割 圆 术 割圆术割圆术
引出:
在很久以前,圆的直径一般好测量,但是圆的周长很难算。
圆周率,圆周率,不就是用来求圆的周长嘛!
所以π诞生了。
将圆周率π定义为周长/直径
以后,有了圆周率和直径就可以算出圆的周长。

割圆术就是:不断用圆内接正多边形的周长来替代圆的周长,来计算圆周率。
即圆周率π= 圆的周长/圆的直径 改为:圆周率π= 内接正多边形的周长/圆的直径

法一:利用余弦公式
余弦定理是描述三角形中三边长度与一个角的余弦值关系的数学定理,是勾股定理在一般三角形情形下的推广,勾股定理是余弦定理的特例。
即:
即:
勾股定理是余弦定理的特例,当 为90°时,
,余弦定理可简化为
,即勾股定理。
知道了余弦定理,正多边形的边长就非常好求。
正n边形,具有n(正整数n≥3)条
相等边的正多边形,其内角和为180(n-2)°,每个内角度数为180°(n-2)/n,外角和为360°。
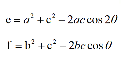
内接正N边形的边长设为e
内接正2N边形的边长设为f

由余弦定理可知:

其实到这里就可以告一段落了,只要知道了角度值就能算角度的余弦值cos,就能得到边长。
内接正多边形边长为N,则角度为 360/N,利用余弦定理就能得到边长。边长x边的个数=周长。周长除以直径即可得到圆周率。
法二:利用几何关系

已知圆半径为1
由几何关系可以得到:内接正2N边形的边长=(2-(4-内接正N边形的边长的平方)的开方)的开放

公式推导


公式1:(e/2)²+c²=1
公式2:(e/2)²+(1-c)²=f²
-----------
Step1:公式2展开
公式3:f² = (e/2)²+1+c²-2c
-----------
Step2:公式1展开
1=(e/2)²+c²
1-(e/2)² =c²
技巧1: 两边同时+1
1+1-(e/2)² =1+c²
2-(e/2)² =1+c²
----
Step3:将1+c² = 2-(e/2)² 代入公式3:f² = (e/2)²+1+c²-2c
得到:f² = (e/2)²+2-(e/2)²-2c = 2-2c
即得到:f²/2= 1-c
-----
Step4:将f²/2= 1-c代入公式2:(e/2)²+(1-c)²=f²
得到
(e/2)²+(f²/2)²=f²
e²/4 +(f²/2)²=f²
e² = 4f² -(f²)²
- e² = (f²)² - 4f²
技巧2:两边同时加4
4- e² = (f²)² +4- 4f²
4- e² = (f²-2)²
注意:f<1,所以f²-2<0,所以解取负
注意:f<1,所以f²-2<0,所以解取负
注意:f<1,所以f²-2<0,所以解取负
f²-2 = -sqrt(4-e²)
即最终得:f=sqrt(2-sqrt(4-e²))
拓展思路:
我们可以换一个思路来求圆周率。
准备一根绳子,计算出绳子的长度,再将绳子围成一个圆。测量圆的直径。
圆周率就诞生了,绳子的长度/圆的直径。
圆围的越圆,圆的直径越准,圆周率越准。
版权声明:本文为qq_41375318原创文章,遵循CC 4.0 BY-SA版权协议,转载请附上原文出处链接和本声明。




,余弦定理可简化为
,即勾股定理。