step,loss],feed_dict={X:batch_x,Y:batch_y,keep_drop:0.75})
print(step,loss_)
if step % 10 == 0:
batch_x,batch_y = get_next_batch()
acc = sess.run(accuracy,feed_dict={X:batch_x,Y:batch_y,keep_drop:1})
print(step,acc)
if acc > 0.99:
saver.save(sess, './captcha/models/cnn_pic_captcha.model',global_step=step)
break
step += 1

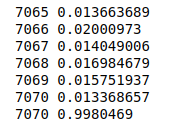
注意:第二个7070是准确率,第一个是损失值
补充:
1.在前面几十次迭代中,误差下降较快,但是准确率低

2.在进入误差0.3+范围时,迭代了2000+,误差几乎不变,准确率一直在0.1左右

3.2000次迭代后发生变化,准确率达到0.5

4.3000+迭代后准确率达到0.9

5.4000+迭代以后达到0.99的准确率

6.7000+迭代后

三:模型调用

CNN网络结构不变
(一)模型调用

saver = tf.train.Saver()
with tf.Session() as sess:
saver.restore(sess,"./captcha/models/cnn_pic_captcha.model-7070")
text,image = gen_captcha_image()
plt.figure()
plt.imshow(image)
plt.axis("off")
plt.show()
image = convert2gray(image)
image = image.flatten()/255
idx = sess.run(max_pred_idx,feed_dict={X:[image],keep_drop:1})
print(idx)

作者:山上有风景
欢迎任何形式的转载,但请务必注明出处。
限于本人水平,如果文章和代码有表述不当之处,还请不吝赐教。