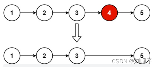
删除链表倒数第N个节点
给你一个链表,删除链表的倒数第n个节点,并且返回链表的头节点

从一个元素(头节点)开始算起 >_<
struct ListNode* struct ListNode *removeNthFromEnd(struct ListNode* head,int n)
(struct ListNode*head)
{
ListNode* p=head;
if(p==NULL)return 0;
int len=0;
while(p)
{
len++;
p=p->next;
}
p=head;
int count=0;
count=len-n-1;
while(count!=0)
{
count--;
p=p->next;
}
p->next=p->next->next;
}
版权声明:本文为Xuersry原创文章,遵循CC 4.0 BY-SA版权协议,转载请附上原文出处链接和本声明。