2021SC@SDUSC 山东大学软件学院软件工程应用与实践
1、mrflsh4.c结构
mrflsh4.c的总体结构如下,,主要实现了facosh()、fasinh()、fatanh()、fcosh()、fsinh()、ftanh()几个在miracl开源库中比较重要的函数,这一次的博客就是读一下这函数的功能。

2、源代码
void ftanh(_MIPD_ flash x,flash y)
{ /* calculates y=tanh(x) */
int op[5];
#ifdef MR_OS_THREADS
miracl *mr_mip=get_mip();
#endif
copy(x,y);
if (mr_mip->ERNUM || size(y)==0) return;
MR_IN(63)
fexp(_MIPP_ y,y);
op[0]=0x33;
op[1]=op[3]=op[4]=1;
op[2]=(-1);
flop(_MIPP_ y,y,op,y);
MR_OUT
}ftanh()方法的主要作用就是计算出输入数据x在tanh函数
上所对应的函数值,并且赋值给y。首先调用copy方法将x复制给y,再调用fexp方法计算出e的y次方,然后给op数组赋值,最后调用flop方法根据op数组的值选择函数计算出
,并且赋值给y。
void fatanh(_MIPD_ flash x,flash y)
{ /* calculate y=atanh(x) */
int op[5];
#ifdef MR_OS_THREADS
miracl *mr_mip=get_mip();
#endif
copy(x,y);
if (mr_mip->ERNUM || size(y)==0) return;
MR_IN(64)
fconv(_MIPP_ 1,1,mr_mip->w11);
op[0]=0x66;
op[1]=op[2]=op[3]=1;
op[4]=(-1);
flop(_MIPP_ mr_mip->w11,y,op,y);
flog(_MIPP_ y,y);
fpmul(_MIPP_ y,1,2,y);
MR_OUT
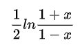
}fatanh()方法的主要作用就是计算出输入数据x在arctanh函数
上所对应的函数值,并且赋值给y。首先调用copy方法将x复制给y,再调用fconv方法计算出简单分数1/1并且转为flash数据类型赋值给mr_mip->w11,接着给op数组赋值,调用flop方法根据op数组的值选择函数计算出(1+y)/(1-y)赋值给y,再调用flog方法计算出以y为真数,以e为底数的对数并且赋值给y,最后调用fpmul方法计算出y*1/2赋值给y。
void fsinh(_MIPD_ flash x,flash y)
{ /* calculate y=sinh(x) */
int op[5];
#ifdef MR_OS_THREADS
miracl *mr_mip=get_mip();
#endif
copy(x,y);
if (mr_mip->ERNUM || size(y)==0) return;
MR_IN(65)
fexp(_MIPP_ y,y);
op[0]=0xC6;
op[2]=op[3]=op[4]=1;
op[1]=(-1);
flop(_MIPP_ y,y,op,y);
MR_OUT
}fsinh()方法的主要作用就是计算出输入数据x在sinh函数
上所对应的函数值,并且赋值给y。首先调用copy方法将x复制给y,再调用fexp方法计算出e的y次方,然后给op数组赋值,最后调用flop方法根据op数组的值选择函数计算出
,并且赋值给y。
void fasinh(_MIPD_ flash x,flash y)
{ /* calculate y=asinh(x) */
#ifdef MR_OS_THREADS
miracl *mr_mip=get_mip();
#endif
copy(x,y);
if (mr_mip->ERNUM || size(y)==0) return;
MR_IN(66)
fmul(_MIPP_ y,y,mr_mip->w11);
fincr(_MIPP_ mr_mip->w11,1,1,mr_mip->w11);
froot(_MIPP_ mr_mip->w11,2,mr_mip->w11);
fadd(_MIPP_ y,mr_mip->w11,y);
flog(_MIPP_ y,y);
MR_OUT
}fasinh()方法的主要作用就是计算出输入数据x在arcsinh函数
上所对应的函数值,并且赋值给y。首先调用copy方法将x复制给y,再调用fmul方法计算出y乘以y赋值给mr_mip->w11,接着调用fincr方法计算出mr_mip->w11+1/1赋值给mr_mip->w11,再调用froot方法计算出以mr_mip->w11的平方根并且赋值给mr_mip->w11,然后调用fadd方法计算出mr_mip->w11加上y赋值给y,最后调用flog方法计算出以y为真数,以e为底数的对数并且赋值给y。
void fcosh(_MIPD_ flash x,flash y)
{ /* calculate y=cosh(x) */
int op[5];
#ifdef MR_OS_THREADS
miracl *mr_mip=get_mip();
#endif
copy(x,y);
if (mr_mip->ERNUM || size(y)==0)
{
convert(_MIPP_ 1,y);
return;
}
MR_IN(67)
fexp(_MIPP_ y,y);
op[0]=0xC6;
op[1]=op[2]=op[3]=op[4]=1;
flop(_MIPP_ y,y,op,y);
MR_OUT
}
fcosh()方法的主要作用就是计算出输入数据x在cosh函数
上所对应的函数值,并且赋值给y。首先调用copy方法将x复制给y,再调用fexp方法计算出e的y次方,然后给op数组赋值,最后调用flop方法根据op数组的值选择函数计算出
,并且赋值给y。
void facosh(_MIPD_ flash x,flash y)
{ /* calculate y=acosh(x) */
#ifdef MR_OS_THREADS
miracl *mr_mip=get_mip();
#endif
copy(x,y);
if (mr_mip->ERNUM) return;
MR_IN(68)
fmul(_MIPP_ y,y,mr_mip->w11);
fincr(_MIPP_ mr_mip->w11,(-1),1,mr_mip->w11);
froot(_MIPP_ mr_mip->w11,2,mr_mip->w11);
fadd(_MIPP_ y,mr_mip->w11,y);
flog(_MIPP_ y,y);
MR_OUT
}
facosh()方法的主要作用就是计算出输入数据x在arccosh函数
上所对应的函数值,并且赋值给y。首先调用copy方法将x复制给y,再调用fmul方法计算出y乘以y赋值给mr_mip->w11,接着调用fincr方法计算出mr_mip->w11+(-1)/1赋值给mr_mip->w11,再调用froot方法计算出以mr_mip->w11的平方根并且赋值给mr_mip->w11,然后调用fadd方法计算出mr_mip->w11加上y赋值给y,最后调用flog方法计算出以y为真数,以e为底数的对数并且赋值给y。