前言
在学习了LMMSE算法后,只了解其公式
H ^ L M M S E = R H H ( R H H + β S N R ) − 1 H ^ L S \hat{H}_{LMMSE}=R_{HH}(R_{HH}+\frac{\beta}{SNR})^{-1}\hat{H}_{LS}H^LMMSE=RHH(RHH+SNRβ)−1H^LS
对于如何复现这一经典算法真是毫无头绪。问题的关键在于:
我们只知道R h h R_{hh}Rhh是真实信道h的自相关矩阵,但是网上找不到可靠的求自相关矩阵的代码。
虽说R H H = E { H H H } R_{HH}=E\{HH^H\}RHH=E{HHH},但是具体实现的时候这么做是做不出来的。H H H HH^HHHH明显是一个方阵嘛,怎么对其求均值呢?直接用corr函数显然也是不行的
在此,我为大家提供两种复现方法,参考了很多论文,懒得写引用了。望理解。
已知信道先验信息:信道的时延功率谱,即时域信道矩阵h
方法一
将h通过fft变换到频域,得到H,然后利用如下代码即可计算出H的自相关矩阵:
function Rhh = cor(H)
len = length(H);
temp=xcorr(H,H)/len;
temp=fliplr(temp);
H_cor_l=round(length(temp)/2);
Rhh=complex(zeros(H_cor_l, H_cor_l),zeros(H_cor_l, H_cor_l));
for i=1:H_cor_l
Rhh(i,:)=temp(H_cor_l+1-i: length(temp)+1-i);
end
end
方法二
方法二是MMSE信道估计的实现,主要理论参考
《基于OFDM的无线导频信道估计和信道均衡算法研究_陈博》

稍微改一下就是LMMSE了,就是最后一步的Rhp改成rf2,改一下就行了,相信大家能看懂,不懂的可以评论。(不改是为了大家能顺便实现MMSE)
function [H_MMSE]= MMSE_CE(Y,Xp,Nfft,Nps,h,SNR)% MMSE信道估计
% Y是接收导频,Xp是已知导频,Nfft是fft点数,Nps是导频间隔,h是信道矩阵,SNR是信噪比
snr = 10^(SNR*0.1);
Np=Nfft/Nps; H_tilde = Y./Xp; % LS estimate
k=0:length(h)-1; %k_ts = k*ts;
hh = h*h'; tmp = h.*conj(h).*k; %tmp = h.*conj(h).*k_ts;
r = sum(tmp)/hh; r2 = tmp*k.'/hh; %r2 = tmp*k_ts.'/hh;
tau_rms = sqrt(r2-r^2); % rms delay
df = 1/Nfft; %1/(ts*Nfft);
j2pi_tau_df = j*2*pi*tau_rms*df;
K1 = repmat([0:Nfft-1].',1,Np); K2 = repmat([0:Np-1],Nfft,1);
rf = 1./(1+j2pi_tau_df*(K1-K2*Nps));
K3 = repmat([0:Np-1].',1,Np); K4 = repmat([0:Np-1],Np,1);
rf2 = 1./(1+j2pi_tau_df*Nps*(K3-K4));
Rhp = rf;
Rpp = rf2 + eye(length(H_tilde),length(H_tilde))/snr;
H_MMSE = transpose(Rhp*inv(Rpp)*H_tilde.');
end
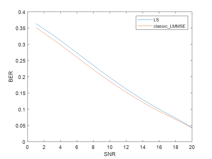
仿真结果
如下图是我搭建了一个简易的OFDM传输系统,比较了经典的LS算法和LMMSE算法的性能。因为LS忽略噪声,所以在高信噪比的时候,他的性能会逐渐变好。
创作不易,知识无价,望大家点赞收藏,转载注明出处。
版权声明:本文为ddatalent原创文章,遵循CC 4.0 BY-SA版权协议,转载请附上原文出处链接和本声明。