判断是否为循环链表
(循环链表)
(循环链表)
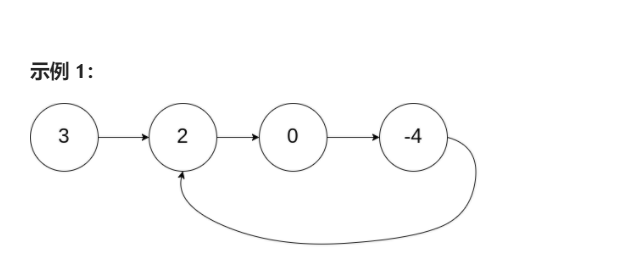
(非循环链表)
题目:
给定一个链表,判断链表中是否有环。如果链表中有某个节点,可以通过连续跟踪 next 指针再次到达,则链表中存在环。 为了表示给定链表中的环,我们使用整数 pos 来表示链表尾连接到链表中的位置(索引从 0 开始)。 如果 pos 是 -1,则在该链表中没有环。注意:pos 不作为参数进行传递,仅仅是为了标识链表的实际情况。
如果链表中存在环,则返回 true 。 否则,返回 false
(转载力扣的题)
思路:
bool hasCycle(struct ListNode *head) {
struct LinkList* short = head,*fast = head;
while(fast && fast->next)
{
short = short->next;//short走一步
fast = fast->next->next;//fast走两步
if(short == fast)
return true;
}
return false;
}
衍生问题(一)
为什么slow走一步,fast走两步,它们一定会在环里面相遇吗?会不会永远追不上?
答:不会 假设slow进环的时候fast和slow的距离是N,
在追击过程中,fast走两步,slow走一步,
它们每走一次,距离缩短1
N
N-1
…
3
2
1
0<——-距离为0时就是相遇
衍生问题(二)
slow走一步fast走3步?4步?N步行不行?为什么?
答:假设slow进环的时候fast和slow的距离是N,
在追击过程中slow走一步,fast走三步,
每走一次,距离缩短为2
N <--若N为偶,会相遇 N <--若N为奇不会相遇
N-2 N-2
... ...
2 1
0 -1
总结:
若slow进环时,slow跟fast差距N是奇数,且环的长度是偶数,那么它们在环里会一直转圈追不上
衍生问题(三)
求环入口点?

假设起点到入口的距离是L
入口点到相遇点的距离是X
环的大小是C
slow的路程:L+X
fast的路程:L+X +nC
2(L+X)=L+nX+C
L=n*X-C
所以:一个指针从相遇点走,一个指针从起点走,它们会在入口点相遇
版权声明:本文为weixin_53946312原创文章,遵循CC 4.0 BY-SA版权协议,转载请附上原文出处链接和本声明。